2025 Vol. 49, No. 5
Display Method: |
			            2025, 49(5): 053001. doi: 10.1088/1674-1137/adacc5 
	   					
		        	
			        
		            	
		        
					Abstract: 
The Circular Electron Positron Collider (CEPC) is a large-scale particle accelerator designed to collide electrons and positrons at high energies. One of its primary goals is to achieve high-precision measurements of the properties of the Higgs boson and is facilitated by the large number of Higgs bosons that are produced with significantly low contamination. The measurements of Higgs boson branching fractions into\begin{document}$b\overline{b} /c\overline{c} /gg$\end{document} ![]()
![]()
\begin{document}$\tau\overline{\tau} /WW^{*} /ZZ^{*} $\end{document} ![]()
![]()
\begin{document}$(\mu^{+}\mu^{-})$\end{document} ![]()
![]()
\begin{document}$H\to b\overline{b}$\end{document} ![]()
![]()
\begin{document}$H\to c\overline{c} /gg/\tau\overline{\tau}/WW^{*} /ZZ^{*} $\end{document} ![]()
![]()
		       
		        
		        
		        
			  
			The Circular Electron Positron Collider (CEPC) is a large-scale particle accelerator designed to collide electrons and positrons at high energies. One of its primary goals is to achieve high-precision measurements of the properties of the Higgs boson and is facilitated by the large number of Higgs bosons that are produced with significantly low contamination. The measurements of Higgs boson branching fractions into
			            2025, 49(5): 053002. doi: 10.1088/1674-1137/adb2f9 
	   					
		        	
			        
		            	
		        
					Abstract: 
The\begin{document}$ \psi(3770) $\end{document} ![]()
![]()
\begin{document}$ \Upsilon(4S) $\end{document} ![]()
![]()
\begin{document}$ \psi(3770) \to {\text{non}-}D\bar{D} $\end{document} ![]()
![]()
\begin{document}$ \Upsilon(4S) \to {\text{non}-}B\bar{B} $\end{document} ![]()
![]()
\begin{document}$ \psi(3770) \to {\text{non}-}D\bar{D} $\end{document} ![]()
![]()
\begin{document}$ \Upsilon(4S) \to {\text{non}-}B\bar{B} $\end{document} ![]()
![]()
\begin{document}$ e^+e^- $\end{document} ![]()
![]()
\begin{document}$ \psi(3770) \to $\end{document} ![]()
![]()
\begin{document}$ {\text{non}-}D\bar{D} $\end{document} ![]()
![]()
\begin{document}$ 3.769\; {\rm{GeV}} $\end{document} ![]()
![]()
\begin{document}$ 3.781\; {\rm{GeV}} $\end{document} ![]()
![]()
\begin{document}$ \Upsilon(4S) \to {\text{non}-}B\bar{B} $\end{document} ![]()
![]()
\begin{document}$ 10.574\; {\rm{GeV}} $\end{document} ![]()
![]()
\begin{document}$ 10.585\; {\rm{GeV}} $\end{document} ![]()
![]()
		       
		        
		        
		        
			  
			The
			            2025, 49(5): 053003. doi: 10.1088/1674-1137/adabce 
	   					
		        	
			        
		            	
		        
					Abstract: 
We discuss neutrino sector in models with two Higgs doublet and one singlet scalar fields under local\begin{document}$ U(1)_{L_\alpha- L_\beta} $\end{document} ![]()
![]()
\begin{document}$ U(1)_{L_e - L_{\mu(\tau)}} $\end{document} ![]()
![]()
		       
		        
		        
		        
			  
			We discuss neutrino sector in models with two Higgs doublet and one singlet scalar fields under local
			            2025, 49(5): 053004. doi: 10.1088/1674-1137/adb9c8 
	   					
		        	
			        
		            	
		        
					Abstract: 
The\begin{document}$ \nu $\end{document} ![]()
![]()
\begin{document}$ \nu $\end{document} ![]()
![]()
\begin{document}$ _{ee} $\end{document} ![]()
![]()
\begin{document}$ \nu $\end{document} ![]()
![]()
\begin{document}$ - $\end{document} ![]()
![]()
		       
		        
		        
		        
			  
			The
			            2025, 49(5): 053101. doi: 10.1088/1674-1137/ada95f 
	   					
		        	
			        
		            	
		        
					Abstract: 
In this study, we investigate the\begin{document}$R^2$\end{document} ![]()
![]()
\begin{document}$\lambda_{\rm GB}$\end{document} ![]()
![]()
\begin{document}$\lambda_{\rm GB}$\end{document} ![]()
![]()
\begin{document}$\lambda_{\rm GB}$\end{document} ![]()
![]()
\begin{document}$\lambda_{\rm GB}$\end{document} ![]()
![]()
		       
		        
		        
		        
			  
			In this study, we investigate the
			            2025, 49(5): 053102. doi: 10.1088/1674-1137/ada3cd 
	   					
		        	
			        
		            	
		        
					Abstract: 
General one-loop formulas for loop-induced processes\begin{document}$gg/\gamma \gamma \rightarrow \phi_i\phi_j$\end{document} ![]()
![]()
\begin{document}$\phi_i\phi_j = hh,~hH,~HH$\end{document} ![]()
![]()
\begin{document}$ {\tt LoopTools}$\end{document} ![]()
![]()
\begin{document}$ {\tt Collier}$\end{document} ![]()
![]()
\begin{document}$\gamma \gamma\rightarrow hh$\end{document} ![]()
![]()
		       
		        
		        
		        
			  
			General one-loop formulas for loop-induced processes
			            2025, 49(5): 053103. doi: 10.1088/1674-1137/adbc81 
	   					
		        	
			        
		            	
		        
					Abstract: 
This study forecasts the production of doubly heavy baryons,\begin{document}$ \Xi_{cc} $\end{document} ![]()
![]()
\begin{document}$ \Xi_{bc} $\end{document} ![]()
![]()
\begin{document}$ \Xi_{bb} $\end{document} ![]()
![]()
\begin{document}$ \gamma + g \to (QQ')[n] +\bar{Q} +\bar{Q'} $\end{document} ![]()
![]()
\begin{document}$ \gamma + Q \to (QQ')[n] + \bar{Q'} $\end{document} ![]()
![]()
\begin{document}$ Q $\end{document} ![]()
![]()
\begin{document}$ Q' $\end{document} ![]()
![]()
\begin{document}$ c $\end{document} ![]()
![]()
\begin{document}$ b $\end{document} ![]()
![]()
\begin{document}$ (QQ')[n] $\end{document} ![]()
![]()
\begin{document}$ \Xi_{QQ'} $\end{document} ![]()
![]()
\begin{document}$ \Xi_{cc} $\end{document} ![]()
![]()
\begin{document}$ \Xi_{bb} $\end{document} ![]()
![]()
\begin{document}$ [^1S_0]_{{6}} $\end{document} ![]()
![]()
\begin{document}$ [^3S_1]_{\bar{{3}}} $\end{document} ![]()
![]()
\begin{document}$ \Xi_{bc} $\end{document} ![]()
![]()
\begin{document}$ [^1S_0]_{\bar{{3}}} $\end{document} ![]()
![]()
\begin{document}$ [^1S_0]_{{6}} $\end{document} ![]()
![]()
\begin{document}$ [^3S_1]_{\bar{{3}}} $\end{document} ![]()
![]()
\begin{document}$ [^3S_1]_{{6}} $\end{document} ![]()
![]()
\begin{document}$ [^3S_1]_{\bar{{3}}} $\end{document} ![]()
![]()
\begin{document}$ \Xi_{QQ'} $\end{document} ![]()
![]()
\begin{document}$ m_c = 1.80 \pm 0.10 $\end{document} ![]()
![]()
\begin{document}$ m_b = 5.1 \pm 0.20 $\end{document} ![]()
![]()
\begin{document}$ \sqrt{s} = 1 $\end{document} ![]()
![]()
\begin{document}$ {\mathcal L}\simeq 40 $\end{document} ![]()
![]()
\begin{document}$ {\rm{fb}}^{-1} $\end{document} ![]()
![]()
\begin{document}$ (3.67^{+1.29}_{-0.91}) \times 10^9 $\end{document} ![]()
![]()
\begin{document}$ \Xi_{cc} $\end{document} ![]()
![]()
\begin{document}$ (2.24^{+0.28}_{-0.20}) \times 10^8 $\end{document} ![]()
![]()
\begin{document}$ \Xi_{bc} $\end{document} ![]()
![]()
\begin{document}$ (3.00^{+0.64}_{-0.56}) \times 10^6 $\end{document} ![]()
![]()
\begin{document}$ \Xi_{bb} $\end{document} ![]()
![]()
		       
		        
		        
		        
			  
			This study forecasts the production of doubly heavy baryons,
					An analysis of the longitudinal structure function at next-to-leading order approximation at small-x 
								
				
		         
								
			            2025, 49(5): 053104. doi: 10.1088/1674-1137/adb70a 
	   					
		        	
			        
		            	
		        
					Abstract: 
The longitudinal structure function is considered as the next-to-leading order approximation using the expansion method, defined by Ducati and Goncalves [Phys. Lett. B 390, 401 (1997)] and further developed by Chen et al. [Chin. Phys. C 48, 063104 (2024)]. This method provides results for a wide range of x and\begin{document}$ Q^2$\end{document} ![]()
![]()
\begin{document}$ F_{L}(x,Q^2)$\end{document} ![]()
![]()
		       
		        
		        
		        
			  
			The longitudinal structure function is considered as the next-to-leading order approximation using the expansion method, defined by Ducati and Goncalves [Phys. Lett. B 390, 401 (1997)] and further developed by Chen et al. [Chin. Phys. C 48, 063104 (2024)]. This method provides results for a wide range of x and
			            2025, 49(5): 053105. doi: 10.1088/1674-1137/adbd19 
	   					
		        	
			        
		            	
		        
					Abstract: 
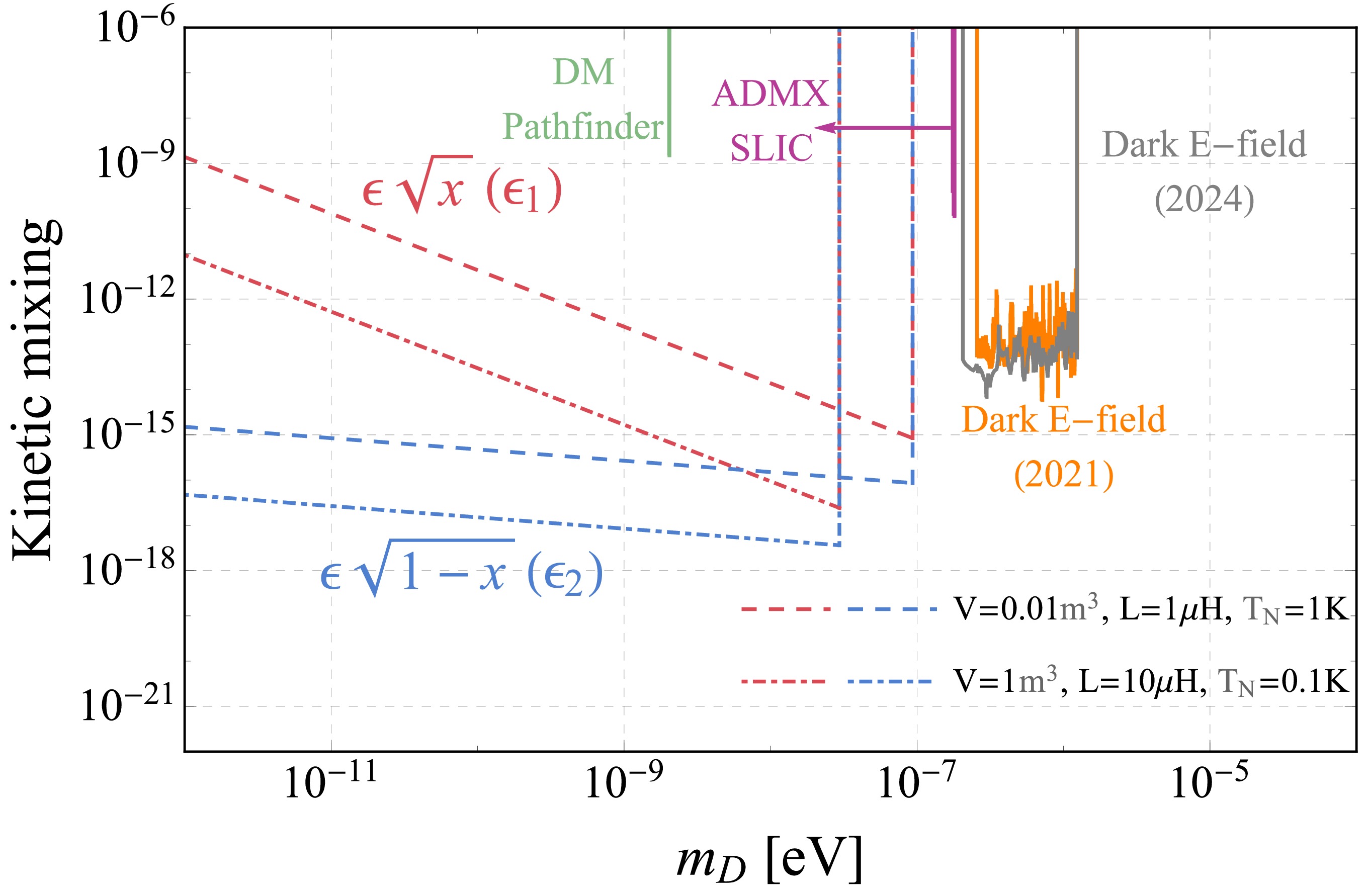
The ultralight dark photon is an intriguing dark matter candidate. The interaction between visible and dark photons is introduced by the gauge kinetic mixing between the field strength tensors of the Abelian gauge groups in the Standard Model and dark sector. Relativistic electrodynamics was generalized to quantum electromagnetodynamics (QEMD) in the presence of both electric and magnetic charges. The photon is described by two four-potentials corresponding to two\begin{document}$ U(1) $\end{document} ![]()
![]()
		       
		        
		        
		        
			  
			The ultralight dark photon is an intriguing dark matter candidate. The interaction between visible and dark photons is introduced by the gauge kinetic mixing between the field strength tensors of the Abelian gauge groups in the Standard Model and dark sector. Relativistic electrodynamics was generalized to quantum electromagnetodynamics (QEMD) in the presence of both electric and magnetic charges. The photon is described by two four-potentials corresponding to two
			            2025, 49(5): 053106. doi: 10.1088/1674-1137/adb2f7 
	   					
		        	
			        
		            	
		        
					Abstract: 
The direct CP asymmetry in quasi-two-body decays of\begin{document}$ B \rightarrow (V\rightarrow \pi^{+}\pi^{-})P $\end{document} ![]()
![]()
\begin{document}$ \rho^{0}-\omega $\end{document} ![]()
![]()
\begin{document}$ \rho^{0}-\phi $\end{document} ![]()
![]()
\begin{document}$ \omega-\phi $\end{document} ![]()
![]()
\begin{document}$ \pi^{+}\pi^{-} $\end{document} ![]()
![]()
		       
		        
		        
		        
			  
			The direct CP asymmetry in quasi-two-body decays of
			            2025, 49(5): 053107. doi: 10.1088/1674-1137/adbb5a 
	   					
		        	
			        
		            	
		        
					Abstract: 
With the discovery of a Higgs boson with a mass of 125 gigaelectronvolts (GeV) at the Large Hadron Collider (LHC) at CERN in 2012, the Standard Model (SM) is complete, and despite intensive searches, no new fundamental particle has been observed since then. In fact, a discovery can be challenging without a predictive new physics model because different channels and observables cannot be combined directly and unambiguously. Furthermore, without supporting indirect hints, the signal space to be searched is huge, resulting in diluted significances owing to the look-elsewhere effect. Several LHC processes with multiple leptons in the final state point towards the existence of a new Higgs boson with a mass between 140 GeV to 160 GeV decaying mostly to W bosons. While the former strongly reduces the look-elsewhere effect, the latter indicates that it could be a Higgs triplet with zero hypercharge. Within this simple and predictive extension of the SM, we simulate and combine different channels of di-photon production in association with leptons, missing energy, jets, etc... Using the full run-2 results by ATLAS, including those presented recently at the Moriond conference, an increased significance of 4 standard deviations is obtained for a\begin{document}$\approx$\end{document} ![]()
![]()
		       
		        
		        
		        
			  
			With the discovery of a Higgs boson with a mass of 125 gigaelectronvolts (GeV) at the Large Hadron Collider (LHC) at CERN in 2012, the Standard Model (SM) is complete, and despite intensive searches, no new fundamental particle has been observed since then. In fact, a discovery can be challenging without a predictive new physics model because different channels and observables cannot be combined directly and unambiguously. Furthermore, without supporting indirect hints, the signal space to be searched is huge, resulting in diluted significances owing to the look-elsewhere effect. Several LHC processes with multiple leptons in the final state point towards the existence of a new Higgs boson with a mass between 140 GeV to 160 GeV decaying mostly to W bosons. While the former strongly reduces the look-elsewhere effect, the latter indicates that it could be a Higgs triplet with zero hypercharge. Within this simple and predictive extension of the SM, we simulate and combine different channels of di-photon production in association with leptons, missing energy, jets, etc... Using the full run-2 results by ATLAS, including those presented recently at the Moriond conference, an increased significance of 4 standard deviations is obtained for a
			            2025, 49(5): 054101. doi: 10.1088/1674-1137/ad9306 
	   					
		        	
			        
		            	
		        
					Abstract: 
This study uses the AMPT model in Au+Au collisions to study the influence of the three nucleon correlation\begin{document}$ C_{n^2p} $\end{document} ![]()
![]()
\begin{document}$ C_{n^2p} $\end{document} ![]()
![]()
\begin{document}$ C_{n^2p} $\end{document} ![]()
![]()
\begin{document}$\sqrt{s_{NN}} =$\end{document} ![]()
![]()
		       
		        
		        
		        
			  
			This study uses the AMPT model in Au+Au collisions to study the influence of the three nucleon correlation
			            2025, 49(5): 054102. doi: 10.1088/1674-1137/adaa58 
	   					
		        	
			        
		            	
		        
					Abstract: 
We examine the effects of symmetry energy on proto-neutron stars (PNSs) using an equation of state (EOS) described by the relativistic mean-field (RMF) model. The thermal properties of dense matter and the bulk properties of PNSs are investigated under the assumptions of isothermy, isentropy, and fixed lepton fractions. The polytropic index is calculated at finite temperature, revealing a negative correlation with the maximum mass of a PNS that the EOS can support. The properties of PNSs during the heating and cooling stages along their evolutionary path are explored under different combinations of lepton fraction and entropy. We investigate the correlation between symmetry energy slope L and the properties of PNSs. As L increases, the radius of a PNS also increases; however, this effect diminishes with a growing lepton fraction in the isentropic case. These results indicate that nuclear symmetry energy and its density dependence play crucial roles in determining the properties of PNSs and their evolutionary stages.
		       
		        
		        
		        
			  
			We examine the effects of symmetry energy on proto-neutron stars (PNSs) using an equation of state (EOS) described by the relativistic mean-field (RMF) model. The thermal properties of dense matter and the bulk properties of PNSs are investigated under the assumptions of isothermy, isentropy, and fixed lepton fractions. The polytropic index is calculated at finite temperature, revealing a negative correlation with the maximum mass of a PNS that the EOS can support. The properties of PNSs during the heating and cooling stages along their evolutionary path are explored under different combinations of lepton fraction and entropy. We investigate the correlation between symmetry energy slope L and the properties of PNSs. As L increases, the radius of a PNS also increases; however, this effect diminishes with a growing lepton fraction in the isentropic case. These results indicate that nuclear symmetry energy and its density dependence play crucial roles in determining the properties of PNSs and their evolutionary stages.
			            2025, 49(5): 054103. doi: 10.1088/1674-1137/adaa59 
	   					
		        	
			        
		            	
		        
					Abstract: 
Studying percolation phase transitions offers valuable insights into the characteristics of phase transitions, shedding light on the underlying mechanisms that govern the formation of global connectivity within a system. We explore the percolation phase transition in the 3D cubic Ising model by employing two machine learning techniques. Our results demonstrate that machine learning methods can distinguish different phases during the percolation transition. Through the finite-size scaling analysis on the output of the neural networks, the percolation temperature and a correlation length exponent in the geometrical percolation transition are extracted and compared to those in the thermal magnetization phase transition within the 3D Ising model. These findings provide a valuable method for enhancing our understanding of the properties of the QCD critical point, which belongs to the same universality class as the 3D Ising model.
		       
		        
		        
		        
			  
			Studying percolation phase transitions offers valuable insights into the characteristics of phase transitions, shedding light on the underlying mechanisms that govern the formation of global connectivity within a system. We explore the percolation phase transition in the 3D cubic Ising model by employing two machine learning techniques. Our results demonstrate that machine learning methods can distinguish different phases during the percolation transition. Through the finite-size scaling analysis on the output of the neural networks, the percolation temperature and a correlation length exponent in the geometrical percolation transition are extracted and compared to those in the thermal magnetization phase transition within the 3D Ising model. These findings provide a valuable method for enhancing our understanding of the properties of the QCD critical point, which belongs to the same universality class as the 3D Ising model.
			            2025, 49(5): 054104. doi: 10.1088/1674-1137/adb2fa 
	   					
		        	
			        
		            	
		        
					Abstract: 
In this study, the accuracy of the Finite-Range Droplet Model 2012 (FRDM) in describing the α decay energies of the 947 known heavy and superheavy nuclei is investigated. We find evident discrepancies between the α decay energies obtained using the FRDM and those reported by the evaluated atomic mass table AME 2020 (AME). In particular, the FRDM underestimates the experimental α decay energies of superheavy nuclei. The α decay energies of known nuclei obtained using the FRDM are optimized using a neural network approach, i.e., FRDM-NN, and the accuracy improves significantly. The α decay energy systematics obtained using both the FRDM and FRDM-NN exhibit an evident shell effect at neutron number\begin{document}$ N=184$\end{document} ![]()
![]()
\begin{document}$ N=184$\end{document} ![]()
![]()
\begin{document}$ Z=119$\end{document} ![]()
![]()
\begin{document}$Z=119$\end{document} ![]()
![]()
		       
		        
		        
		        
			  
			In this study, the accuracy of the Finite-Range Droplet Model 2012 (FRDM) in describing the α decay energies of the 947 known heavy and superheavy nuclei is investigated. We find evident discrepancies between the α decay energies obtained using the FRDM and those reported by the evaluated atomic mass table AME 2020 (AME). In particular, the FRDM underestimates the experimental α decay energies of superheavy nuclei. The α decay energies of known nuclei obtained using the FRDM are optimized using a neural network approach, i.e., FRDM-NN, and the accuracy improves significantly. The α decay energy systematics obtained using both the FRDM and FRDM-NN exhibit an evident shell effect at neutron number
			            2025, 49(5): 054105. doi: 10.1088/1674-1137/adb2f8 
	   					
		        	
			        
		            	
		        
					Abstract: 
Cd isotopes exhibit multiphonon excitations involving particle-hole configurations, which makes them potential candidates for studying the coexistence of normal and intruder states. However, the presence of intruder states in Cd isotopes is more pronounced. Therefore, the two-state mixing model is suitable for explaining the band mixing observed in this study. This study utilizes a simple two-state mixing model to analyze the ground and excited states of Cd isotopes. The mixing between the lowest vibrational and rotational\begin{document}$0^+$\end{document} ![]()
![]()
\begin{document}$2^+$\end{document} ![]()
![]()
\begin{document}$J^p$\end{document} ![]()
![]()
		       
		        
		        
		        
			  
			Cd isotopes exhibit multiphonon excitations involving particle-hole configurations, which makes them potential candidates for studying the coexistence of normal and intruder states. However, the presence of intruder states in Cd isotopes is more pronounced. Therefore, the two-state mixing model is suitable for explaining the band mixing observed in this study. This study utilizes a simple two-state mixing model to analyze the ground and excited states of Cd isotopes. The mixing between the lowest vibrational and rotational
			            2025, 49(5): 054106. doi: 10.1088/1674-1137/adb2fc 
	   					
		        	
			        
		            	
		        
					Abstract: 
In this study, a Glauber-type model for describing nuclear fragmentation in light targets at energies below 100\begin{document}$A\cdot$\end{document} ![]()
![]()
\begin{document}$A\cdot$\end{document} ![]()
![]()
		       
		        
		        
		        
			  
			In this study, a Glauber-type model for describing nuclear fragmentation in light targets at energies below 100
			            2025, 49(5): 054107. doi: 10.1088/1674-1137/ada3cc 
	   					
		        	
			        
		            	
		        
					Abstract: 
The\begin{document}$ ^{252} {\rm{Cf}}$\end{document} ![]()
![]()
\begin{document}$ ^{252} {\rm{Cf}}$\end{document} ![]()
![]()
\begin{document}$ ^{48} {\rm{Ca}}$\end{document} ![]()
![]()
\begin{document}$ ^{45} {\rm{Sc}}$\end{document} ![]()
![]()
\begin{document}$ ^{50} {\rm{Ti}}$\end{document} ![]()
![]()
\begin{document}$ ^{51} {\rm{V}}$\end{document} ![]()
![]()
\begin{document}$ ^{54} {\rm{Cr}}$\end{document} ![]()
![]()
\begin{document}$ ^{55} {\rm{Mn}}$\end{document} ![]()
![]()
\begin{document}$ ^{295-297} {\rm{Og}}$\end{document} ![]()
![]()
\begin{document}$ ^{292-294} {\rm{119}}$\end{document} ![]()
![]()
\begin{document}$ ^{297-299} {\rm{120}}$\end{document} ![]()
![]()
\begin{document}$ ^{298-300} {\rm{121}}$\end{document} ![]()
![]()
\begin{document}$ ^{301-303} {\rm{122}}$\end{document} ![]()
![]()
\begin{document}$ ^{302-304} {\rm{123}}$\end{document} ![]()
![]()
\begin{document}$ ^{252} {\rm{Cf}}$\end{document} ![]()
![]()
\begin{document}$ ^{302} {\rm{Og}}$\end{document} ![]()
![]()
		       
		        
		        
		        
			  
			The
			            2025, 49(5): 054108. doi: 10.1088/1674-1137/ada7d0 
	   					
		        	
			        
		            	
		        
					Abstract: 
The present manuscript investigates the fusion-ER cross-sections of different projectile-target combinations, namely, 16O+148,150Nd, 165Ho, 194Pt, 18O+148Nd, 194Pt, 192Os, 19F+188Os, and 30Si+170Er, consisting of quadrupole (\begin{document}$ \beta_2 $\end{document} ![]()
![]()
\begin{document}$ \beta_4 $\end{document} ![]()
![]()
\begin{document}$\sigma_{\rm cap}$\end{document} ![]()
![]()
\begin{document}$P_{\rm CN}$\end{document} ![]()
![]()
\begin{document}$W_{\rm sur}$\end{document} ![]()
![]()
\begin{document}$E_{\rm c.m.}$\end{document} ![]()
![]()
\begin{document}$W_{\rm sur}$\end{document} ![]()
![]()
\begin{document}$ a_f/a_n $\end{document} ![]()
![]()
		       
		        
		        
		        
			  
			The present manuscript investigates the fusion-ER cross-sections of different projectile-target combinations, namely, 16O+148,150Nd, 165Ho, 194Pt, 18O+148Nd, 194Pt, 192Os, 19F+188Os, and 30Si+170Er, consisting of quadrupole (
			            2025, 49(5): 054109. doi: 10.1088/1674-1137/ada34f 
	   					
		        	
			        
		            	
		        
					Abstract: 
Heavy-ion fusion reactions are relevant to numerous important issues in the stellar environment as well as in the synthesis of new nuclides and superheavy elements. In this study, the role of Pauli blocking and the isospin effect in sub-barrier fusion reactions is investigated using the well established coupled-channel method. An isospin-dependent Pauli blocking potential is proposed to better address the deep sub-barrier fusion hindrance problem. We find that the Pauli blocking effect manifests itself strongly for isospin symmetric targets and is reduced for targets with large isospin asymmetries. The agreement between experimental and theoretical fusion cross sections is improved for both the 12C-target and 16O-target systems.
		       
		        
		        
		        
			  
			Heavy-ion fusion reactions are relevant to numerous important issues in the stellar environment as well as in the synthesis of new nuclides and superheavy elements. In this study, the role of Pauli blocking and the isospin effect in sub-barrier fusion reactions is investigated using the well established coupled-channel method. An isospin-dependent Pauli blocking potential is proposed to better address the deep sub-barrier fusion hindrance problem. We find that the Pauli blocking effect manifests itself strongly for isospin symmetric targets and is reduced for targets with large isospin asymmetries. The agreement between experimental and theoretical fusion cross sections is improved for both the 12C-target and 16O-target systems.
			            2025, 49(5): 054110. doi: 10.1088/1674-1137/adb306 
	   					
		        	
			        
		            	
		        
					Abstract: 
In this study, we explore the effect of the deformation of nuclei on collective flow in relativistic heavy-ion collisions. The parameter associated with the geometrical deformation in the Glauber model is tuned to reproduce the empirical multiplicity probability distributions correctly. Subsequently, the particle spectra and collective flows for Au+Au and U+U collisions are evaluated using a hybrid hydrodynamic code CHESS. We analyze the effects of the degrees of freedom associated with the initial conditions on the final-state flow harmonics by exploring the parameter space of U+U collisions. The connection between the deformation parameters, specifically\begin{document}$ \beta_2 $\end{document} ![]()
![]()
\begin{document}$ \beta_4 $\end{document} ![]()
![]()
\begin{document}$ p_{\mathrm{T}}\sim 2 $\end{document} ![]()
![]()
\begin{document}$ \beta_2 $\end{document} ![]()
![]()
		       
		        
		        
		        
			  
			In this study, we explore the effect of the deformation of nuclei on collective flow in relativistic heavy-ion collisions. The parameter associated with the geometrical deformation in the Glauber model is tuned to reproduce the empirical multiplicity probability distributions correctly. Subsequently, the particle spectra and collective flows for Au+Au and U+U collisions are evaluated using a hybrid hydrodynamic code CHESS. We analyze the effects of the degrees of freedom associated with the initial conditions on the final-state flow harmonics by exploring the parameter space of U+U collisions. The connection between the deformation parameters, specifically
			            2025, 49(5): 054111. doi: 10.1088/1674-1137/adb2fb 
	   					
		        	
			        
		            	
		        
					Abstract: 
We investigate the breakup of the\begin{document}$ ^{11} {\rm{Be}}$\end{document} ![]()
![]()
\begin{document}$ ^{12} {\rm{C}}$\end{document} ![]()
![]()
\begin{document}$ ^{11} {\rm{Be}}$\end{document} ![]()
![]()
		       
		        
		        
		        
			  
			We investigate the breakup of the
			            2025, 49(5): 054112. doi: 10.1088/1674-1137/adb70b 
	   					
		        	
			        
		            	
		        
					Abstract: 
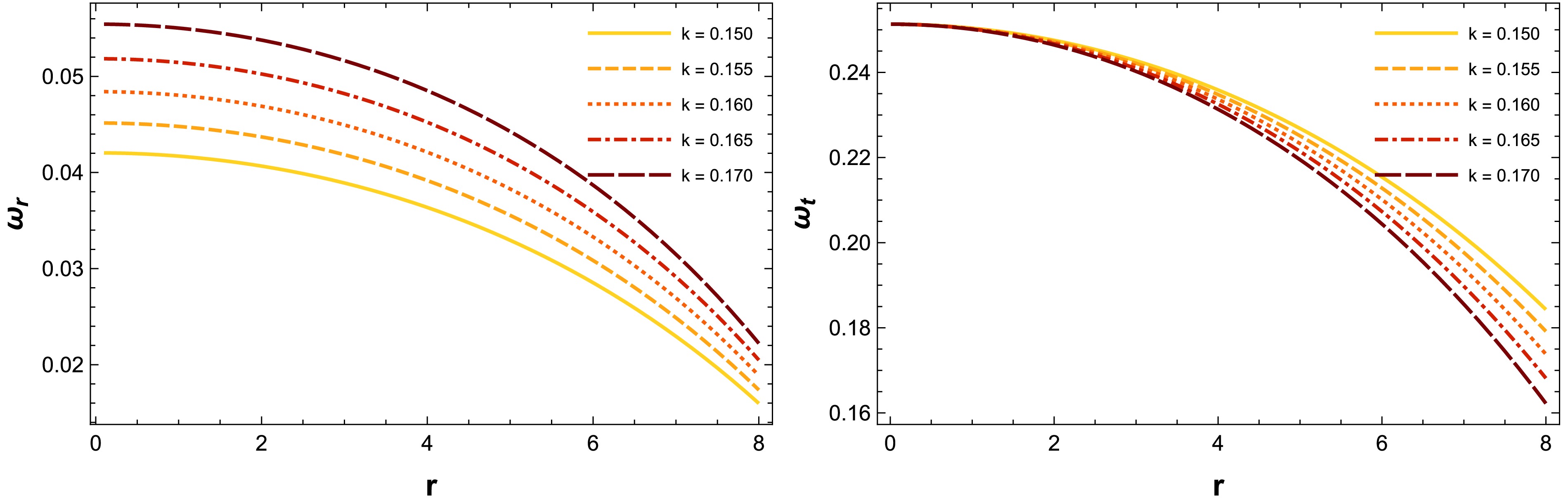
In this study, Langevin approach incorporated with the statistical model is adopted to investigate independent fission yields for a large quantity of fission products and the dependence of prompt fission observables on the incident neutron energy in\begin{document}$ ^{235} $\end{document} ![]()
![]()
\begin{document}$ ^{235} $\end{document} ![]()
![]()
		       
		        
		        
		        
			  
			In this study, Langevin approach incorporated with the statistical model is adopted to investigate independent fission yields for a large quantity of fission products and the dependence of prompt fission observables on the incident neutron energy in
			            2025, 49(5): 055101. doi: 10.1088/1674-1137/adb2fd 
	   					
		        	
			        
		            	
		        
					Abstract: 
From an astrophysical perspective, the composition of black holes (BHs), dark matter (DM), and dark energy can be an intriguing physical system. In this study, we consider Schwarzschild BHs embedded in a Dehnen-type DM halo with a quintessential field. This study examines the horizons, shadows, deflection angle, and quasinormal modes (QNMs) of the effective BH spacetime and how they are affected by the dark sector. The Schwarzschild BH embodied in a Dehnen-type DM halo with a quintessential field possesses two horizons: the event and cosmological horizons. We demonstrate that all dark sector parameters increase the event horizon while decreasing the cosmological horizon. We analyze the BH shadow and emphasize the impact of DM and quintessence parameters on the shadow. We show that the dark sector casts larger shadows than a Schwarzschild BH in a vacuum. Further, we delve into the weak gravitational lensing deflection angle using the Gauss-Bonnet theorem (GBT). We then investigate the system's QNMs using the 6th order WKB approach. To visually demonstrate the dark sector parameters, we present figures that illustrate the impact of varying the parameters of the Dehnen-type DM halo as well as the quintessence background. Our findings show that the gravitational waves emitted by BHs with a dark sector have a lower frequency and decay rate compared to those emitted by BHs in a vacuum.
		       
		        
		        
		        
			  
			From an astrophysical perspective, the composition of black holes (BHs), dark matter (DM), and dark energy can be an intriguing physical system. In this study, we consider Schwarzschild BHs embedded in a Dehnen-type DM halo with a quintessential field. This study examines the horizons, shadows, deflection angle, and quasinormal modes (QNMs) of the effective BH spacetime and how they are affected by the dark sector. The Schwarzschild BH embodied in a Dehnen-type DM halo with a quintessential field possesses two horizons: the event and cosmological horizons. We demonstrate that all dark sector parameters increase the event horizon while decreasing the cosmological horizon. We analyze the BH shadow and emphasize the impact of DM and quintessence parameters on the shadow. We show that the dark sector casts larger shadows than a Schwarzschild BH in a vacuum. Further, we delve into the weak gravitational lensing deflection angle using the Gauss-Bonnet theorem (GBT). We then investigate the system's QNMs using the 6th order WKB approach. To visually demonstrate the dark sector parameters, we present figures that illustrate the impact of varying the parameters of the Dehnen-type DM halo as well as the quintessence background. Our findings show that the gravitational waves emitted by BHs with a dark sector have a lower frequency and decay rate compared to those emitted by BHs in a vacuum.
			            2025, 49(5): 055102. doi: 10.1088/1674-1137/adb384 
	   					
		        	
			        
		            	
		        
					Abstract: 
We investigate the optical properties of the spacetime surrounding a Sen black hole, focusing on the black hole shadow, weak gravitational lensing, and time delay effects. Our analysis reveals that the effective charge of the Sen black hole significantly influences these phenomena. Specifically, an increase in the effective charge leads to a decrease in the radius of the photon sphere and a corresponding decrease in the size of the black hole shadow. Additionally, the bending angle of light rays diminishes as the effective charge increases. Our study provides observational bounds on the effective charge based on these optical characteristics. We also examine the magnification of source brightness using the lens equation and analyze the time delay of light in the presence of a surrounding plasma medium. Our findings offer new insights into the impact of effective charge and plasma on the observational signatures of Sen black holes.
		       
		        
		        
		        
			  
			We investigate the optical properties of the spacetime surrounding a Sen black hole, focusing on the black hole shadow, weak gravitational lensing, and time delay effects. Our analysis reveals that the effective charge of the Sen black hole significantly influences these phenomena. Specifically, an increase in the effective charge leads to a decrease in the radius of the photon sphere and a corresponding decrease in the size of the black hole shadow. Additionally, the bending angle of light rays diminishes as the effective charge increases. Our study provides observational bounds on the effective charge based on these optical characteristics. We also examine the magnification of source brightness using the lens equation and analyze the time delay of light in the presence of a surrounding plasma medium. Our findings offer new insights into the impact of effective charge and plasma on the observational signatures of Sen black holes.
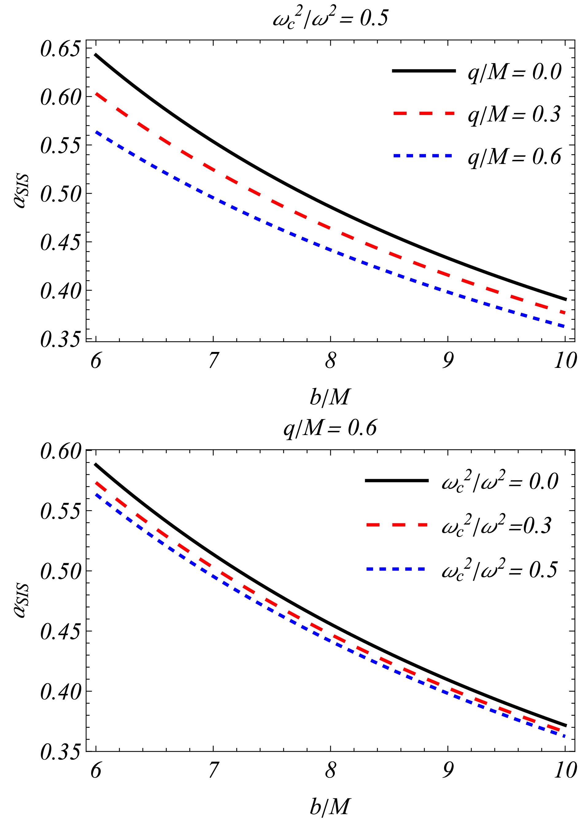
			            2025, 49(5): 055103. doi: 10.1088/1674-1137/ada34a 
	   					
		        	
			        
		            	
		        
					Abstract: 
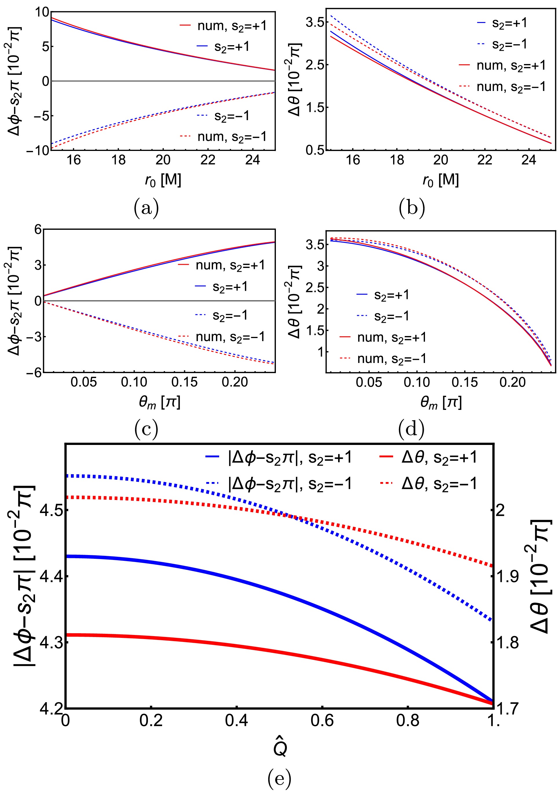
In this work, we develop a general perturbative procedure to determine the off-equatorial plane deflections in the weak deflection limit in general stationary and axisymmetric spacetimes, enabling the existence of the generalized Carter constant. Deflections of both null and timelike rays, with the finite distance effect of the source and detector considered, are obtained as dual series of\begin{document}$M/r_0$\end{document} ![]()
![]()
\begin{document}$r_0/r_{s,d}$\end{document} ![]()
![]()
		       
		        
		        
		        
			  
			In this work, we develop a general perturbative procedure to determine the off-equatorial plane deflections in the weak deflection limit in general stationary and axisymmetric spacetimes, enabling the existence of the generalized Carter constant. Deflections of both null and timelike rays, with the finite distance effect of the source and detector considered, are obtained as dual series of
			            2025, 49(5): 055104. doi: 10.1088/1674-1137/adb70c 
	   					
		        	
			        
		            	
		        
					Abstract: 
This study investigates back-reaction effects from matter accretion onto a cylindrically symmetric black hole using a perturbative scheme, focusing on cases where accretion reaches a quasi-steady state. We examine three distinct models by deriving corrections to the metric coefficients and obtaining expressions for the mass function. We analyze energy conditions and the self-consistency of the corrected solution and present formulas for the corrected apparent horizon and discussed thermodynamic properties. Our results align with the Vaidya form near the apparent horizon, regardless of the energy-momentum tensor form. Furthermore, we show that for a charged cylindrically symmetric black hole, the corrected mass term resembles that of a static case, indicating that charge does not alter the corrected metric form in this perturbative approach.
		       
		        
		        
		        
			  
			This study investigates back-reaction effects from matter accretion onto a cylindrically symmetric black hole using a perturbative scheme, focusing on cases where accretion reaches a quasi-steady state. We examine three distinct models by deriving corrections to the metric coefficients and obtaining expressions for the mass function. We analyze energy conditions and the self-consistency of the corrected solution and present formulas for the corrected apparent horizon and discussed thermodynamic properties. Our results align with the Vaidya form near the apparent horizon, regardless of the energy-momentum tensor form. Furthermore, we show that for a charged cylindrically symmetric black hole, the corrected mass term resembles that of a static case, indicating that charge does not alter the corrected metric form in this perturbative approach.
			            2025, 49(5): 055105. doi: 10.1088/1674-1137/adb307 
	   					
		        	
			        
		            	
		        
					Abstract: 
This paper presents an innovative framework for modeling anisotropic compact stars by incorporating the density profile of Bose-Einstein condensate dark matter within the\begin{document}$ f(Q) $\end{document} ![]()
![]()
		       
		        
		        
		        
			  
			This paper presents an innovative framework for modeling anisotropic compact stars by incorporating the density profile of Bose-Einstein condensate dark matter within the
			            2025, 49(5): 055106. doi: 10.1088/1674-1137/adabd0 
	   					
		        	
			        
		            	
		        
					Abstract: 
In this study, we investigate the Hawking radiation of the quantum Oppenheimer-Snyde black hole using the tunneling scheme proposed by Parikh and Wilczek. We calculate the emission rate of massless scalar particles. Compared with the traditional results within the framework of General Relativity, our findings include quantum correction terms resulting from loop quantum gravity effects. Using the approach in [J. Zhang, Phys. Lett. B 668(5), 353 (2008); J. Zhang, Phys. Lett. B 675(1), 14 (2009)], we establish the entropy of the black hole. This entropy includes a logarithmic correction, which results from quantum gravity effects. Our result is consistent with the well-known result in the context of quantum gravity.
		       
		        
		        
			  
			In this study, we investigate the Hawking radiation of the quantum Oppenheimer-Snyde black hole using the tunneling scheme proposed by Parikh and Wilczek. We calculate the emission rate of massless scalar particles. Compared with the traditional results within the framework of General Relativity, our findings include quantum correction terms resulting from loop quantum gravity effects. Using the approach in [J. Zhang, Phys. Lett. B 668(5), 353 (2008); J. Zhang, Phys. Lett. B 675(1), 14 (2009)], we establish the entropy of the black hole. This entropy includes a logarithmic correction, which results from quantum gravity effects. Our result is consistent with the well-known result in the context of quantum gravity.
			            2025, 49(5): 055107. doi: 10.1088/1674-1137/adbc87 
	   					
		        	
			        
		            	
		        
					Abstract: 
The Hubble constant\begin{document}$H_0$\end{document} ![]()
![]()
\begin{document}$H_0$\end{document} ![]()
![]()
\begin{document}$H_0$\end{document} ![]()
![]()
\begin{document}$H_0=72.3^{+3.8}_{-3.6}$\end{document} ![]()
![]()
\begin{document}$H_0=72.4^{+1.6}_{-1.7}$\end{document} ![]()
![]()
\begin{document}$H_0=70.7^{+3.0}_{-3.1}$\end{document} ![]()
![]()
\begin{document}$H_0=74.0^{+2.7}_{-2.7}$\end{document} ![]()
![]()
\begin{document}$H_0$\end{document} ![]()
![]()
		       
		        
		        
		        
			  
			The Hubble constant
ISSN 1674-1137 CN 11-5641/O4
Original research articles, Ietters and reviews Covering theory and experiments in the fieids of
- Particle physics
- Nuclear physics
- Particle and nuclear astrophysics
- Cosmology
Author benefits
- A SCOAP3 participating journal - free Open Access publication for qualifying articles
- Average 24 days to first decision
- Fast-track publication for selected articles
- Subscriptions at over 3000 institutions worldwide
- Free English editing on all accepted articles
News
	
- Chinese Physics C Outstanding Reviewer Award 2023
- Impact factor of Chinese Physics C is 3.6 in 2022
- 2022 CPC Outstanding Reviewer Awards
- The 2023 Chinese New Year-Office closure
- ãChinese Physics CãBEST PAPER AWARDS 2022
Cover Story
    
- Cover Story (Issue 9, 2025): Precise measurement of Ïc0 resonance parameters and branching fractions of Ïc0,c2âÏï¼Ïï¼/ K+K-
- Cover Story (Issue 8, 2025) A Novel Perspective on Spacetime Perturbations: Bridging Riemannian and Teleparallel Frameworks
- Cover Story (Issue 7, 2025) Evidence of the negative parity linear chain states in 16C
- Cover Story (Issue 1, 2025) Comments on Prediction of Energy Resolution inthe JUNO Experiment
- Cover Story (Issue 12, 2024) | Doubly heavy meson puzzle: precise prediction of the mass spectra and hadronic decay with coupled channel effects to hunt for beauty-charm family










 
    	     
		    

