Recent
Display Method:
2026 No.2
2026, 50(2): 025107. doi: 10.1088/1674-1137/ae1afc
Abstract:
The swirling-Kerr black hole is a novel solution of vacuum general relativity and has an extra swirling parameter characterizing the rotation of spacetime background. We study the gravitational waves generated by extreme mass ratio inspirals (EMRIs) along eccentric orbits on the equatorial plane in this novel swirling spacetime. Our findings indicate that this swirling parameter leads to a delayed phase shift in the gravitational waveforms. Furthermore, we investigate the effects of the swirling parameter on the potential issue of waveform confusion caused by the orbital eccentricity and semi-latus rectum parameters. As the swirling parameter increases, the relative variations in the eccentricity increase, whereas the variations in the semi-latus rectum rapidly decrease. The trends related to changes in the orbital eccentricity and semi-latus rectum with the swirling parameter resemble those observed with the MOG parameter in Scalar-Tensor-Vector-Gravity (STVG) theory but with different rates of change. Furthermore, our results also reveal that the effects of the background swirling parameter on the relative variations in the eccentricity and semi-latus rectum are distinct from those of the black hole spin parameter. These results provide deeper insights into the properties of EMRI gravitational waves and background swirling.
The swirling-Kerr black hole is a novel solution of vacuum general relativity and has an extra swirling parameter characterizing the rotation of spacetime background. We study the gravitational waves generated by extreme mass ratio inspirals (EMRIs) along eccentric orbits on the equatorial plane in this novel swirling spacetime. Our findings indicate that this swirling parameter leads to a delayed phase shift in the gravitational waveforms. Furthermore, we investigate the effects of the swirling parameter on the potential issue of waveform confusion caused by the orbital eccentricity and semi-latus rectum parameters. As the swirling parameter increases, the relative variations in the eccentricity increase, whereas the variations in the semi-latus rectum rapidly decrease. The trends related to changes in the orbital eccentricity and semi-latus rectum with the swirling parameter resemble those observed with the MOG parameter in Scalar-Tensor-Vector-Gravity (STVG) theory but with different rates of change. Furthermore, our results also reveal that the effects of the background swirling parameter on the relative variations in the eccentricity and semi-latus rectum are distinct from those of the black hole spin parameter. These results provide deeper insights into the properties of EMRI gravitational waves and background swirling.
2026, 50(2): 025104. doi: 10.1088/1674-1137/ae1189
Abstract:
We consider the three-dimensional rotating motions of neutron stars blown by ''axion wind.'' Neutron star precession and spin can change from the magnetic moment coupling to the oscillating axion background field, which is analogous to gyroscope motions with a driving force and the laboratory nuclear magnetic resonance detections of the axion. This effect modulates the pulse arrival time of pulsar timing arrays (PTAs) through changes in the pulsars' periods. It has appeared as a signal in the timing residual and two-point correlation function of recent Nanograv and PPTA data. Thus, the current measurement of PTAs can cast constraints on the axion-nucleon, for example, coupling as $ g_\text{aNN} \sim 10^{-12}\; \text{GeV}^{-1} $ with an axion mass of approximately $ 10^{-23} $ $ \mathrm{eV} $.
We consider the three-dimensional rotating motions of neutron stars blown by ''axion wind.'' Neutron star precession and spin can change from the magnetic moment coupling to the oscillating axion background field, which is analogous to gyroscope motions with a driving force and the laboratory nuclear magnetic resonance detections of the axion. This effect modulates the pulse arrival time of pulsar timing arrays (PTAs) through changes in the pulsars' periods. It has appeared as a signal in the timing residual and two-point correlation function of recent Nanograv and PPTA data. Thus, the current measurement of PTAs can cast constraints on the axion-nucleon, for example, coupling as $ g_\text{aNN} \sim 10^{-12}\; \text{GeV}^{-1} $ with an axion mass of approximately $ 10^{-23} $ $ \mathrm{eV} $.
2026, 50(2): 025102. doi: 10.1088/1674-1137/ae1442
Abstract:
We investigate the dynamic shadows of a black hole with a self-interacting massive complex scalar hair. The complex scalar field $\psi$ evolves with time t, and its magnitude on the apparent horizon $|\psi_{\rm h}|$ starts from zero, undergoes a sharp rise followed by rapid oscillations, and eventually converges to a constant value. The variation in the photon sphere radius $r_{\rm ps}$ is similar to that of the magnitude $|\psi_{\rm h}|$. Owing to the emergence of the complex scalar hair $\psi$, the apparent horizon radius $r_{\rm h}$ starts increasing sharply and then smoothly approaches a stable value eventually. The shadow radius $R_{\rm sh}$ of the black hole with an accretion disk increases with time $t_{\rm o}$ at the observer's position. In the absence of an accretion disk, the shadow radius $R_{\rm sh}$ is larger and also increases as $t_{\rm o}$ increases. Furthermore, we slice the dynamical spacetime into spacelike hypersurfaces for all time points $t$. For the case with an accretion disk, the variation in $R_{\rm sh}$ is similar to that in the apparent horizon $r_{\rm h}$, because the inner edge of the accretion disk extends to the apparent horizon. In the absence of an accretion disk, the variation in $R_{\rm sh}$ is similar to that in the photon sphere radius $r_{\rm ps}$, because the black hole shadow boundary is determined by the photon sphere. As the variation in $r_{\rm ps}$ is induced by $\psi$, it can be stated that the variation in the size of the shadow is similarly caused by the change in $\psi$. Regardless of the presence or absence of the accretion disk, the emergence of the complex scalar hair $\psi$ causes the radius $R_{\rm sh}$ of the shadow to start changing. Moreover, we investigate the time delay $\Delta t$ of light propagating from light sources to the observer. These findings not only enrich the theoretical models of dynamic black hole shadows but also provide a foundation for testing black hole spacetime dynamics.
We investigate the dynamic shadows of a black hole with a self-interacting massive complex scalar hair. The complex scalar field $\psi$ evolves with time t, and its magnitude on the apparent horizon $|\psi_{\rm h}|$ starts from zero, undergoes a sharp rise followed by rapid oscillations, and eventually converges to a constant value. The variation in the photon sphere radius $r_{\rm ps}$ is similar to that of the magnitude $|\psi_{\rm h}|$. Owing to the emergence of the complex scalar hair $\psi$, the apparent horizon radius $r_{\rm h}$ starts increasing sharply and then smoothly approaches a stable value eventually. The shadow radius $R_{\rm sh}$ of the black hole with an accretion disk increases with time $t_{\rm o}$ at the observer's position. In the absence of an accretion disk, the shadow radius $R_{\rm sh}$ is larger and also increases as $t_{\rm o}$ increases. Furthermore, we slice the dynamical spacetime into spacelike hypersurfaces for all time points $t$. For the case with an accretion disk, the variation in $R_{\rm sh}$ is similar to that in the apparent horizon $r_{\rm h}$, because the inner edge of the accretion disk extends to the apparent horizon. In the absence of an accretion disk, the variation in $R_{\rm sh}$ is similar to that in the photon sphere radius $r_{\rm ps}$, because the black hole shadow boundary is determined by the photon sphere. As the variation in $r_{\rm ps}$ is induced by $\psi$, it can be stated that the variation in the size of the shadow is similarly caused by the change in $\psi$. Regardless of the presence or absence of the accretion disk, the emergence of the complex scalar hair $\psi$ causes the radius $R_{\rm sh}$ of the shadow to start changing. Moreover, we investigate the time delay $\Delta t$ of light propagating from light sources to the observer. These findings not only enrich the theoretical models of dynamic black hole shadows but also provide a foundation for testing black hole spacetime dynamics.
2026, 50(2): 025101. doi: 10.1088/1674-1137/ae1375
Abstract:
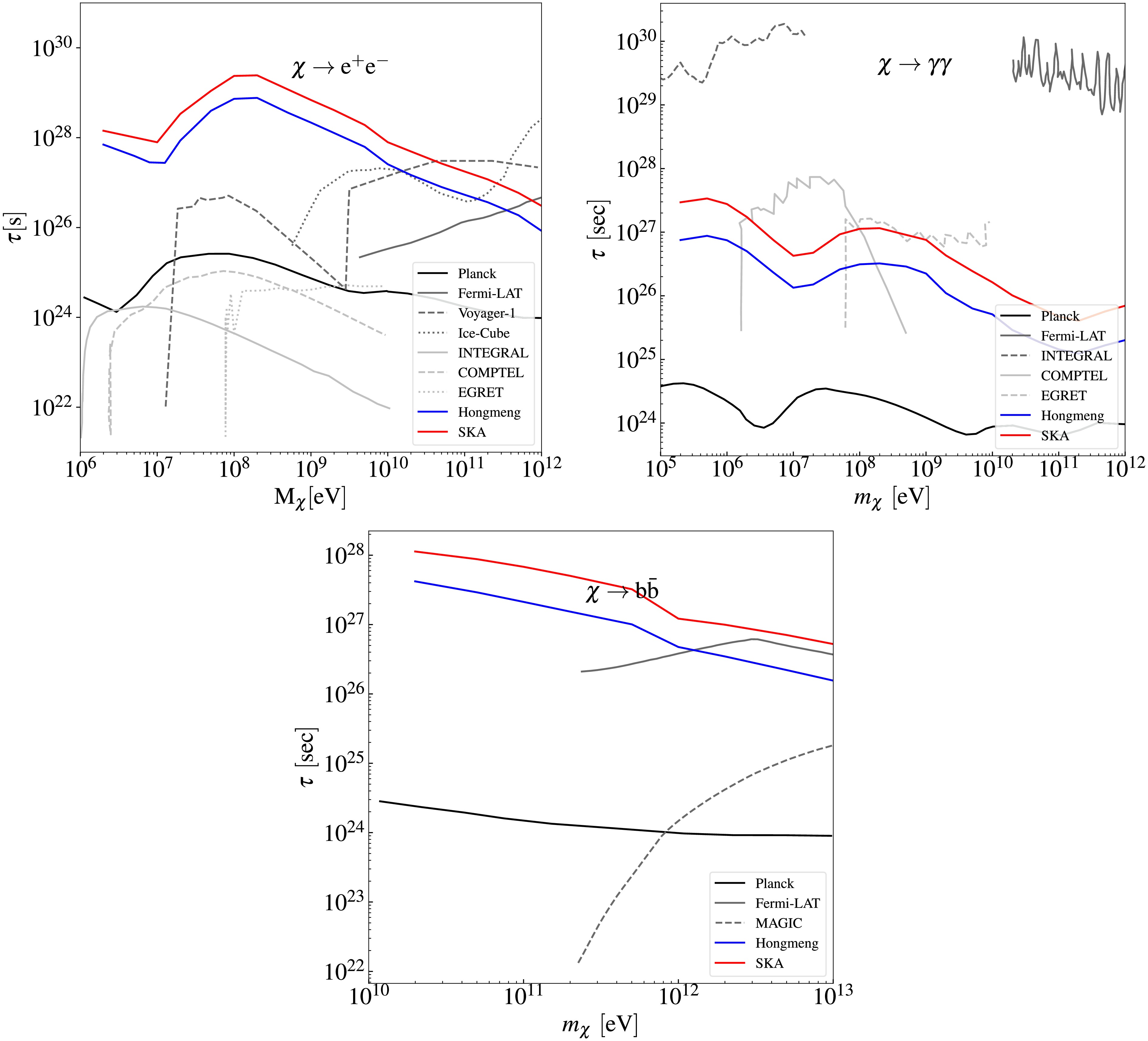
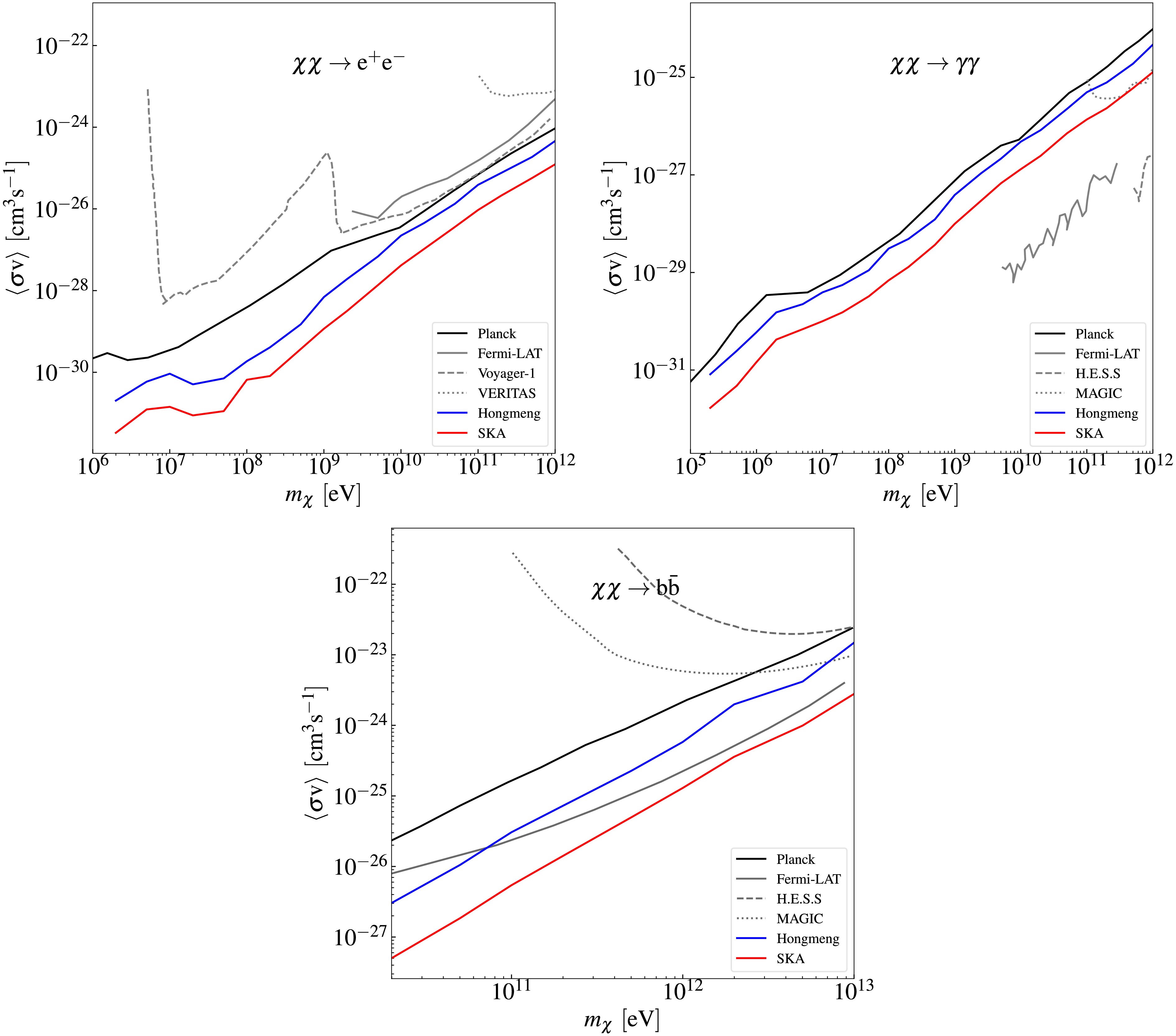
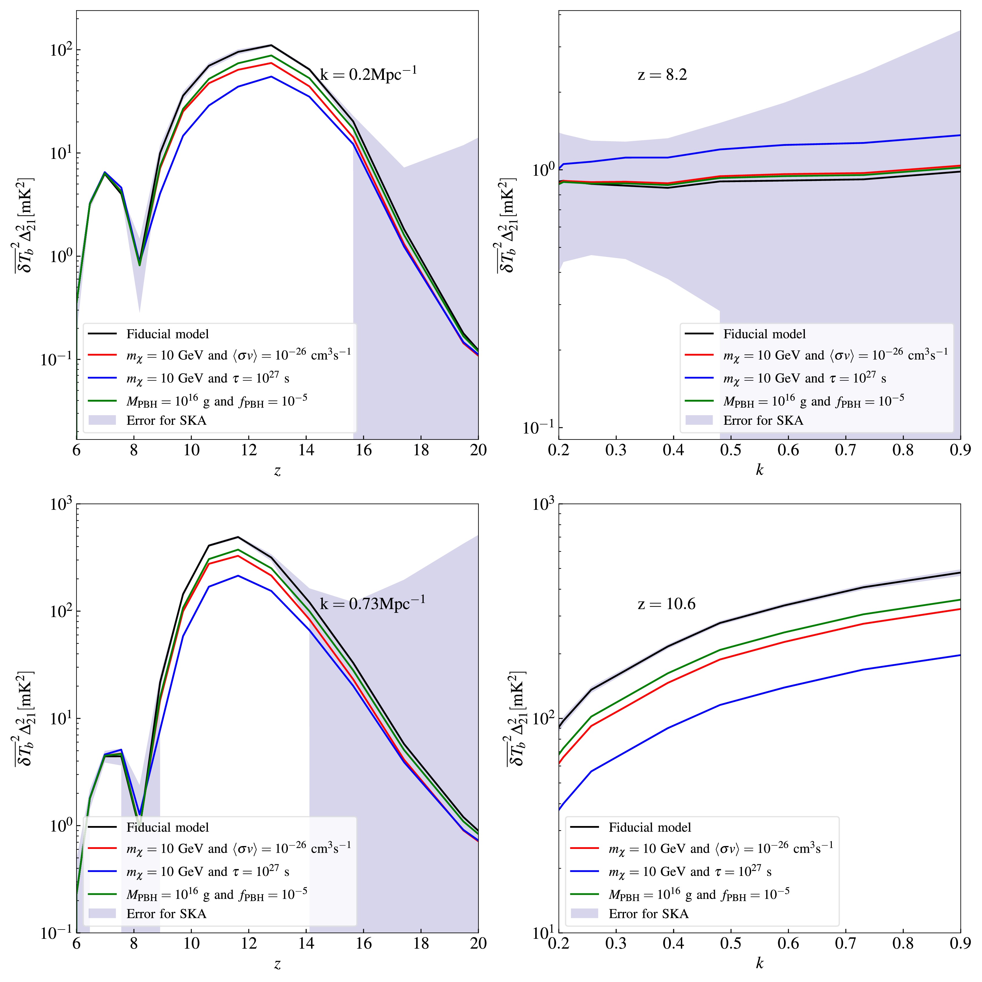
Probing the nature of dark matter (DM) remains an outstanding problem in modern cosmology. The 21 cm signal, a sensitive tracer of neutral hydrogen during the cosmic dawn, provides a unique means to investigate DM nature during this critical epoch. The annihilation and decay of DM particles, as well as Hawking radiation of primordial black holes (PBHs), can modify the thermal and ionization histories of the early universe, leaving distinctive imprints on the 21 cm power spectrum. Therefore, the redshifted 21 cm power spectrum serves as an effective tool for investigating such DM processes. In this work, we systematically assess the potential of the upcoming Square Kilometre Array (SKA) to constrain DM and PBH parameters using the 21 cm power spectrum. Assuming 10,000 h of integration time, the SKA is projected to reach sensitivities of $ \langle\sigma v\rangle \leq 10^{-28}\,{{\rm{cm}}}^{3}\,{{\rm{s}}}^{-1} $ and $ \tau\ge10^{28}\, \rm{s} $ for $ 10\; {{\rm{GeV}}} $ DM particles. It can also probe PBHs with masses of $ 10^{16}\,{{\rm{g}}} $ and abundances of $ f_{{{\rm{PBH}}}} \leq 10^{-6} $. These results indicate that the SKA can place constraints on DM annihilation, decay, and PBH Hawking radiation that are up to two to three orders of magnitude stronger than current limits. Furthermore, the SKA is expected to exceed existing bounds on sub-GeV DM and probe Hawking radiation from PBHs with masses above $ 10^{17}\,{{\rm{g}}} $, which are otherwise inaccessible using conventional cosmological probes. Overall, the SKA holds significant promise for advancing our understanding of both DM particles and PBHs, potentially offering new insights into the fundamental nature of DM.
Probing the nature of dark matter (DM) remains an outstanding problem in modern cosmology. The 21 cm signal, a sensitive tracer of neutral hydrogen during the cosmic dawn, provides a unique means to investigate DM nature during this critical epoch. The annihilation and decay of DM particles, as well as Hawking radiation of primordial black holes (PBHs), can modify the thermal and ionization histories of the early universe, leaving distinctive imprints on the 21 cm power spectrum. Therefore, the redshifted 21 cm power spectrum serves as an effective tool for investigating such DM processes. In this work, we systematically assess the potential of the upcoming Square Kilometre Array (SKA) to constrain DM and PBH parameters using the 21 cm power spectrum. Assuming 10,000 h of integration time, the SKA is projected to reach sensitivities of $ \langle\sigma v\rangle \leq 10^{-28}\,{{\rm{cm}}}^{3}\,{{\rm{s}}}^{-1} $ and $ \tau\ge10^{28}\, \rm{s} $ for $ 10\; {{\rm{GeV}}} $ DM particles. It can also probe PBHs with masses of $ 10^{16}\,{{\rm{g}}} $ and abundances of $ f_{{{\rm{PBH}}}} \leq 10^{-6} $. These results indicate that the SKA can place constraints on DM annihilation, decay, and PBH Hawking radiation that are up to two to three orders of magnitude stronger than current limits. Furthermore, the SKA is expected to exceed existing bounds on sub-GeV DM and probe Hawking radiation from PBHs with masses above $ 10^{17}\,{{\rm{g}}} $, which are otherwise inaccessible using conventional cosmological probes. Overall, the SKA holds significant promise for advancing our understanding of both DM particles and PBHs, potentially offering new insights into the fundamental nature of DM.
2026, 50(2): 025103. doi: 10.1088/1674-1137/ae1202
Abstract:
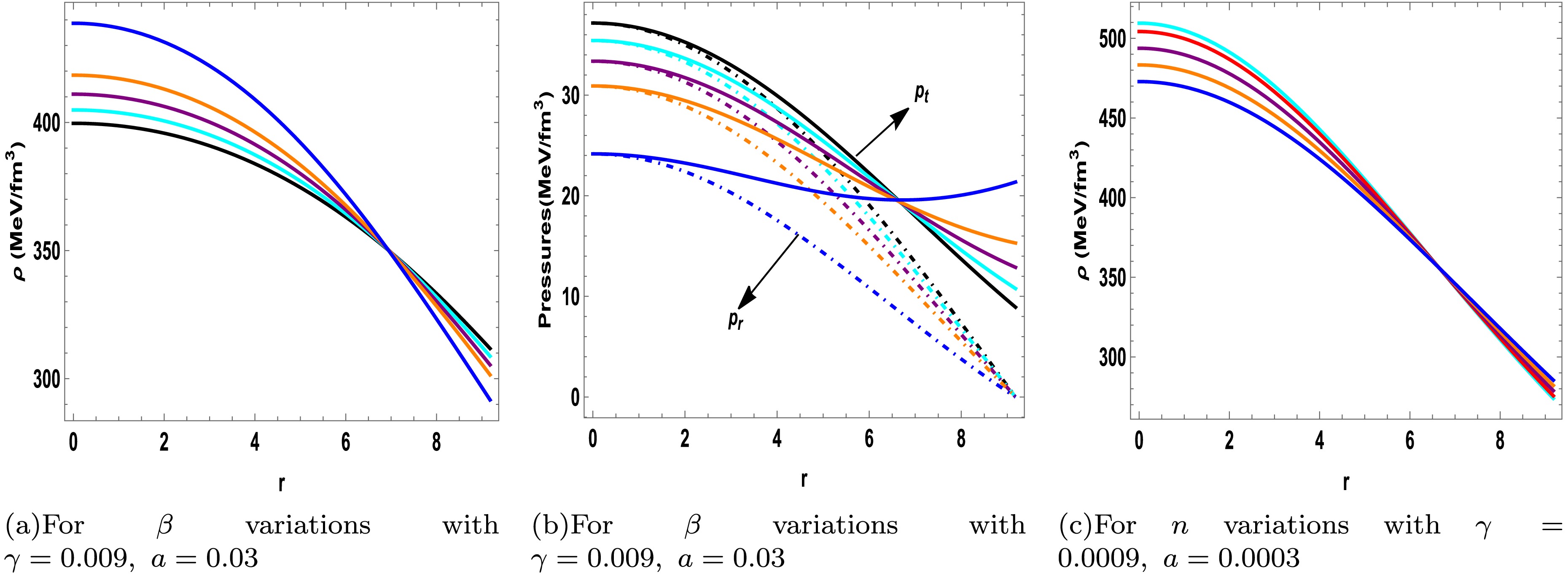
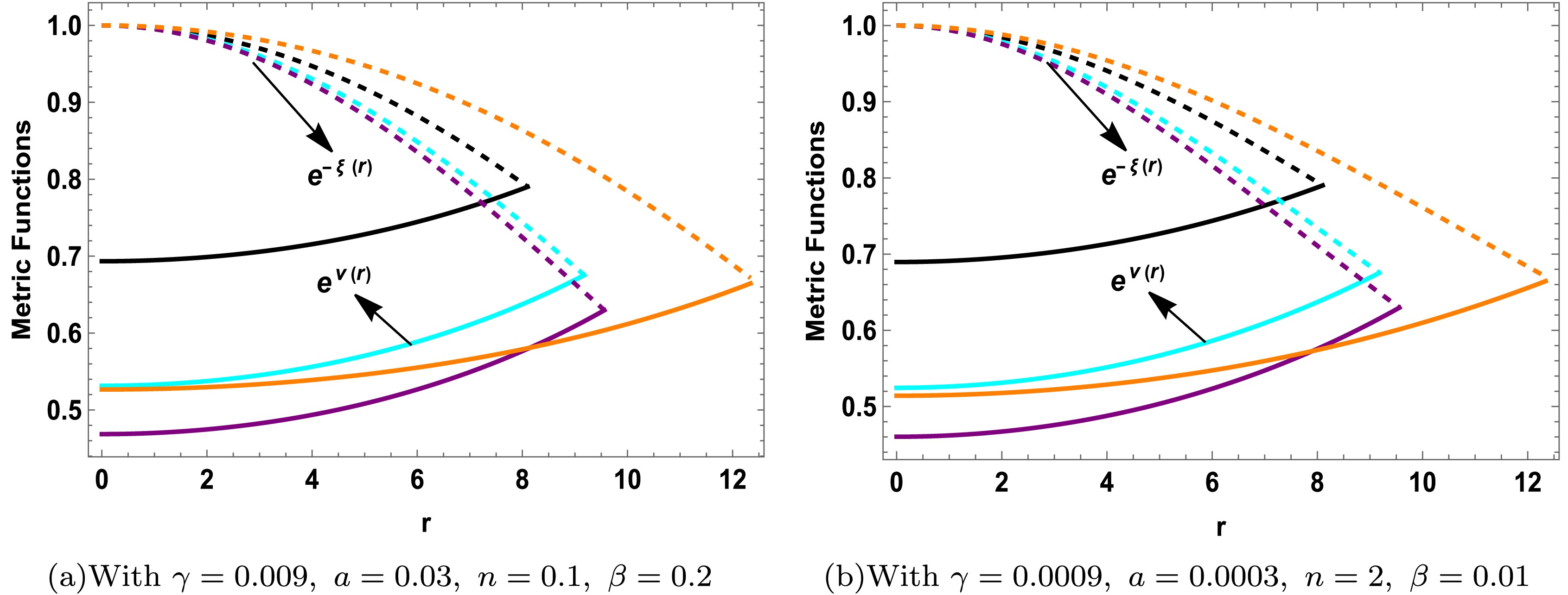
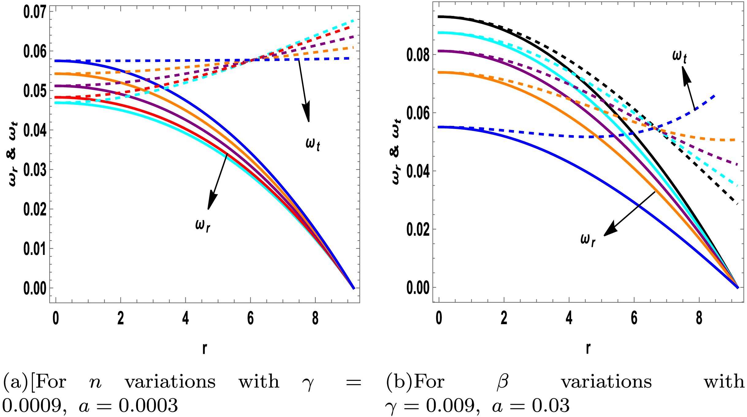
This study uses a minimal geometric deformation scheme within the $ f({\cal{R}},{\cal{L}}_m,T) $ gravity paradigm to model anisotropic compact stars using class-1 embedding spacetime. We introduce the deformation of the radial component of the metric tensor, which decouples the Einstein field equations and introduces an additional gravitational source. The relevant constants are evaluated using observational data from seven realistic star candidates by matching the inner region with the outer Schwarzschild line element. A comprehensive graphical analysis of three compact stars is performed to examine the impact of the coupling parameter β and deformation parameter n, revealing positive, well-behaved energy densities and pressures that satisfy the energy conditions. The study found that negative values of the coupling parameter β allow greater mass accumulation while preserving key physical characteristics, such as stability under Herrera's cracking condition and the extended Tolman-Oppenheimer-Volkoff equation. This study highlights the significance of gravitational decoupling for determining mass, redshift, and compactness and provides important insights into the internal structure of stellar bodies within this new generalized gravity framework.
This study uses a minimal geometric deformation scheme within the $ f({\cal{R}},{\cal{L}}_m,T) $ gravity paradigm to model anisotropic compact stars using class-1 embedding spacetime. We introduce the deformation of the radial component of the metric tensor, which decouples the Einstein field equations and introduces an additional gravitational source. The relevant constants are evaluated using observational data from seven realistic star candidates by matching the inner region with the outer Schwarzschild line element. A comprehensive graphical analysis of three compact stars is performed to examine the impact of the coupling parameter β and deformation parameter n, revealing positive, well-behaved energy densities and pressures that satisfy the energy conditions. The study found that negative values of the coupling parameter β allow greater mass accumulation while preserving key physical characteristics, such as stability under Herrera's cracking condition and the extended Tolman-Oppenheimer-Volkoff equation. This study highlights the significance of gravitational decoupling for determining mass, redshift, and compactness and provides important insights into the internal structure of stellar bodies within this new generalized gravity framework.
2026, 50(2): 024109. doi: 10.1088/1674-1137/ae19dc
Abstract:
Understanding nuclear shape, behavior, and stability, as well as improving nuclear models, depends on the precise determination of ground-state nuclear charge radii. Existing experimental techniques are limited to extremely narrow regions of the nuclear chart; theoretical models, including relativistic Hartree-Bogoliubov (RHB) and Hartree-Fock-Bogoliubov (HFB), predict broad trends of nuclear properties but miss fine isotopic features such as odd-even staggering effects and shell-closure kinks. High computational time and cost are other obstacles to theoretical approaches. Although machine-learning algorithms have made significant progress in predicting charge radii, they are still hindered by a lack of balanced data and characteristics, primarily centered around $ A\ge40 $ and $ Z\ge20 $. In the present study, we present the first application of CatBoost regression to compute nuclear charge radii. We integrated two experimental datasets with RHB-calculated point-coupling interaction (PC-X) theoretical features and extended our study range to $ A\ge17 $, $ Z\ge8 $. We found the best hyperparameters using Optuna’s Tree-structured Parzen Estimator (TPE) sampler with 10-fold cross-validation (CV), achieving a CV root-mean-square error (RMSE) of 0.0106 fm and hold-out RMSE of 0.0102 fm, with only three features, i.e., neutron number (N), proton number (Z), and RHB theoretical binding energy (BE), outperforming nine other ML models: random forest (RF), quantile RF (QRF), Cubist, Gaussian process regression with polynomial kernel (GPPK), multivariate adaptive regression splines (MARS), SVR, ANN, convolutional neural network (CNN), and Brussels-Skyrme-on-a-grid 3 (BSkG3). SHapley Additive exPlanations (SHAP) analysis confirms the highest global influence of BE in the model's predictions, followed by proton number and neutron number. The proposed model can accurately reproduce the $ N=50 $ kink and odd-even staggering effects in krypton and strontium chains. These results establish CatBoost as a robust and notably promising model for charge-radius prediction and beyond, with the potential to impact r-process modeling and future theoretical development.
Understanding nuclear shape, behavior, and stability, as well as improving nuclear models, depends on the precise determination of ground-state nuclear charge radii. Existing experimental techniques are limited to extremely narrow regions of the nuclear chart; theoretical models, including relativistic Hartree-Bogoliubov (RHB) and Hartree-Fock-Bogoliubov (HFB), predict broad trends of nuclear properties but miss fine isotopic features such as odd-even staggering effects and shell-closure kinks. High computational time and cost are other obstacles to theoretical approaches. Although machine-learning algorithms have made significant progress in predicting charge radii, they are still hindered by a lack of balanced data and characteristics, primarily centered around $ A\ge40 $ and $ Z\ge20 $. In the present study, we present the first application of CatBoost regression to compute nuclear charge radii. We integrated two experimental datasets with RHB-calculated point-coupling interaction (PC-X) theoretical features and extended our study range to $ A\ge17 $, $ Z\ge8 $. We found the best hyperparameters using Optuna’s Tree-structured Parzen Estimator (TPE) sampler with 10-fold cross-validation (CV), achieving a CV root-mean-square error (RMSE) of 0.0106 fm and hold-out RMSE of 0.0102 fm, with only three features, i.e., neutron number (N), proton number (Z), and RHB theoretical binding energy (BE), outperforming nine other ML models: random forest (RF), quantile RF (QRF), Cubist, Gaussian process regression with polynomial kernel (GPPK), multivariate adaptive regression splines (MARS), SVR, ANN, convolutional neural network (CNN), and Brussels-Skyrme-on-a-grid 3 (BSkG3). SHapley Additive exPlanations (SHAP) analysis confirms the highest global influence of BE in the model's predictions, followed by proton number and neutron number. The proposed model can accurately reproduce the $ N=50 $ kink and odd-even staggering effects in krypton and strontium chains. These results establish CatBoost as a robust and notably promising model for charge-radius prediction and beyond, with the potential to impact r-process modeling and future theoretical development.
2026, 50(2): 024108. doi: 10.1088/1674-1137/ae18ae
Abstract:
Chiral effective theory has become a powerful tool for studying the low-energy properties of QCD. In this study, we apply an extended chiral effective theory—chiral-scale effective theory—including a dilatonic scalar meson to study nuclear matter. It is found that the properties around saturation density can be well reproduced. Compared to Walecka-type models in nuclear matter studies, our approach improves the behavior of symmetry energy in describing empirical data without introducing an additional isovector scalar meson δ to make it soft at intermediate densities. Moreover, the predicted neutron star mass-radius relations fall within the constraints of GW170817, PSR J0740+6620, and PSR J0030+0451, while the maximum neutron star mass can reach $\gtrsim 2.5M_{\odot}$ with a pure hadronic phase. Additionally, we find that symmetry patterns of the effective theory significantly impact neutron star structures. We believe that introducing this type of theory into nuclear matter studies can contribute to a more comprehensive understanding of QCD, nuclear matter, and compact astrophysical objects.
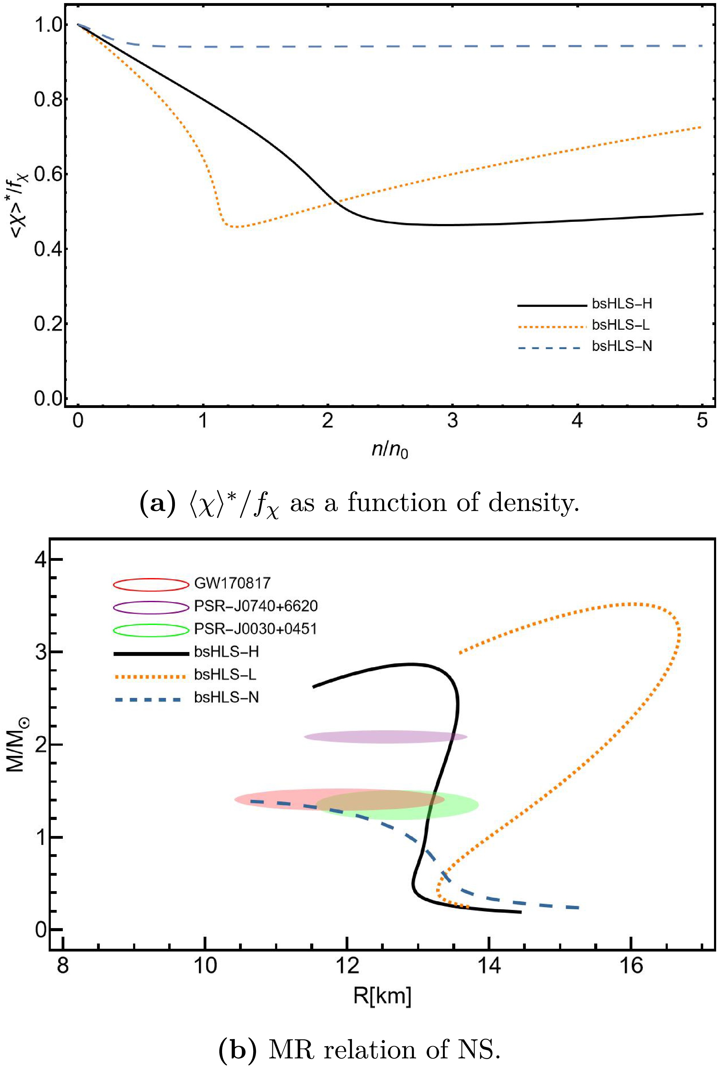
Chiral effective theory has become a powerful tool for studying the low-energy properties of QCD. In this study, we apply an extended chiral effective theory—chiral-scale effective theory—including a dilatonic scalar meson to study nuclear matter. It is found that the properties around saturation density can be well reproduced. Compared to Walecka-type models in nuclear matter studies, our approach improves the behavior of symmetry energy in describing empirical data without introducing an additional isovector scalar meson δ to make it soft at intermediate densities. Moreover, the predicted neutron star mass-radius relations fall within the constraints of GW170817, PSR J0740+6620, and PSR J0030+0451, while the maximum neutron star mass can reach $\gtrsim 2.5M_{\odot}$ with a pure hadronic phase. Additionally, we find that symmetry patterns of the effective theory significantly impact neutron star structures. We believe that introducing this type of theory into nuclear matter studies can contribute to a more comprehensive understanding of QCD, nuclear matter, and compact astrophysical objects.
2026, 50(2): 024101. doi: 10.1088/1674-1137/ae0999
Abstract:
The breakup of weakly-bound projectiles has been shown to significantly influence scattering processes, including elastic scattering. In this context, we revisit the angular distributions (ADs) for the elastic scattering of 7Li from 118Sn and 120Sn targets. The study analyzes 7Li + 118Sn ADs over the energy range of 18.15–48 MeV and 7Li + 120Sn ADs from 20 to 44 MeV, utilizing various nuclear interaction models, including the São Paulo potential, CDM3Y6 potential (with and without the rearrangement term), and cluster folding model. The results indicate that the real component of the folded potentials must be scaled down by 40–65% to achieve an accurate fit to the experimental ADs, underscoring the prominent role of 7Li breakup effects. Interestingly, the conventional threshold anomaly observed in reactions involving tightly bound nuclei is not present. Further analysis using the continuum discretized coupled channels (CDCC) approach provides excellent agreement with the data, reinforcing these findings.
The breakup of weakly-bound projectiles has been shown to significantly influence scattering processes, including elastic scattering. In this context, we revisit the angular distributions (ADs) for the elastic scattering of 7Li from 118Sn and 120Sn targets. The study analyzes 7Li + 118Sn ADs over the energy range of 18.15–48 MeV and 7Li + 120Sn ADs from 20 to 44 MeV, utilizing various nuclear interaction models, including the São Paulo potential, CDM3Y6 potential (with and without the rearrangement term), and cluster folding model. The results indicate that the real component of the folded potentials must be scaled down by 40–65% to achieve an accurate fit to the experimental ADs, underscoring the prominent role of 7Li breakup effects. Interestingly, the conventional threshold anomaly observed in reactions involving tightly bound nuclei is not present. Further analysis using the continuum discretized coupled channels (CDCC) approach provides excellent agreement with the data, reinforcing these findings.
2026, 50(2): 023109. doi: 10.1088/1674-1137/ae18af
Abstract:
In this work, we investigate the resonance structures in the $ \Sigma(1/2^-) $ system from both three-quark and five-quark perspectives within the framework of the chiral quark model. An accurate few-body computational approach, the Gaussian expansion method, is employed to construct the orbital wave functions of multiquark states. To reduce the model dependence on parameters, we fit two sets of parameters to check the stability of the results. The calculations show that our results remain stable despite changes in the parameters. In the three-quark calculations, two $ \Sigma(1/2^-) $ states are obtained with energies around 1.8 GeV, which are good candidates for the experimentally observed $ \Sigma(1750) $ and $ \Sigma(1900) $. In the five-quark configuration, several stable resonance states are identified, including $ \Sigma \pi $, $ N \bar{K} $, and $ N \bar{K}^{*} $. These resonance states survive the channel-coupling calculations under the complex-scaling framework and manifest as stable structures. Our results support the existence of a two-pole structure for the $ \Sigma(1/2^-) $ system, predominantly composed of $ \Sigma \pi $ and $ N \bar{K} $ configurations, analogous to the well-known $ \Lambda(1380) $-$ \Lambda(1405) $ ($ \Sigma \pi $-$ N \bar{K} $) system. On the other hand, although the energy of the $ N \bar{K}^{*} $ configuration is close to that of $ \Sigma(1750) $ and $ \Sigma(1900) $, the obtained width is not consistent with the experimental values. This suggests that the $ N \bar{K}^{*} $ state needs to mix with three-quark components to better explain the experimental $ \Sigma(1750) $ and $ \Sigma(1900) $ states. According to our decay width calculations, the predicted two resonance states are primarily composed of $ \Sigma \pi $ and $ N \bar{K} $, with their main decay channel being $ \Lambda \pi $. Therefore, we encourage experimental groups to search for the predicted two-pole structure of the $ \Sigma(1/2^-) $ system in the invariant mass spectrum of $ \Lambda \pi $.
In this work, we investigate the resonance structures in the $ \Sigma(1/2^-) $ system from both three-quark and five-quark perspectives within the framework of the chiral quark model. An accurate few-body computational approach, the Gaussian expansion method, is employed to construct the orbital wave functions of multiquark states. To reduce the model dependence on parameters, we fit two sets of parameters to check the stability of the results. The calculations show that our results remain stable despite changes in the parameters. In the three-quark calculations, two $ \Sigma(1/2^-) $ states are obtained with energies around 1.8 GeV, which are good candidates for the experimentally observed $ \Sigma(1750) $ and $ \Sigma(1900) $. In the five-quark configuration, several stable resonance states are identified, including $ \Sigma \pi $, $ N \bar{K} $, and $ N \bar{K}^{*} $. These resonance states survive the channel-coupling calculations under the complex-scaling framework and manifest as stable structures. Our results support the existence of a two-pole structure for the $ \Sigma(1/2^-) $ system, predominantly composed of $ \Sigma \pi $ and $ N \bar{K} $ configurations, analogous to the well-known $ \Lambda(1380) $-$ \Lambda(1405) $ ($ \Sigma \pi $-$ N \bar{K} $) system. On the other hand, although the energy of the $ N \bar{K}^{*} $ configuration is close to that of $ \Sigma(1750) $ and $ \Sigma(1900) $, the obtained width is not consistent with the experimental values. This suggests that the $ N \bar{K}^{*} $ state needs to mix with three-quark components to better explain the experimental $ \Sigma(1750) $ and $ \Sigma(1900) $ states. According to our decay width calculations, the predicted two resonance states are primarily composed of $ \Sigma \pi $ and $ N \bar{K} $, with their main decay channel being $ \Lambda \pi $. Therefore, we encourage experimental groups to search for the predicted two-pole structure of the $ \Sigma(1/2^-) $ system in the invariant mass spectrum of $ \Lambda \pi $.
2026, 50(2): 023108. doi: 10.1088/1674-1137/ae15ee
Abstract:
We study a three-loop induced neutrino mass scenario from a non-holomorphic modular A4 flavor symmetry and obtain the minimum scenario leading to predictions of the lepton masses, mixing angles, and Dirac and Majorana phases, which are shown through chi square analyses. In addition, we discuss the lepton flavor violations, muon anomalous magnetic moment, lepton universality, and relic density of the dark matter candidate. Moreover, we show that our model can be extended to satisfy the observed relic density of dark matter within the limit of perturbation by adding one singlet scalar boson without changing predictions in the neutrino sector.
We study a three-loop induced neutrino mass scenario from a non-holomorphic modular A4 flavor symmetry and obtain the minimum scenario leading to predictions of the lepton masses, mixing angles, and Dirac and Majorana phases, which are shown through chi square analyses. In addition, we discuss the lepton flavor violations, muon anomalous magnetic moment, lepton universality, and relic density of the dark matter candidate. Moreover, we show that our model can be extended to satisfy the observed relic density of dark matter within the limit of perturbation by adding one singlet scalar boson without changing predictions in the neutrino sector.
2026, 50(2): 023113. doi: 10.1088/1674-1137/ae144d
Abstract:
We construct a formalism that describes the resonances decaying into four pseudoscalar meson final states. This method is fully covariant and can be directly applied to the partial-wave analysis of high statistical data. Two topologies of the process are considered: two intermediate resonances, each decaying into two final mesons, and cascade decay via three meson intermediate states. In particular, we consider the production of such states in the central collision reactions and in radiative $J/\Psi$ decay.
We construct a formalism that describes the resonances decaying into four pseudoscalar meson final states. This method is fully covariant and can be directly applied to the partial-wave analysis of high statistical data. Two topologies of the process are considered: two intermediate resonances, each decaying into two final mesons, and cascade decay via three meson intermediate states. In particular, we consider the production of such states in the central collision reactions and in radiative $J/\Psi$ decay.
2026, 50(2): 023110. doi: 10.1088/1674-1137/ae1373
Abstract:
The decay of the Higgs boson and the nature of dark matter remain fundamental challenges in particle physics. We investigate the 95 GeV diphoton excess and dark matter within the framework of the triplet-extended minimal supersymmetric standard model (TMSSM). In this model, an additional hypercharge $ Y=0 $, $ S U(2)_L $ triplet superfield is introduced. Mixing between the triplet and doublet Higgs states enhances the diphoton signal strength of the 95 GeV Higgs boson, resulting in $ \mu_{\gamma\gamma}^{{\rm{CMS+ATLAS}}} = 0.24_{-0.08}^{+0.09} $, which is consistent with experimental observations. This enhancement arises primarily from charged Higgs and chargino loop contributions, together with an LEP excess in the $ Zb\bar{b} $ channel around the same mass within the $ 2\sigma $ range. Additionally, the model accommodates viable dark matter candidates in the form of a bino-dominated neutralino. The relic density is reduced to the observed value through resonance-enhanced annihilation via the Higgs portal or co-annihilation with the triplino or higgsino. This reduction remains consistent with constraints from direct and indirect detection experiments. A comprehensive parameter scan demonstrates that the TMSSM can simultaneously explain the 95 GeV diphoton excess, observed 125 GeV Higgs mass, and dark matter relic density, establishing a compelling and theoretically consistent framework.
The decay of the Higgs boson and the nature of dark matter remain fundamental challenges in particle physics. We investigate the 95 GeV diphoton excess and dark matter within the framework of the triplet-extended minimal supersymmetric standard model (TMSSM). In this model, an additional hypercharge $ Y=0 $, $ S U(2)_L $ triplet superfield is introduced. Mixing between the triplet and doublet Higgs states enhances the diphoton signal strength of the 95 GeV Higgs boson, resulting in $ \mu_{\gamma\gamma}^{{\rm{CMS+ATLAS}}} = 0.24_{-0.08}^{+0.09} $, which is consistent with experimental observations. This enhancement arises primarily from charged Higgs and chargino loop contributions, together with an LEP excess in the $ Zb\bar{b} $ channel around the same mass within the $ 2\sigma $ range. Additionally, the model accommodates viable dark matter candidates in the form of a bino-dominated neutralino. The relic density is reduced to the observed value through resonance-enhanced annihilation via the Higgs portal or co-annihilation with the triplino or higgsino. This reduction remains consistent with constraints from direct and indirect detection experiments. A comprehensive parameter scan demonstrates that the TMSSM can simultaneously explain the 95 GeV diphoton excess, observed 125 GeV Higgs mass, and dark matter relic density, establishing a compelling and theoretically consistent framework.
2026, 50(2): 023106. doi: 10.1088/1674-1137/ae1197
Abstract:
An SU(3) flavor projection operator technique is implemented to construct the baryon-meson scattering amplitude within the framework of the $1/N_c$ expansion of quantum chromodynamics (QCD), where $N_c$ represents the number of color charges. The operator technique is implemented to evaluate not only the lowest-order scattering amplitude but also effects from the first-order perturbative SU(3) flavor symmetry breaking and strong isospin breaking. The most general expression is obtained by explicitly accounting for the effects of the decuplet-octet baryon mass difference. At order ${\cal{O}}(1/N_c^2)$, a large number of unknown operator coefficients appear, and therefore, there is little additional predictive power unless leading and subleading terms are retained. Although the resultant expression is sufficiently general that it can be applied to any incoming and outgoing baryons and pseudo scalar mesons, provided that the Gell-Mann--Nishijima scheme is respected, results for $N\pi\to N\pi$ scattering processes are explicitly considered.
An SU(3) flavor projection operator technique is implemented to construct the baryon-meson scattering amplitude within the framework of the $1/N_c$ expansion of quantum chromodynamics (QCD), where $N_c$ represents the number of color charges. The operator technique is implemented to evaluate not only the lowest-order scattering amplitude but also effects from the first-order perturbative SU(3) flavor symmetry breaking and strong isospin breaking. The most general expression is obtained by explicitly accounting for the effects of the decuplet-octet baryon mass difference. At order ${\cal{O}}(1/N_c^2)$, a large number of unknown operator coefficients appear, and therefore, there is little additional predictive power unless leading and subleading terms are retained. Although the resultant expression is sufficiently general that it can be applied to any incoming and outgoing baryons and pseudo scalar mesons, provided that the Gell-Mann--Nishijima scheme is respected, results for $N\pi\to N\pi$ scattering processes are explicitly considered.
2026, 50(2): 022002. doi: 10.1088/1674-1137/ae1187
Abstract:
The charmed baryon was first observed experimentally in 1975, one year after the charm quark's confirmation via the discovery of the $ J/\psi $ particle. Studying charmed baryon decays provides a pathway to investigate both strong and weak interactions, leveraging the weak decays of the embedded charm quark. However, for approximately three decades following its discovery, experimental knowledge of charmed baryons remained significantly limited compared to those of the hidden-charm ψ mesons and open-charm $ D_{(s)} $ mesons. This situation changed markedly starting in 2014, when dedicated data collection for charmed baryons commenced at BESIII. In this article, we review the experimental progress achieved since 2014 in understanding the weak decays of the charmed baryons.
The charmed baryon was first observed experimentally in 1975, one year after the charm quark's confirmation via the discovery of the $ J/\psi $ particle. Studying charmed baryon decays provides a pathway to investigate both strong and weak interactions, leveraging the weak decays of the embedded charm quark. However, for approximately three decades following its discovery, experimental knowledge of charmed baryons remained significantly limited compared to those of the hidden-charm ψ mesons and open-charm $ D_{(s)} $ mesons. This situation changed markedly starting in 2014, when dedicated data collection for charmed baryons commenced at BESIII. In this article, we review the experimental progress achieved since 2014 in understanding the weak decays of the charmed baryons.
ISSN 1674-1137 CN 11-5641/O4
Original research articles, Ietters and reviews Covering theory and experiments in the fieids of
- Particle physics
- Nuclear physics
- Particle and nuclear astrophysics
- Cosmology
Author benefits
- A SCOAP3 participating journal - free Open Access publication for qualifying articles
- Average 24 days to first decision
- Fast-track publication for selected articles
- Subscriptions at over 3000 institutions worldwide
- Free English editing on all accepted articles
News
- CPC Announces 2025 Outstanding Reviewers
- Chinese Physics C Outstanding Reviewer Award 2023
- Impact factor of Chinese Physics C is 3.6 in 2022
- 2022 CPC Outstanding Reviewer Awards
- The 2023 Chinese New Year-Office closure
Cover Story
- Cover Story (Issue 11, 2025) The Earth-Magnet Assists DAMPE in Studying Cosmic Anti-Electrons
- Cover Story (Issue 9, 2025): Precise measurement of Ïc0 resonance parameters and branching fractions of Ïc0,c2âÏï¼Ïï¼/ K+K-
- Cover Story (Issue 8, 2025) A Novel Perspective on Spacetime Perturbations: Bridging Riemannian and Teleparallel Frameworks
- Cover Story (Issue 7, 2025) Evidence of the negative parity linear chain states in 16C
- Cover Story (Issue 1, 2025) Comments on Prediction of Energy Resolution inthe JUNO Experiment










