2026 Vol. 50, No. 4
Display Method: |
2026, 50(4): 043001. doi: 10.1088/1674-1137/ae3dc1
Abstract:
The Jiangmen Underground Neutrino Observatory (JUNO) started physics data taking on 26 August 2025. JUNO consists of a 20-kton liquid scintillator central detector, surrounded by a 35 kton water pool serving as a Cherenkov veto, and almost 1000 m2 of plastic scintillator veto on top. The detector is located in a shallow underground laboratory with an overburden of 1800 m.w.e. This paper presents the performance results of the detector, extensively studied during the commissioning of the water phase, the subsequent liquid scintillator filling phase, and the first physics runs. The liquid scintillator achieved an attenuation length of 20.6 m at 430 nm, while the high coverage PMT system and scintillator together yielded about 1785 photoelectrons per MeV of energy deposit at the detector centre, measured using the 2.223 MeV γ from neutron captures on hydrogen with an Am-C calibration source. The reconstructed energy resolution is 3.4% for two 0.511 MeV γ at the detector centre and 2.9% for the 0.93 MeV quenched 214Po alpha decays from natural radioactive sources. The energy non-linearity is calibrated to better than 1%. Intrinsic contaminations of 238U and 232Th in the liquid scintillator are below 10-16 g/g, assuming secular equilibrium. The water Cherenkov detector achieves a muon detection efficiency better than 99.9% for muons traversing the liquid scintillator volume. During the initial science runs, the data acquisition duty cycle exceeded 97.8%, demonstrating the excellent stability and readiness of JUNO for high-precision neutrino physics.
The Jiangmen Underground Neutrino Observatory (JUNO) started physics data taking on 26 August 2025. JUNO consists of a 20-kton liquid scintillator central detector, surrounded by a 35 kton water pool serving as a Cherenkov veto, and almost 1000 m2 of plastic scintillator veto on top. The detector is located in a shallow underground laboratory with an overburden of 1800 m.w.e. This paper presents the performance results of the detector, extensively studied during the commissioning of the water phase, the subsequent liquid scintillator filling phase, and the first physics runs. The liquid scintillator achieved an attenuation length of 20.6 m at 430 nm, while the high coverage PMT system and scintillator together yielded about 1785 photoelectrons per MeV of energy deposit at the detector centre, measured using the 2.223 MeV γ from neutron captures on hydrogen with an Am-C calibration source. The reconstructed energy resolution is 3.4% for two 0.511 MeV γ at the detector centre and 2.9% for the 0.93 MeV quenched 214Po alpha decays from natural radioactive sources. The energy non-linearity is calibrated to better than 1%. Intrinsic contaminations of 238U and 232Th in the liquid scintillator are below 10-16 g/g, assuming secular equilibrium. The water Cherenkov detector achieves a muon detection efficiency better than 99.9% for muons traversing the liquid scintillator volume. During the initial science runs, the data acquisition duty cycle exceeded 97.8%, demonstrating the excellent stability and readiness of JUNO for high-precision neutrino physics.
2026, 50(4): 043101. doi: 10.1088/1674-1137/ae2b5e
Abstract:
We investigate the collider signatures of a maximally flavor-violating\begin{document}$ U(1)_{L_\mu-L_\tau} $\end{document} model, where a new gauge boson \begin{document}$ Z^\prime $\end{document} and scalar triplets induce lepton flavor-changing interactions in the μ-τ sector. Focusing on four-lepton final states at multi-TeV lepton colliders, we conduct a detailed analysis of cross sections, asymmetries, and polarization effects. We show that the signal cross section is highly sensitive to \begin{document}$ m_{Z^\prime} $\end{document} and the effective parameters \begin{document}$ \tilde{g}/m_{Z^\prime} $\end{document} , whereas it remains largely insensitive to the triplet Yukawa couplings within the phenomenologically allowed region. The forward-backward asymmetry exhibits a characteristic monotonic dependence on \begin{document}$ m_{Z^\prime} $\end{document} , and beam polarization can significantly suppress the Standard Model backgrounds while enhancing new physics contributions. We find that, in the phenomenologically allowed parameter space, the predicted observables remain highly sensitive to the underlying model parameters. These results show that multi-lepton final states are powerful probes of the \begin{document}$ U(1)_{L\mu - L_\tau} $\end{document} framework and can offer valuable guidance for future searches at muon and electron-positron colliders.
We investigate the collider signatures of a maximally flavor-violating
2026, 50(4): 043102. doi: 10.1088/1674-1137/ae2f51
Abstract:
We investigated the effect of an isospin chemical potential (\begin{document}$ \mu_{I} $\end{document} ) within the quark-meson model, which approximates quantum chromodynamics (QCD) by modeling low-energy phenomena such as chiral symmetry breaking and phase structure under varying conditions of temperature and chemical potential. Using the functional renormalization group (FRG) flow equations, we calculated the phase diagram in the chiral limit within the two-flavor quark-meson model in a finite \begin{document}$ \mu_{I} $\end{document} with ρ vector meson interactions. Fluctuation effects significantly decrease the critical chemical potential from the mean-field (MF) value \begin{document}$\mu_{I,{\rm MF}} \gt m_\rho$\end{document} to a lower value at which the ρ vector meson condensates alongside the chiral condensate once the isospin chemical potential exceeds the critical value \begin{document}$ \mu_{I}^{{\rm{crit}}} $\end{document} . This ρ condensation was investigated numerically for different meson coupling strengths. The ρ meson dominated region is delineated from other phases by a second-order phase transition at lower \begin{document}$ \mu_{I} $\end{document} and a first-order transition at slightly higher \begin{document}$ \mu_{I} $\end{document} .
We investigated the effect of an isospin chemical potential (
2026, 50(4): 043103. doi: 10.1088/1674-1137/ae2f52
Abstract:
Small neutrino masses can be generated through the well-known seesaw mechanisms, among which the type-II scenario predicts a triplet scalar with doubly charged components. Except for the Drell-Yan production at the Large Hadron Collider (LHC), the doubly charged scalars\begin{document}$\Delta^{\pm\pm}$\end{document} can also be produced through photon fusion along with the ultraperipheral collision of protons, from which the outgoing protons can be detected by forward detectors at the LHC, providing a promising means to explore related new physics. We study the pair production through such processes at the 14 TeV LHC, focusing on the final states of \begin{document}$\mu^{+}\mu^{+}\mu^{-}\mu^{-}$\end{document} and \begin{document}$e^{+}e^{+}e^{-}e^{-}$\end{document} under the normal hierarchy (NH) and inverted hierarchy (IH) of the neutrino mass spectra, respectively. Promising sensitivity can be reached via our proposed search strategy. At a luminosity of 36.1 fb-1(100 fb\begin{document}$^{-1}$\end{document} ), \begin{document}$m_{\Delta}\sim430(520)$\end{document} GeV can be excluded at 95% C.L. under the NH via \begin{document}$\mu^{+}\mu^{+}\mu^{-}\mu^{-}$\end{document} state searching, while the mass bound can be extended to 730(880) GeV under the IH via \begin{document}$e^{+}e^{+}e^{-}e^{-}$\end{document} states. The exclusion limits on \begin{document}$m_{\Delta}$\end{document} can be improved up to 1 TeV and even higher with integrated luminosity accumulated to 3 ab\begin{document}$^{-1}$\end{document} .
Small neutrino masses can be generated through the well-known seesaw mechanisms, among which the type-II scenario predicts a triplet scalar with doubly charged components. Except for the Drell-Yan production at the Large Hadron Collider (LHC), the doubly charged scalars
2026, 50(4): 043104. doi: 10.1088/1674-1137/ae2fc8
Abstract:
In this paper, we systematically explore the mass spectrum of fully strange tetraquark candidates within the framework of QCD sum rules, focusing on states with quantum numbers\begin{document}$ J^{PC}=0^{++} $\end{document} , \begin{document}$ 0^{-+} $\end{document} , \begin{document}$ 0^{--} $\end{document} , \begin{document}$ 1^{--} $\end{document} , \begin{document}$ 1^{+-} $\end{document} , and \begin{document}$ 1^{++} $\end{document} . The analysis reveals the existence of fully strange tetraquark states with masses ranging from approximately \begin{document}$ 2.07 $\end{document} to \begin{document}$ 3.12 $\end{document} GeV. These predictions are compared with existing experimental observations of potential fully strange tetraquark resonances, notably the \begin{document}$ X(2300) $\end{document} recently reported by the BESIII Collaboration, which may be interpreted as a fully strange tetraquark state. Furthermore, the possible decay modes of these fully strange tetraquark states are analyzed, providing guidance for their identification in current and future high-energy experiments, such as BESIII, Belle II, and LHCb.
In this paper, we systematically explore the mass spectrum of fully strange tetraquark candidates within the framework of QCD sum rules, focusing on states with quantum numbers
2026, 50(4): 043105. doi: 10.1088/1674-1137/ae3130
Abstract:
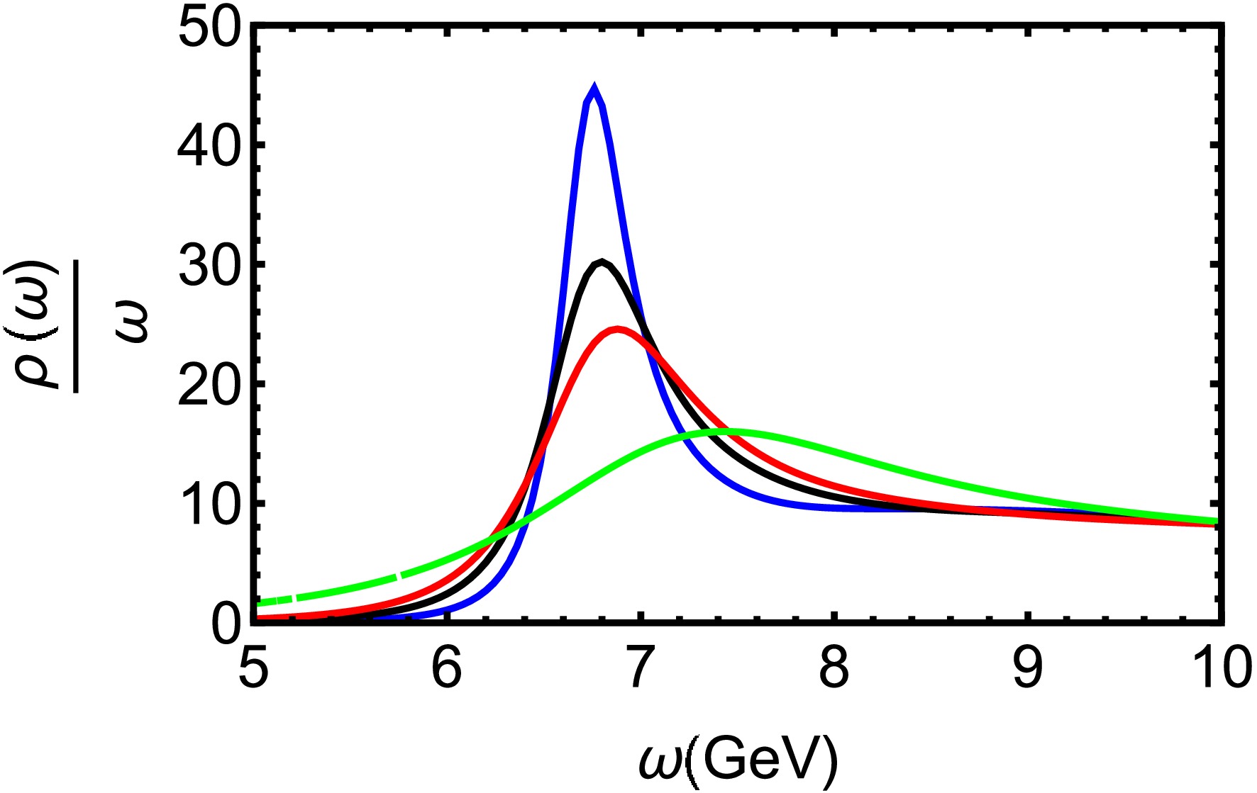
In this work, we study the dissociation of heavy quarkonium from a data-driven holographic QCD model. The model parameters were optimized using machine learning, which successfully reproduced lattice QCD data. Subsequently, we explore the spectral function for charmonium and bottomonium at finite temperature and baryon chemical potential, focusing on the behavior of the 1S and 2S states. Our results show that increasing the temperature or chemical potential strongly suppresses the quasiparticle peaks, with the 2S state dissolving earlier than the 1S ground state. The charmonium 2S state melts completely around\begin{document}$ 1.64T_c $\end{document} (\begin{document}$ T_c $\end{document} is the critical temperature), whereas the bottomonium 2S state disappears near \begin{document}$ 2.42T_c $\end{document} . \begin{document}$ J/\Psi $\end{document} nearly vanishes at \begin{document}$ 3.52T_c $\end{document} , and the \begin{document}$ \Upsilon(1S) $\end{document} state melts completely around \begin{document}$ 4.30T_c $\end{document} . The results correspond with lattice QCD predictions and demonstrate the effectiveness of data-driven holographic models in understanding hard probes in the quark-gluon plasma.
In this work, we study the dissociation of heavy quarkonium from a data-driven holographic QCD model. The model parameters were optimized using machine learning, which successfully reproduced lattice QCD data. Subsequently, we explore the spectral function for charmonium and bottomonium at finite temperature and baryon chemical potential, focusing on the behavior of the 1S and 2S states. Our results show that increasing the temperature or chemical potential strongly suppresses the quasiparticle peaks, with the 2S state dissolving earlier than the 1S ground state. The charmonium 2S state melts completely around
2026, 50(4): 043106. doi: 10.1088/1674-1137/ae3602
Abstract:
In this study, we investigate the possibility of enhancing the di-jet resonance searches by tagging the final state radiation (FSR) jet using an event-level deep neural network. It is found that solely relying on the 4-momenta of the leading three jets allows the algorithm to achieve good discriminating power that can identify the hardest FSR jet in the signal while rejecting other soft jets. Once the invariant mass is corrected with the tagged FSR jet, the mass resolution of the signal is greatly enhanced, and the sensitivity of the search is also improved by more than 10%. By crafting the input variables carefully, the algorithm introduces minimal mass sculpting for the background, and its applicability extends to a broad mass range. This work proves that FSR jet tagging can potentially enhance di-jet resonance searches, suiting various stages of the physics programmes at the Large Hadron Collider (LHC) and High-Luminosity LHC (HL-LHC).
In this study, we investigate the possibility of enhancing the di-jet resonance searches by tagging the final state radiation (FSR) jet using an event-level deep neural network. It is found that solely relying on the 4-momenta of the leading three jets allows the algorithm to achieve good discriminating power that can identify the hardest FSR jet in the signal while rejecting other soft jets. Once the invariant mass is corrected with the tagged FSR jet, the mass resolution of the signal is greatly enhanced, and the sensitivity of the search is also improved by more than 10%. By crafting the input variables carefully, the algorithm introduces minimal mass sculpting for the background, and its applicability extends to a broad mass range. This work proves that FSR jet tagging can potentially enhance di-jet resonance searches, suiting various stages of the physics programmes at the Large Hadron Collider (LHC) and High-Luminosity LHC (HL-LHC).
2026, 50(4): 043107. doi: 10.1088/1674-1137/ae37f0
Abstract:
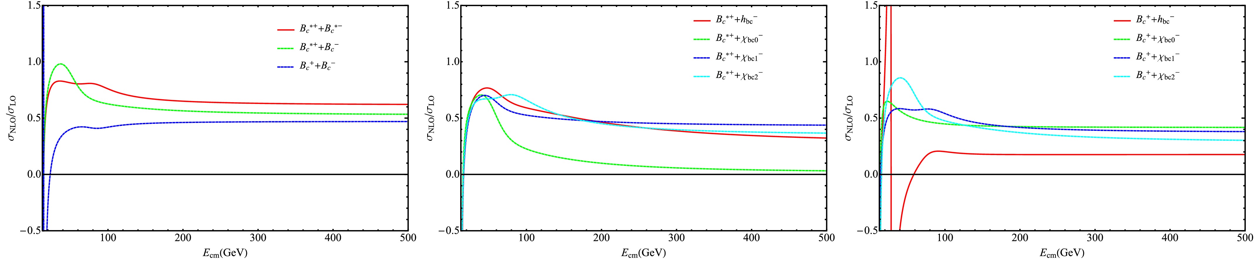
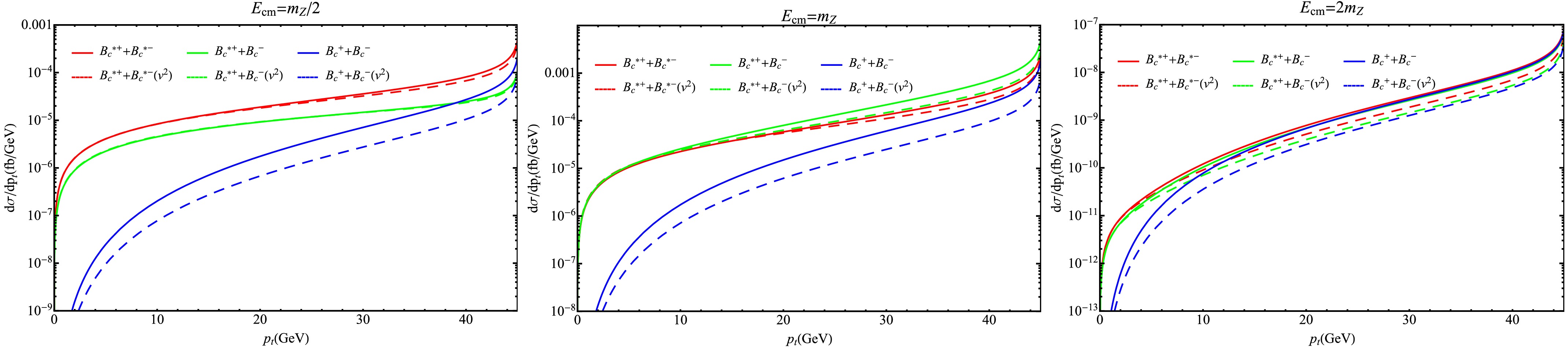
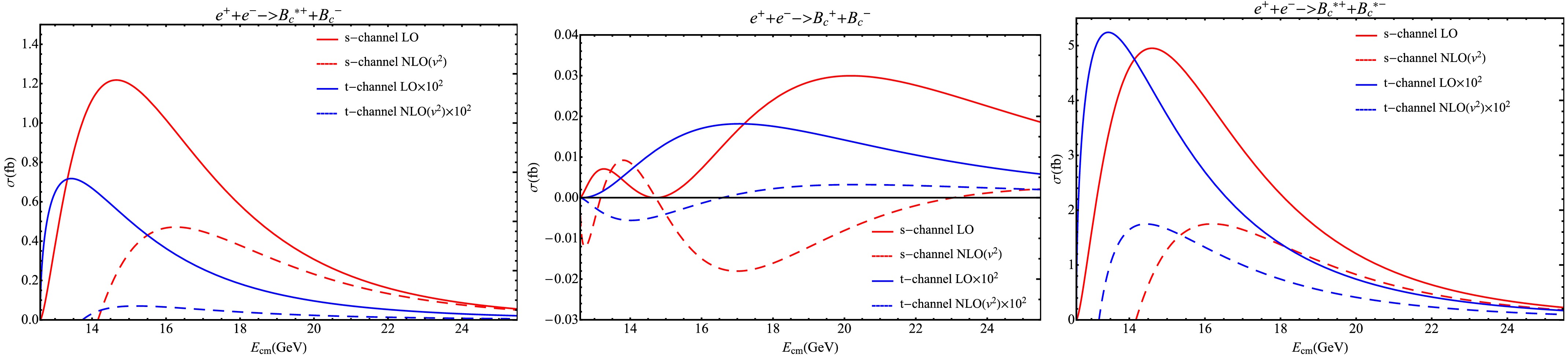
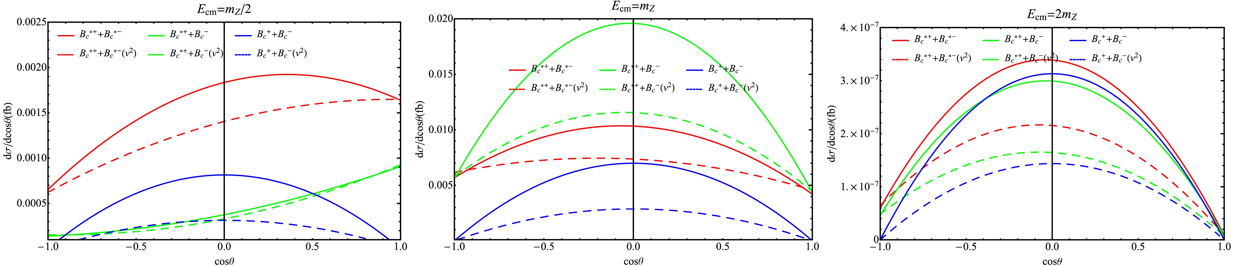
Within the framework of nonrelativistic quantum chronodynamics factorization, we investigate relativistic corrections to the production of a pair of\begin{document}$ B_c $\end{document} family mesons in \begin{document}$ e^+e^- $\end{document} annihilation. The study covers center-of-mass energies from the production threshold up to \begin{document}$ 2\;m_Z $\end{document} , considering both the photon and \begin{document}$ Z^0 $\end{document} -boson propagated processes. We find that the relativistic corrections are significant, with the corresponding K factors of approximately 0.6. The azimuthal asymmetry, angular distribution, and transverse momentum distribution are also presented.
Within the framework of nonrelativistic quantum chronodynamics factorization, we investigate relativistic corrections to the production of a pair of
2026, 50(4): 043108. doi: 10.1088/1674-1137/ae3b37
Abstract:
The\begin{document}$ e^+e^- $\end{document} annihilation of unpolarized beams is free from initial hadron states or initial anisotropy around the azimuthal angle. Hence, it is ideal for studying the correlations of dynamical origin via final state jets. We investigate the planar properties of multi-jet events employing the relevant event-shape observables at next-to-next-to-leading order (\begin{document}$ {\cal{O}} $\end{document} (\begin{document}$ \alpha_{s}^{3} $\end{document} )) in perturbative Quantum Chromodynamics (QCD). In particular, the azimuthal angle correlations on the long pseudo-rapidity (polar angle) range (Ridge correlation) between the inclusive jet momenta are calculated. We demonstrate that the significant planar properties and the strong correlations as the consequence are natural results of the energy-momentum conservation of the perturbative QCD radiation dynamics. Our study provides benchmarks of a hard strong interaction background for investigating the collective and/or thermal effects via the Ridge-like correlation observables for various scattering processes.
The
2026, 50(4): 043109. doi: 10.1088/1674-1137/acda85
Abstract:
We investigate the bound-state equations (BSEs) in two-dimensional QCD in the\begin{document}$ N_{\rm{c}}\to \infty$\end{document} limit, viewed from both the infinite momentum frame (IMF) and the finite momentum frame (FMF). The BSE of a meson in the original 't Hooft model, viz., spinor QCD2 containing only fermionc quarks, has been extensively studied in literature. In this work, we focus on the BSEs pertaining to two types of ''exotic'' hadrons, a ''tetraquark'' which is composed of a bosonic quark and bosonic antiquark, and a ''baryon'' which is composed of a bosonic antiquark and a fermionic quark. Utilizing the Hamiltonian approach, we derive the corresponding BSEs for both types of ''exotic'' hadrons, from the perspectives of the light-front and equal-time quantization, and confirm the known results. The recently available BSEs for ''tetraquark'' in FMF has also been recovered with the aid of the diagrammatic approach. For the first time we also present the BSEs of a ''baryon'' in FMF in the extended 't Hooft model. By solving various BSEs numerically, we obtain the mass spectra pertaining to ''tetraquark'' and ''baryon'' and the corresponding bound-state wave functions of the lowest-lying states. It is numerically demonstrated that, when a ''tetraquark'' or ''baryon'' is continuously boosted, the forward-moving component of the bound-state wave function approaches the corresponding light-cone wave function, while the backward-moving component fades away.
We investigate the bound-state equations (BSEs) in two-dimensional QCD in the
2026, 50(4): 044001. doi: 10.1088/1674-1137/ae3601
Abstract:
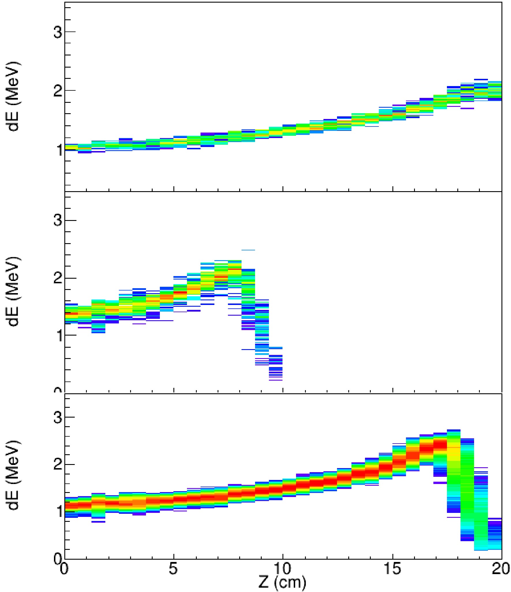
The cross section of the 82Kr(n, p)82Br reaction induced by d-T neutrons was measured using the activation method. Incident neutrons are generated through the 3H(d, n)4He reaction. High-purity natural krypton gas held at high pressure was used as the target sample. The neutron energy and its uncertainty were determined based on the Q-value equation of the 3H(d, n)4He reaction and the experimental conditions. The neutron fluence incident on the sample is monitored by the 27Al(n, α)24Na reaction. The eight characteristic gamma rays of the 82Br daughter nucleus were selected to determine its activity by off-line gamma spectrometry using an HPGe detector. The 82Kr(n, p)82Br reaction cross sections with lower uncertainties were finally determined at five neutron energies by the weighted method. The measured cross sections were compared with previous experimental studies, theoretical values from Talys-2.0, calculation results from the systematics (empirical and semi-empirical) formulas, and evaluation results. The present high-precision cross sections for the 82Kr(n, p)82Br reaction over a wide energy range not only help to validate and evaluate nuclear reaction models, but also substantially enrich the neutron-induced nuclear reaction cross sections database.
The cross section of the 82Kr(n, p)82Br reaction induced by d-T neutrons was measured using the activation method. Incident neutrons are generated through the 3H(d, n)4He reaction. High-purity natural krypton gas held at high pressure was used as the target sample. The neutron energy and its uncertainty were determined based on the Q-value equation of the 3H(d, n)4He reaction and the experimental conditions. The neutron fluence incident on the sample is monitored by the 27Al(n, α)24Na reaction. The eight characteristic gamma rays of the 82Br daughter nucleus were selected to determine its activity by off-line gamma spectrometry using an HPGe detector. The 82Kr(n, p)82Br reaction cross sections with lower uncertainties were finally determined at five neutron energies by the weighted method. The measured cross sections were compared with previous experimental studies, theoretical values from Talys-2.0, calculation results from the systematics (empirical and semi-empirical) formulas, and evaluation results. The present high-precision cross sections for the 82Kr(n, p)82Br reaction over a wide energy range not only help to validate and evaluate nuclear reaction models, but also substantially enrich the neutron-induced nuclear reaction cross sections database.
2026, 50(4): 044002. doi: 10.1088/1674-1137/ae2f57
Abstract:
The cross-sections of 39K(n, p)39Ar at an energy of 2–3 MeV play an important role in nuclear structure research and 40Ar/39Ar geochronology application. Due to the limitations of n-3He coincidence technology and counting instruments, the data in literature are from before 1967, and existing data are scarce and significantly diverge. Meanwhile, there are large discrepancies between the measured and evaluation results. By taking advantage of the high sensitivity and resolution of the noble gas mass spectrometer at the Institute of Geology and Geophysics, Chinese Academy of Sciences (IGGCAS), the cross-sections of 39K(n, p)39Ar were measured by combining neutron activity analysis and noble gas mass spectrometry, and the uncertainties are discussed in detail. The cross-sections of 39K(n, p)39Ar were measured as 103.84 ± 16.33, 109.76 ± 15.88, and 150.27 ± 24.19 mb at 2.56 ± 0.08, 2.69 ± 0.08, and 2.96 ± 0.12 MeV energies, respectively. The measured data filled the data gaps and provided more accurate data support for 40Ar/39Ar dating. Furthermore, the theoretical excitation function of 39K(n, p)39Ar was calculated using TALYS-1.97 computer codes. Then, the experimentally determined cross-sections were analyzed by comparing them with the data from the EXFOR database and evaluated nuclear data in ENDF/B-VIII.0, JEFF-3.2, TENDL-2021, BROND-3.1, and JENDL-5 databases. According to the comparative results, the measured cross-sections of 39K(n, p)39Ar exhibit a rapid energy-dependent increase between 2–3 MeV, aligning with higher literature values and resolving previous discrepancies. Compared with the previously reported data, the precision of the determined cross-sections in this study showed considerable improvement. The comparison of measured data indicates that the combined detection method of neutron activity analysis and noble gas mass spectrometry techniques is suitable for measuring the cross-sections of nuclear reactions with long-lived product nuclei and the application of 40Ar/39Ar geochronology with a D-D neutron source.
The cross-sections of 39K(n, p)39Ar at an energy of 2–3 MeV play an important role in nuclear structure research and 40Ar/39Ar geochronology application. Due to the limitations of n-3He coincidence technology and counting instruments, the data in literature are from before 1967, and existing data are scarce and significantly diverge. Meanwhile, there are large discrepancies between the measured and evaluation results. By taking advantage of the high sensitivity and resolution of the noble gas mass spectrometer at the Institute of Geology and Geophysics, Chinese Academy of Sciences (IGGCAS), the cross-sections of 39K(n, p)39Ar were measured by combining neutron activity analysis and noble gas mass spectrometry, and the uncertainties are discussed in detail. The cross-sections of 39K(n, p)39Ar were measured as 103.84 ± 16.33, 109.76 ± 15.88, and 150.27 ± 24.19 mb at 2.56 ± 0.08, 2.69 ± 0.08, and 2.96 ± 0.12 MeV energies, respectively. The measured data filled the data gaps and provided more accurate data support for 40Ar/39Ar dating. Furthermore, the theoretical excitation function of 39K(n, p)39Ar was calculated using TALYS-1.97 computer codes. Then, the experimentally determined cross-sections were analyzed by comparing them with the data from the EXFOR database and evaluated nuclear data in ENDF/B-VIII.0, JEFF-3.2, TENDL-2021, BROND-3.1, and JENDL-5 databases. According to the comparative results, the measured cross-sections of 39K(n, p)39Ar exhibit a rapid energy-dependent increase between 2–3 MeV, aligning with higher literature values and resolving previous discrepancies. Compared with the previously reported data, the precision of the determined cross-sections in this study showed considerable improvement. The comparison of measured data indicates that the combined detection method of neutron activity analysis and noble gas mass spectrometry techniques is suitable for measuring the cross-sections of nuclear reactions with long-lived product nuclei and the application of 40Ar/39Ar geochronology with a D-D neutron source.
Production of medical radioisotopes 51Cr, 62,64Cu, and 99mTc by laser-induced photonuclear reactions
2026, 50(4): 044003. doi: 10.1088/1674-1137/ae32fa
Abstract:
Laser-driven bremsstrahlung photon sources offer a promising approach to producing medical radioisotopes by photonuclear reactions. In this work, we report new activation measurements of natCr, natCu, and natRu using laser-driven bremsstrahlung at Peking University’s Compact Laser Plasma Accelerator laboratory. The 200 TW laser was utilized with a 0.2 Hz repetition frequency. Activities of 2.27 Bq for 51Cr, 5110 Bq for 62Cu, 53.9 Bq for 64Cu, and 16.4 Bq for 99mTc are achieved after irradiation for 20−30 min, using targets with a thickness of 2 mm. These crucial data, together with dedicated Monte Carlo simulations, enable a realistic evaluation to address the increasing demand in nuclear medicine. It is found that utilizing a repetition frequency of 100 Hz for the 200 TW laser and 10-cm-thick targets can satisfy the clinical diagnostic requirements of a typical activity of MBq for the isotopes of interest.
Laser-driven bremsstrahlung photon sources offer a promising approach to producing medical radioisotopes by photonuclear reactions. In this work, we report new activation measurements of natCr, natCu, and natRu using laser-driven bremsstrahlung at Peking University’s Compact Laser Plasma Accelerator laboratory. The 200 TW laser was utilized with a 0.2 Hz repetition frequency. Activities of 2.27 Bq for 51Cr, 5110 Bq for 62Cu, 53.9 Bq for 64Cu, and 16.4 Bq for 99mTc are achieved after irradiation for 20−30 min, using targets with a thickness of 2 mm. These crucial data, together with dedicated Monte Carlo simulations, enable a realistic evaluation to address the increasing demand in nuclear medicine. It is found that utilizing a repetition frequency of 100 Hz for the 200 TW laser and 10-cm-thick targets can satisfy the clinical diagnostic requirements of a typical activity of MBq for the isotopes of interest.
2026, 50(4): 044004. doi: 10.1088/1674-1137/ae372f
Abstract:
Accurate fission cross section data are essential for nuclear science and engineering. Traditional fission cross section measurements using the fission ionization chamber struggle to satisfy the accuracy requirements. The Time Projection Chamber (TPC) is a potential detector for high accuracy fission cross section measurement based on its track reconstruction and particle identification capacities. Using the Multi-purpose Time Projection Chamber (MTPC) at the China Spallation Neutron Source (CSNS), we have previously measured the cross sections of the 232Th(n, f) reaction based on the mono-energetic neutron source at Peking University (PKU), showing the potential of high accuracy fission cross section measurement. In this study, cross sections of the 235U(n, f) reaction were measured at 43 energies (10 energy bins per magnitude in equal logarithm intervals) and 215 energies (50 energy bins per magnitude in equal logarithm intervals) in the neutron energy range from 0.5 eV to 10 keV using the MTPC based on the CSNS Back-n white neutron source. The results are consistent with the data in the evaluation libraries, showing the reliability of the fission cross section measurement method using the MTPC. The measurement of the fission cross sections using the MTPC is extended from mono-energetic to white neutron sources. This study presents the first cross section results measured by the MTPC based on the CSNS Back-n white neutron source. With a longer beam time in future measurements, the uncertainties of the fission cross sections are expected to be greatly reduced.
Accurate fission cross section data are essential for nuclear science and engineering. Traditional fission cross section measurements using the fission ionization chamber struggle to satisfy the accuracy requirements. The Time Projection Chamber (TPC) is a potential detector for high accuracy fission cross section measurement based on its track reconstruction and particle identification capacities. Using the Multi-purpose Time Projection Chamber (MTPC) at the China Spallation Neutron Source (CSNS), we have previously measured the cross sections of the 232Th(n, f) reaction based on the mono-energetic neutron source at Peking University (PKU), showing the potential of high accuracy fission cross section measurement. In this study, cross sections of the 235U(n, f) reaction were measured at 43 energies (10 energy bins per magnitude in equal logarithm intervals) and 215 energies (50 energy bins per magnitude in equal logarithm intervals) in the neutron energy range from 0.5 eV to 10 keV using the MTPC based on the CSNS Back-n white neutron source. The results are consistent with the data in the evaluation libraries, showing the reliability of the fission cross section measurement method using the MTPC. The measurement of the fission cross sections using the MTPC is extended from mono-energetic to white neutron sources. This study presents the first cross section results measured by the MTPC based on the CSNS Back-n white neutron source. With a longer beam time in future measurements, the uncertainties of the fission cross sections are expected to be greatly reduced.
2026, 50(4): 044005. doi: 10.1088/1674-1137/ae368b
Abstract:
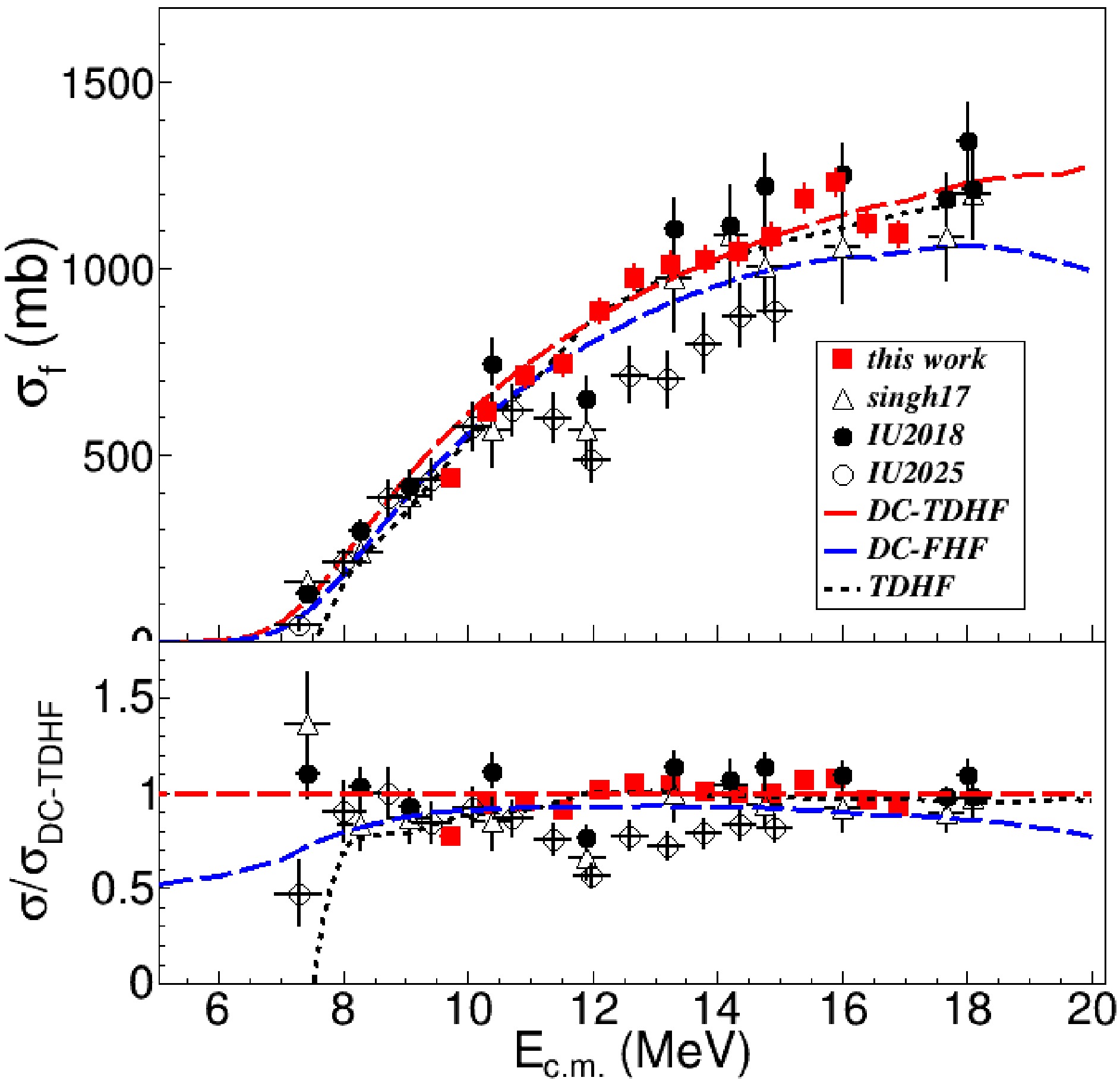
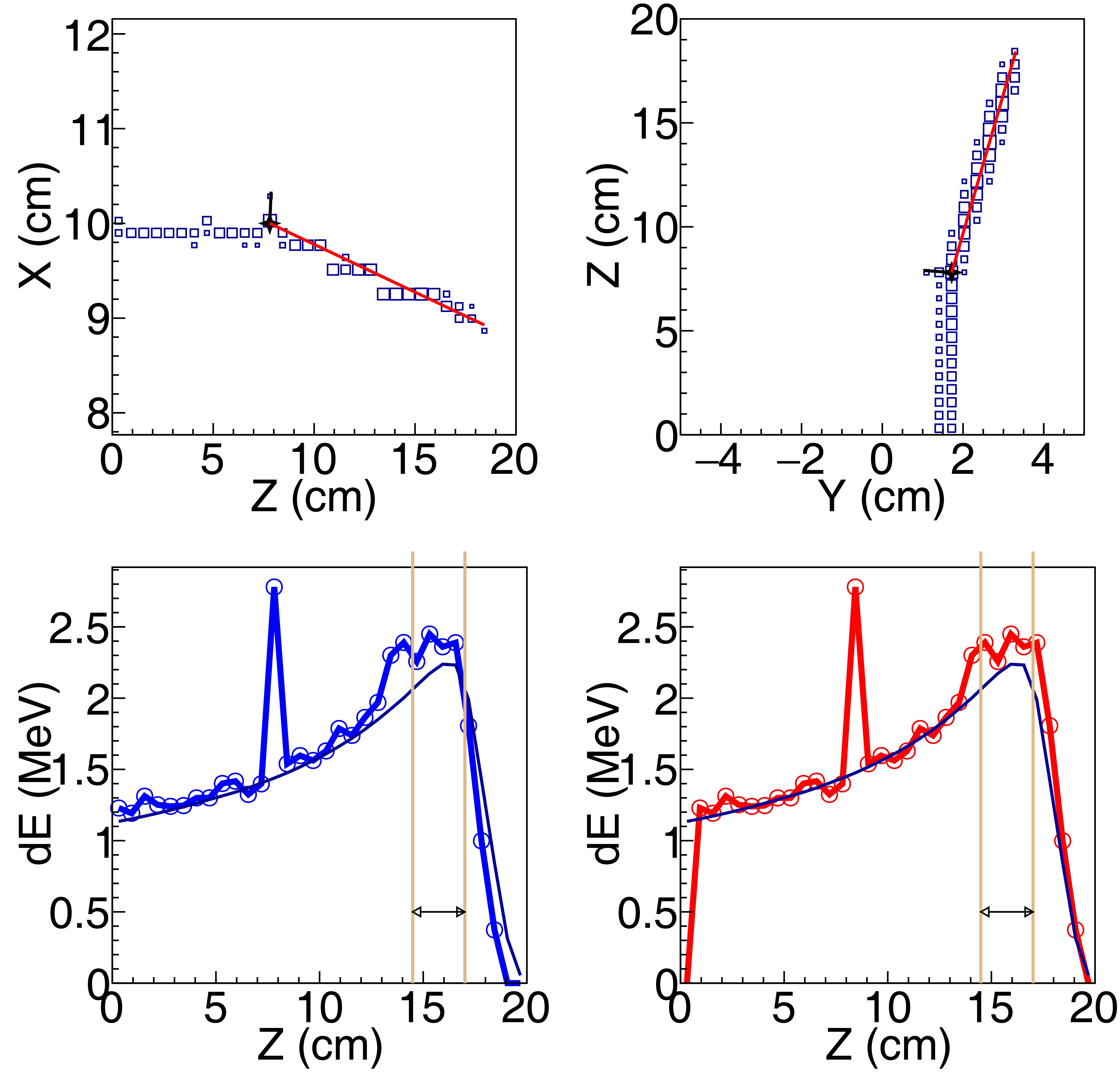
We measured the 19O+12C fusion excitation function using the MATE active-target TPC at IMP for\begin{document}$ 9.7 \leqslant E_{\rm{c.m.}} \leqslant 16.9$\end{document} MeV. The results agree well with DC-TDHF and TDHF predictions, demonstrating the importance of dynamical effects near the barrier, but disagree with earlier MUSIC-based measurements. The 19O+12C system exhibits a maximum fusion cross section consistent with those of β-stable O+C systems. A linear dependence of \begin{document}$ 1/E_{\rm{cr}}$\end{document} and closest-approach distance on oxygen mass number is observed for 17,18,19O+12C, indicating that additional valence neutrons lower the critical energy. V-shaped excitation structures appear for 17O and 19O, and the anomalous suppression previously reported for 17O calls for further experimental and theoretical study.
We measured the 19O+12C fusion excitation function using the MATE active-target TPC at IMP for
2026, 50(4): 044101. doi: 10.1088/1674-1137/ae25cd
Abstract:
Nuclear masses are investigated for the first time using the eXtreme Gradient Boosting (XGBoost) method. Nucleon numbers, valence nucleon numbers, and physical quantities related to the magic number are used as input features for the decision tree, which learns the residuals of experimental binding energies with respect to the Bethe-Weizsäcker (BW2) formula predictions, and the XGBoost method can achieve high accuracy predictions of nuclear binding energy. For nuclear masses of magic number nuclei with prediction challenges, XGBoost can better capture the physical information associated with the magic number compared to that using BW2, and the root mean square deviation of its predicted nuclear mass ranges from 2.769 to 0.732 MeV. Comparing the results of BW2* and XGBoost* with the pseudo-experimental data of Finite-Range Droplet Model (FRDM12) suggests that the XGBoost* method may have better extrapolation abilities.
Nuclear masses are investigated for the first time using the eXtreme Gradient Boosting (XGBoost) method. Nucleon numbers, valence nucleon numbers, and physical quantities related to the magic number are used as input features for the decision tree, which learns the residuals of experimental binding energies with respect to the Bethe-Weizsäcker (BW2) formula predictions, and the XGBoost method can achieve high accuracy predictions of nuclear binding energy. For nuclear masses of magic number nuclei with prediction challenges, XGBoost can better capture the physical information associated with the magic number compared to that using BW2, and the root mean square deviation of its predicted nuclear mass ranges from 2.769 to 0.732 MeV. Comparing the results of BW2* and XGBoost* with the pseudo-experimental data of Finite-Range Droplet Model (FRDM12) suggests that the XGBoost* method may have better extrapolation abilities.
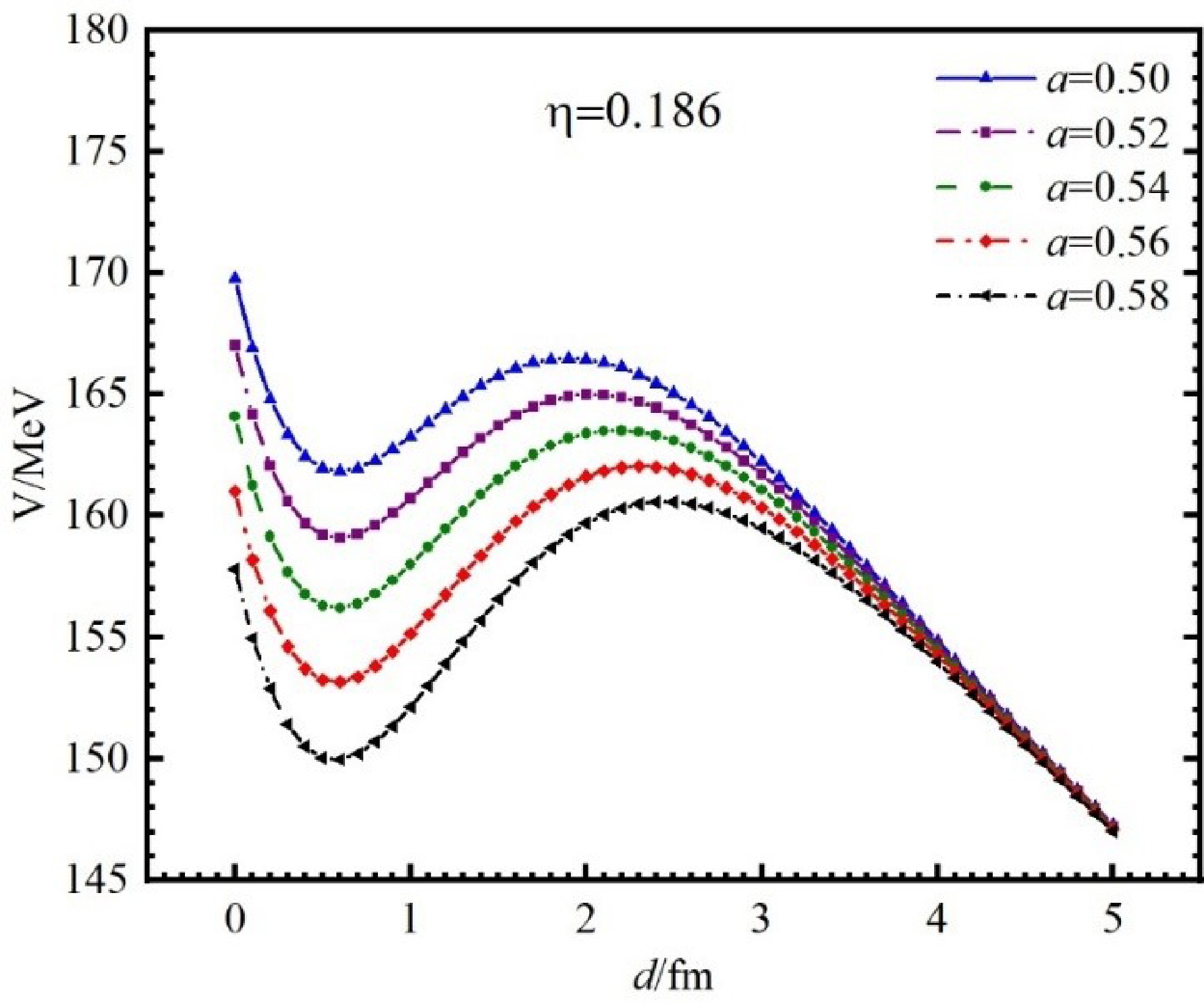
2026, 50(4): 044102. doi: 10.1088/1674-1137/ae2ab1
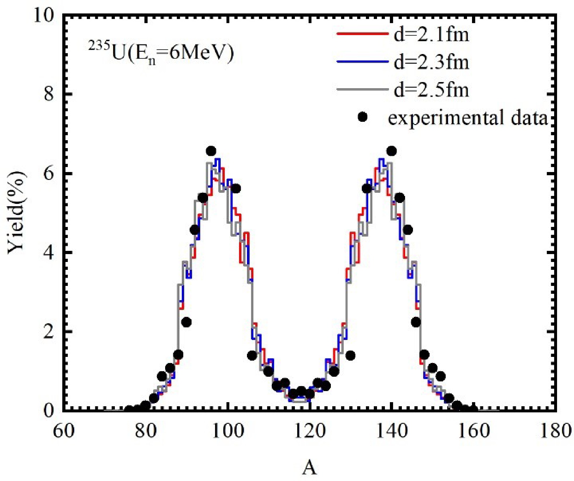
Abstract:
A scission point model with dynamical effects under the assumption of the Smoluchowski limit of strong coupling governs the final mass distribution that is in remarkable agreement with experimental data. This study investigates the sensitivity of mass distribution and mean total kinetic energy to various model components, including the scission point condition, dissipation tensor, and diffuseness width. The results of neutron-induced 235, 238U, 237Np, and 239Pu fission are consistent with the scission point statistical model. In the high-energy region, the calculation results of the dynamical method are in better agreement with the experimental data. This conclusion justifies the validity of using the strong coupling approach for neutron-induced actinides fission.
A scission point model with dynamical effects under the assumption of the Smoluchowski limit of strong coupling governs the final mass distribution that is in remarkable agreement with experimental data. This study investigates the sensitivity of mass distribution and mean total kinetic energy to various model components, including the scission point condition, dissipation tensor, and diffuseness width. The results of neutron-induced 235, 238U, 237Np, and 239Pu fission are consistent with the scission point statistical model. In the high-energy region, the calculation results of the dynamical method are in better agreement with the experimental data. This conclusion justifies the validity of using the strong coupling approach for neutron-induced actinides fission.
2026, 50(4): 044103. doi: 10.1088/1674-1137/ae3119
Abstract:
A phenomenological model is proposed for a systematic description of the spontaneous fission (SF) half-lives\begin{document}$T_{\rm SF}$\end{document} of heavy and super-heavy nuclei. Based on the effective tunneling barrier (ETB), the proposed approach reproduces the SF half-lives of 79 known nuclei with an average deviation of 0.8, which is \begin{document}$17$\end{document} % smaller than that of the linear correlation approach recently proposed in [N. S. Moiseev, N. V. Antonenko, and G. G. Adamian, Phys. Rev. C 112, 034607 (2025)]. For super-heavy nuclei with \begin{document}$45\leqslant N-Z \leqslant 61$\end{document} , the predicted SF half-lives from these two different phenomenological models are in close agreement. The ETB calculations imply that the β-decay energy affects the SF half-lives of nuclei far from the β-stability line. For super-heavy nuclei around the magic number \begin{document}$N=184$\end{document} , the predicted \begin{document}$T_{\rm SF}$\end{document} of \begin{document}$^{304}$\end{document} 120 is considerably shorter than that of \begin{document}$^{298}$\end{document} Fl. With predicted values of approximately \begin{document}$10 \sim 160$\end{document} ms for \begin{document}$T_{\rm SF}$\end{document} , the unmeasured SHN \begin{document}$^{293}119 $\end{document} could survive for a sufficiently long time to reach the focal-plane detector in detection systems such as the gas-filled recoil separator SHANS in Lanzhou.
A phenomenological model is proposed for a systematic description of the spontaneous fission (SF) half-lives
2026, 50(4): 044104. doi: 10.1088/1674-1137/ae28ec
Abstract:
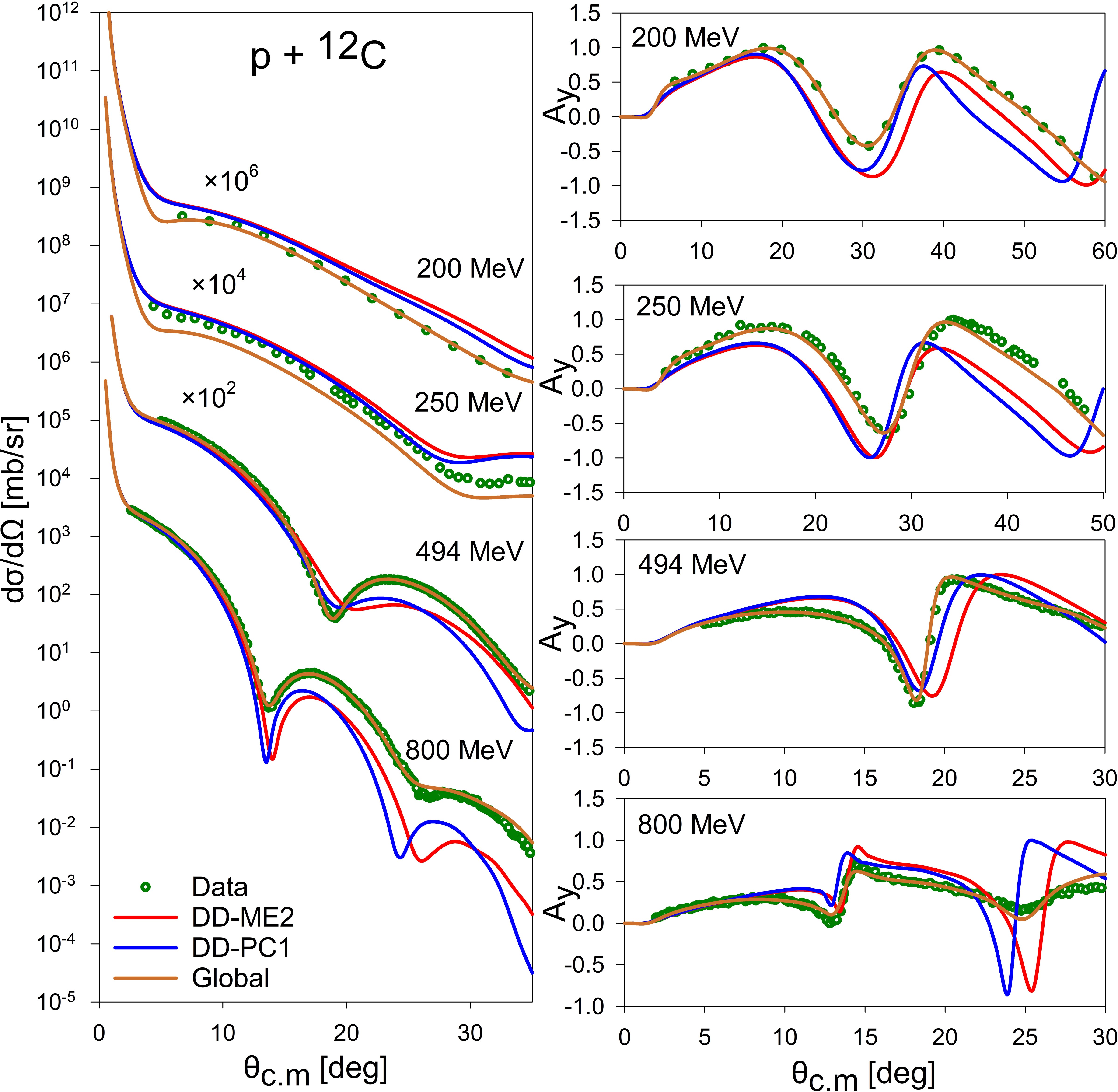
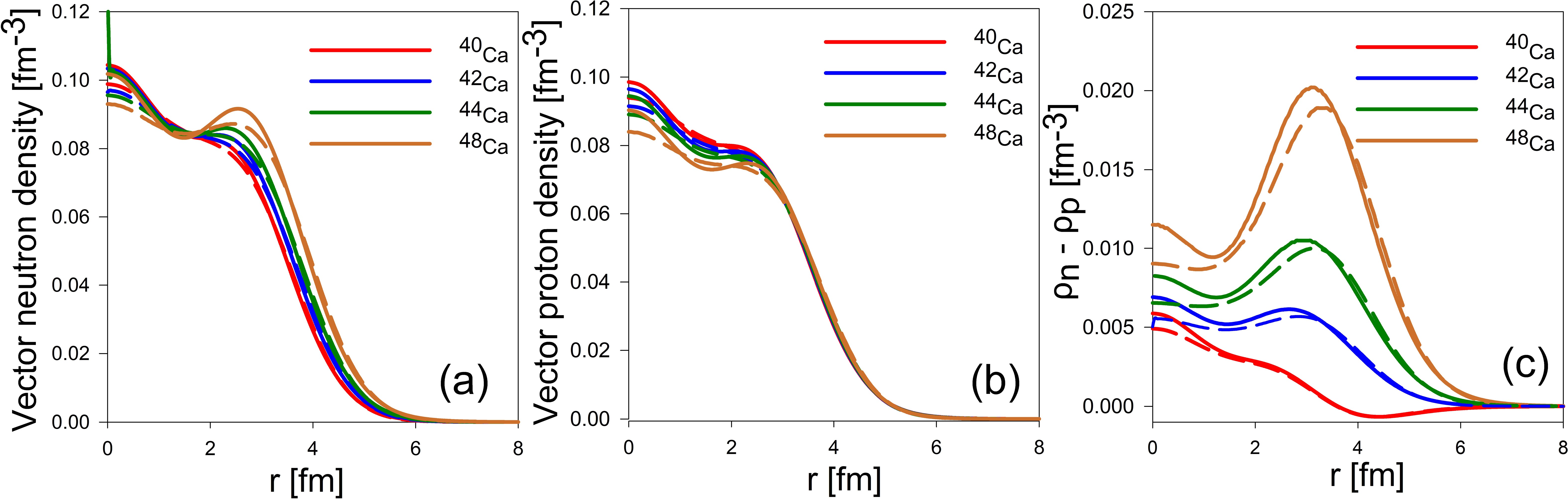
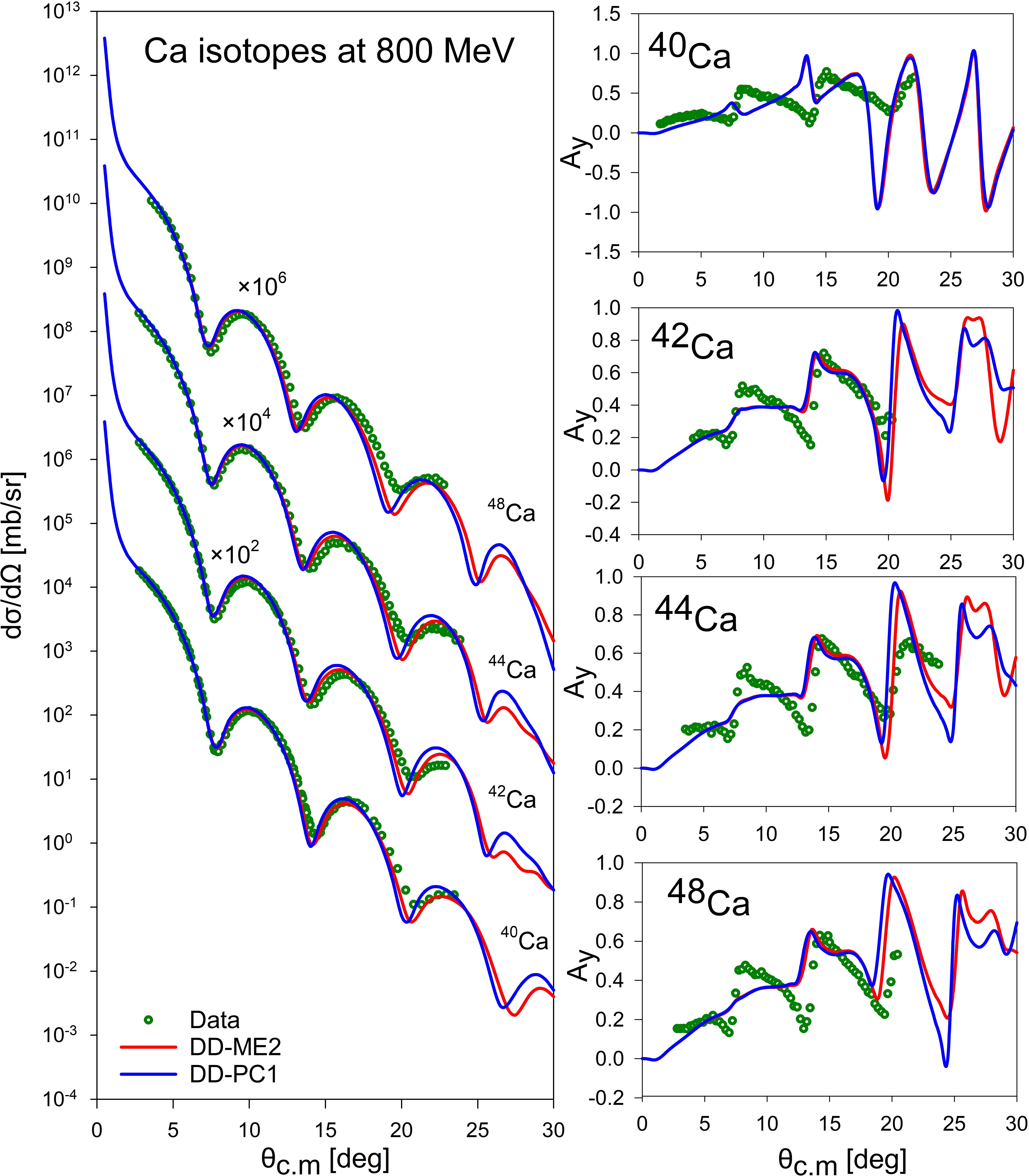
Relativistic microscopic optical potentials (RMOPs) were constructed for nucleon-nucleus scattering within the framework of relativistic impulse approximation (RIA). Nuclear matter densities were calculated using relativistic mean-field (RMF) theory, employing both the density-dependent meson-exchange (DD-ME2) and point-coupling (DD-PC1) parameterizations. The resulting RMOP comprised real and imaginary scalar and vector components. Its efficacy was evaluated through a systematic analysis of elastic proton scattering from seven nuclei (12C, 16O, 28Si, 40Ca, 58Ni, 90Zr, and 208Pb) and calcium isotopes (42,44,48Ca) at incident energies of 200–800 MeV using the Dirac optical model. The RMF-derived densities showed good agreement with experimental root-mean-square radii, neutron skin thicknesses, and binding energies. Differences between the two parameterizations were minimal and diminished for heavier nuclei. The folded potentials displayed characteristic energy-dependent behavior: the real part transitioned from attractive to repulsive, whereas the imaginary absorption strengthened with increasing energy. The differential cross sections calculated using RMOPs showed strong agreement with experimental data. For calcium isotopes, the calculated isotopic trends in neutron skins and densities yielded excellent agreement with cross-section data at 800 MeV. However, the analyzing powers for the neutron-rich 48Ca exhibited some discrepancies. Furthermore, eikonal approximation was employed to compute differential cross sections. This approach incorporated effective central and spin-orbit terms derived from the RMF-based RMOP, providing strong validation of the potential and highlighting the significance of the spin-orbit contribution. It also successfully extended the application of the RMOP to eikonal formalism.
Relativistic microscopic optical potentials (RMOPs) were constructed for nucleon-nucleus scattering within the framework of relativistic impulse approximation (RIA). Nuclear matter densities were calculated using relativistic mean-field (RMF) theory, employing both the density-dependent meson-exchange (DD-ME2) and point-coupling (DD-PC1) parameterizations. The resulting RMOP comprised real and imaginary scalar and vector components. Its efficacy was evaluated through a systematic analysis of elastic proton scattering from seven nuclei (12C, 16O, 28Si, 40Ca, 58Ni, 90Zr, and 208Pb) and calcium isotopes (42,44,48Ca) at incident energies of 200–800 MeV using the Dirac optical model. The RMF-derived densities showed good agreement with experimental root-mean-square radii, neutron skin thicknesses, and binding energies. Differences between the two parameterizations were minimal and diminished for heavier nuclei. The folded potentials displayed characteristic energy-dependent behavior: the real part transitioned from attractive to repulsive, whereas the imaginary absorption strengthened with increasing energy. The differential cross sections calculated using RMOPs showed strong agreement with experimental data. For calcium isotopes, the calculated isotopic trends in neutron skins and densities yielded excellent agreement with cross-section data at 800 MeV. However, the analyzing powers for the neutron-rich 48Ca exhibited some discrepancies. Furthermore, eikonal approximation was employed to compute differential cross sections. This approach incorporated effective central and spin-orbit terms derived from the RMF-based RMOP, providing strong validation of the potential and highlighting the significance of the spin-orbit contribution. It also successfully extended the application of the RMOP to eikonal formalism.
2026, 50(4): 044105. doi: 10.1088/1674-1137/ae3313
Abstract:
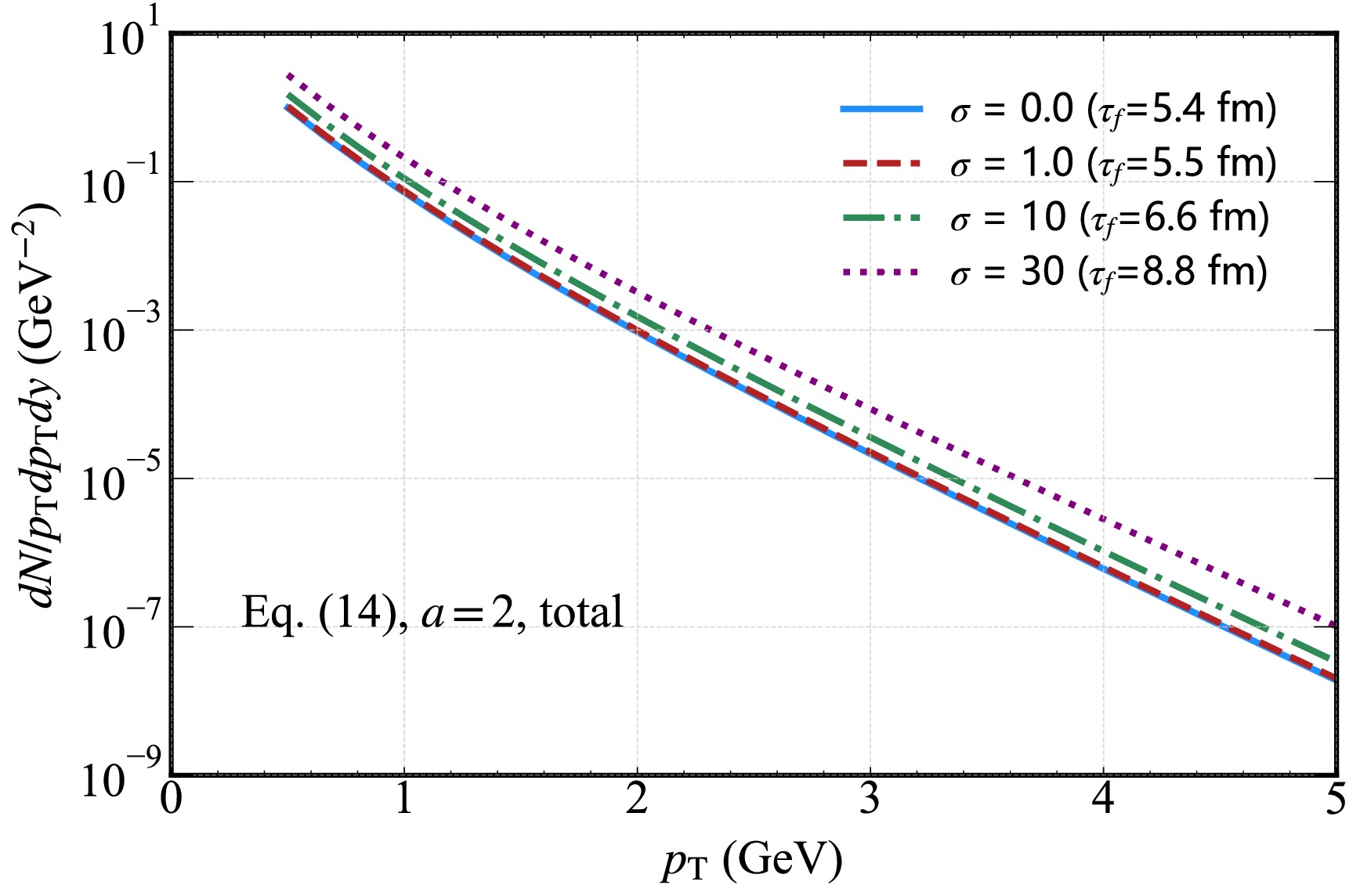
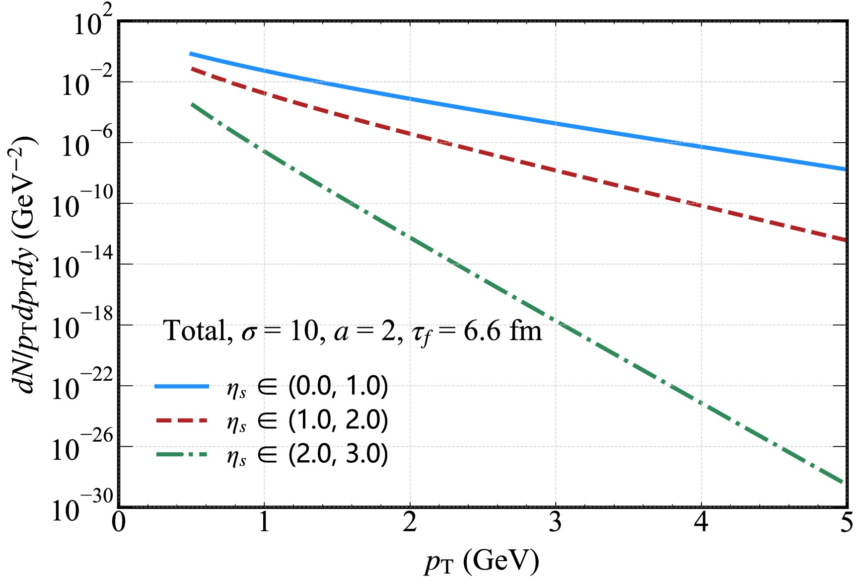
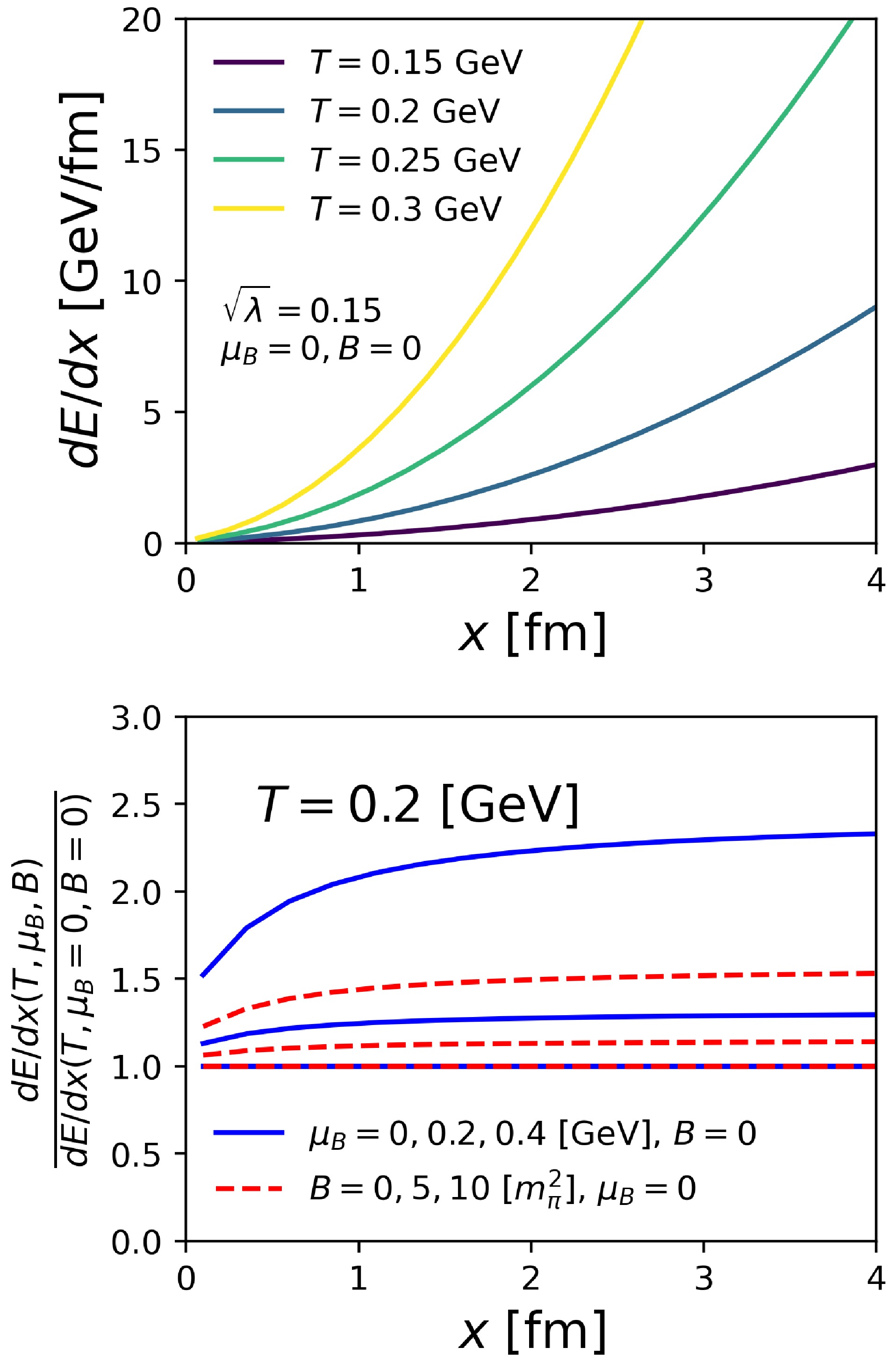
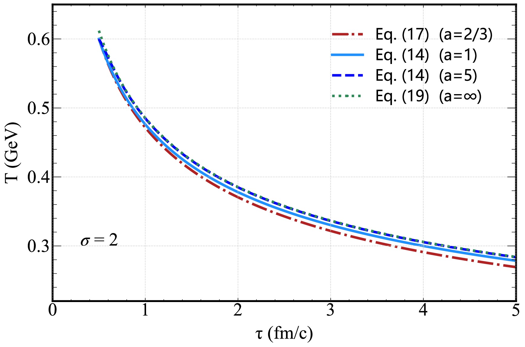
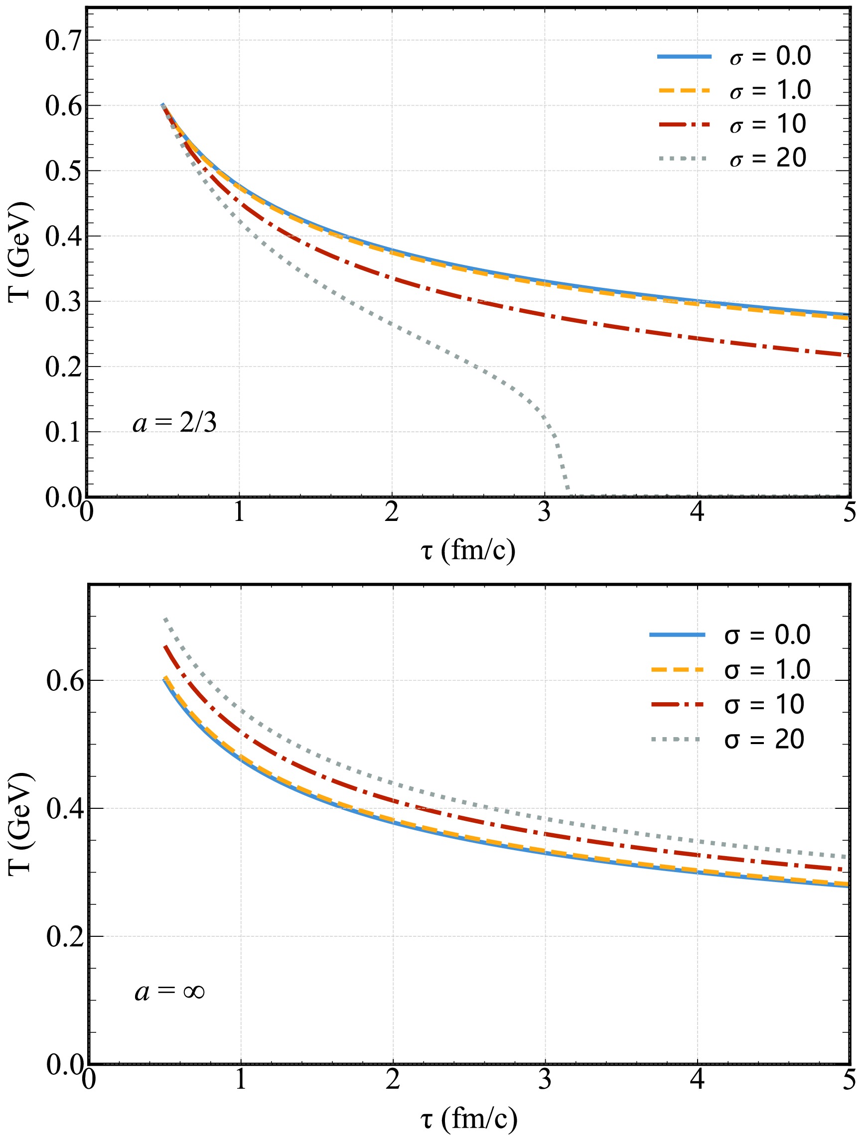
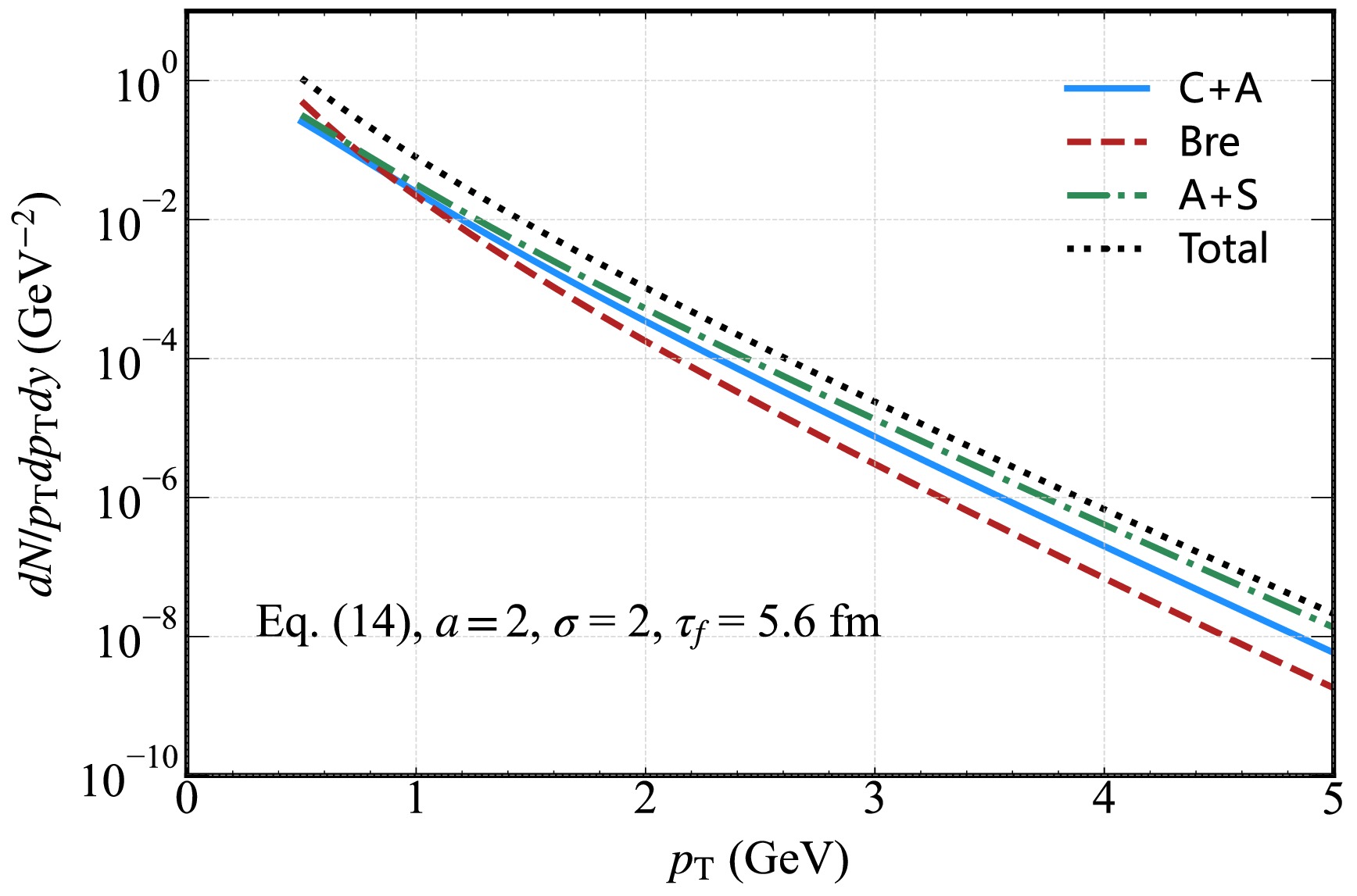
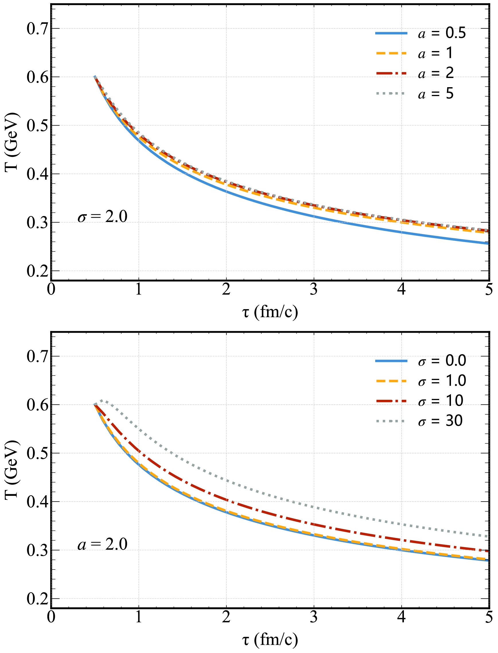
We investigate thermal photon production in the quark-gluon plasma (QGP) under strong magnetic fields using a magnetohydrodynamic (MHD) framework. We employ relativistic ideal fluid dynamics under the non-resistive approximation by adopting the Bjorken flow model with power-law decaying magnetic fields\begin{document}$ \mathbf{B}(\tau) = \mathbf{B}_0 (\tau_0/\tau)^a $\end{document} , span> a controls the decay rate, \begin{document}$ B_0 = \sqrt{\sigma} T_0^2 $\end{document} , and σ characterizes the initial field strength. The resulting QGP temperature evolution exhibits distinct a- and σ-dependent behaviors. Thermal photon production rates are calculated for three dominant processes: Compton scattering with \begin{document}$ q\bar{q} $\end{document} annihilation (C+A), bremsstrahlung (Brems), and \begin{document}$ q\bar{q} $\end{document} annihilation with additional scattering (A+S). These rates are integrated over the space-time volume to obtain the photon transverse momentum \begin{document}$ (p_T) $\end{document} spectrum. Our results demonstrate that increasing a enhances photon yields across all \begin{document}$ p_T $\end{document} , with \begin{document}$ a \to \infty $\end{document} (super-fast decay) providing an upper bound. For \begin{document}$ a = 2/3 $\end{document} , a larger σ suppresses yields through accelerated cooling, whereas for \begin{document}$ a \to \infty $\end{document} , a larger σ enhances yields via prolonged thermal emission. Low-\begin{document}$ p_T $\end{document} photons receive significant contributions from all QGP evolution stages, while high-\begin{document}$ p_T $\end{document} photons originate predominantly from early times. The central rapidity region \begin{document}$ (y=0) $\end{document} dominates the total yield. This work extends the photon yield studies to the MHD regime under strong magnetic fields, clarifying the magnetic field effects on QGP electromagnetic signatures and establishing foundations for future investigations of magnetization and dissipative phenomena.
We investigate thermal photon production in the quark-gluon plasma (QGP) under strong magnetic fields using a magnetohydrodynamic (MHD) framework. We employ relativistic ideal fluid dynamics under the non-resistive approximation by adopting the Bjorken flow model with power-law decaying magnetic fields
2026, 50(4): 044106. doi: 10.1088/1674-1137/ae31e1
Abstract:
The neutron total cross section (\begin{document}$ \sigma_{\rm t} $\end{document} ) of 169Tm is of considerable importance in the design of nuclear reactors and applications of nuclear technology. However, the \begin{document}$ \sigma_{\rm t} $\end{document} of 169Tm is unavailable in the 5 keV to 2.3 MeV energy range in the Experimental Nuclear Reaction Data library and exhibits significant discrepancies among different Evaluated Nuclear Data libraries in the keV region. To clarify the discrepancies in the \begin{document}$ \sigma_{\rm t} $\end{document} of 169Tm in the keV energy region, we developed a new measurement strategy using the transmission method and the time-of-flight technique and employed it at the back-streaming white neutron beamline of the China Spallation Neutron Source. The experimental background was quantitatively determined using the saturated resonance absorption technique with a 7Li-glass scintillator. The \begin{document}$ \sigma_{\rm t} $\end{document} of 169Tm in the 1−110 keV energy range was obtained, and the value showed good agreement with the evaluated data in the JENDL-5 library. The calculations of the optical model agree well with the results and the fine-tuned optical model parameters in TALYS validated against the 2.3–2.5 MeV data reported by Foster and Glasgow, with deviations below 5%. The results fill the experimental gap in the 5–110 keV range and thus provide valuable input for research on nuclear reactions and evaluations of nuclear data.
The neutron total cross section (
2026, 50(4): 044107. doi: 10.1088/1674-1137/ae35ff
Abstract:
Within the framework of the microscopic-macroscopic model, using total Routhian surface calculations in the three-dimensional space (\begin{document}$ \beta_2 $\end{document} , γ, and \begin{document}$ \beta_4 $\end{document} ), a systematic investigation of mirror-pair nuclei 74Kr-74Sr, 78Sr-78Zr, and 82Zr-82Mo is conducted to predict the mirror symmetry violation in their rotational properties. The empirical P-factor, energy ratio \begin{document}$ R_{4/2} $\end{document} , energies of the first excited state \begin{document}$ E_{2_1^+} $\end{document} , and binding energies \begin{document}$ E_{\rm{bind}} $\end{document} of these mirror partner nuclei are presented, together with the primary deformations \begin{document}$ \beta_2 $\end{document} and \begin{document}$ \beta_4 $\end{document} . Our calculations indicate the shape coexistence in the ground state of all these mirror partner nuclei. The moments of inertia of these mirror partner nuclei are not always the same in the yrast band. The rotational frequencies at which upbending occurs in 74Kr and 74Sr are nearly identical. However, in 78Sr and 82Zr, the upbending occurs earlier than in their mirror partners 78Zr and 82Mo. The upbending phenomenon in 74Kr and 74Sr is attributed to the simultaneous alignment of protons and neutrons. Taking the nuclei 78Sr-78Zr as examples, we suggest that the first upbending is attributed to the alignment of protons and neutrons within the \begin{document}$ 1g_{9/2} $\end{document} orbitals, as evidenced by the calculated single-particle energy levels. These specific band crossings are further elucidated through quasiparticle Routhian diagrams, which characterize the alignment of high-j, low-Ω pairs, and reveal the underlying microscopic mechanism. Our results show that 74Kr and 74Sr maintain strong mirror symmetry in their rotational behavior. 78Sr and 82Zr exhibit earlier upbending than their mirrors, indicating possible mirror symmetry breaking. This study may provide new insights for future research into the mirror symmetry violation in nuclear excited states.
Within the framework of the microscopic-macroscopic model, using total Routhian surface calculations in the three-dimensional space (
2026, 50(4): 044108. doi: 10.1088/1674-1137/ae2f4f
Abstract:
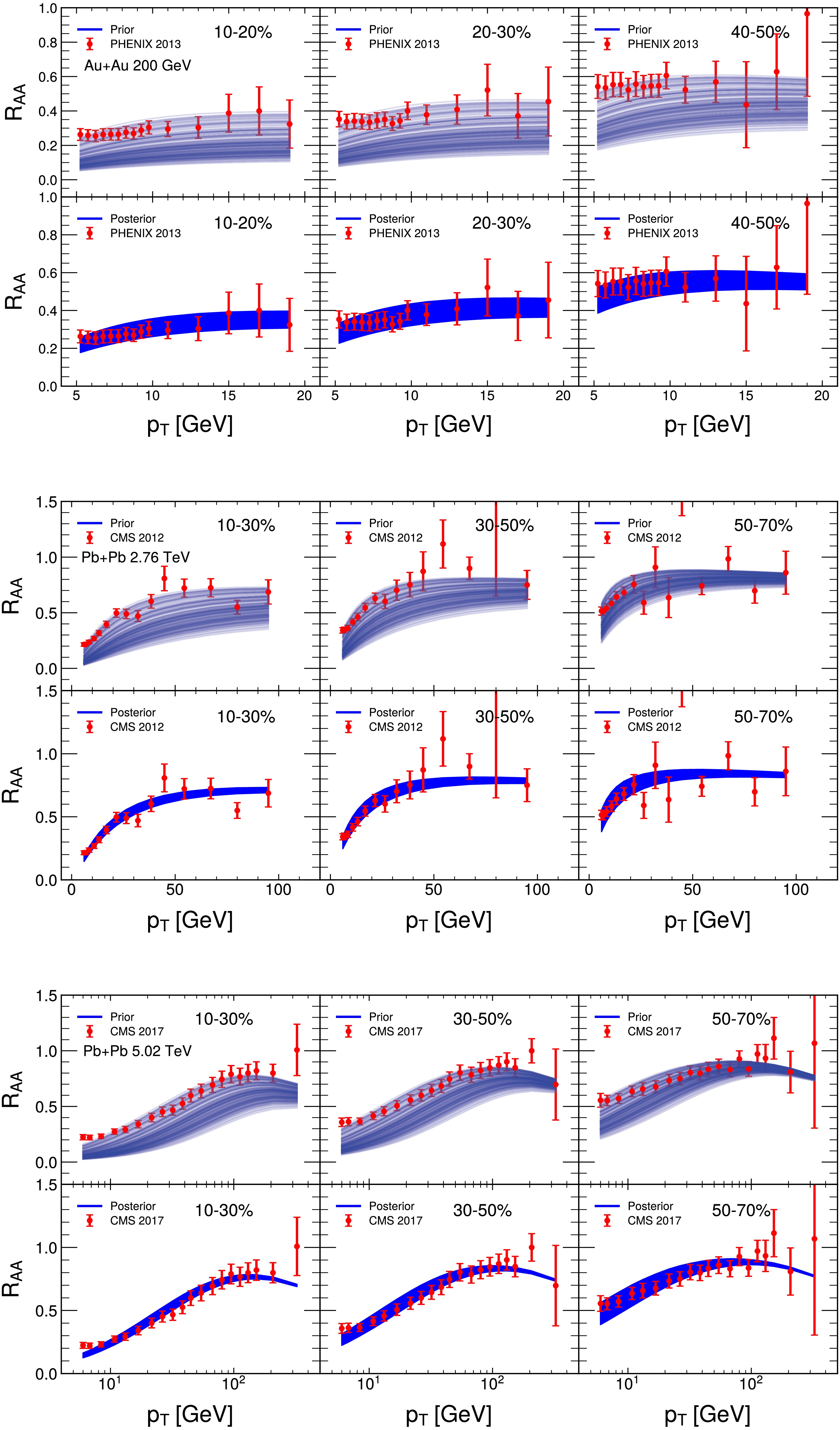
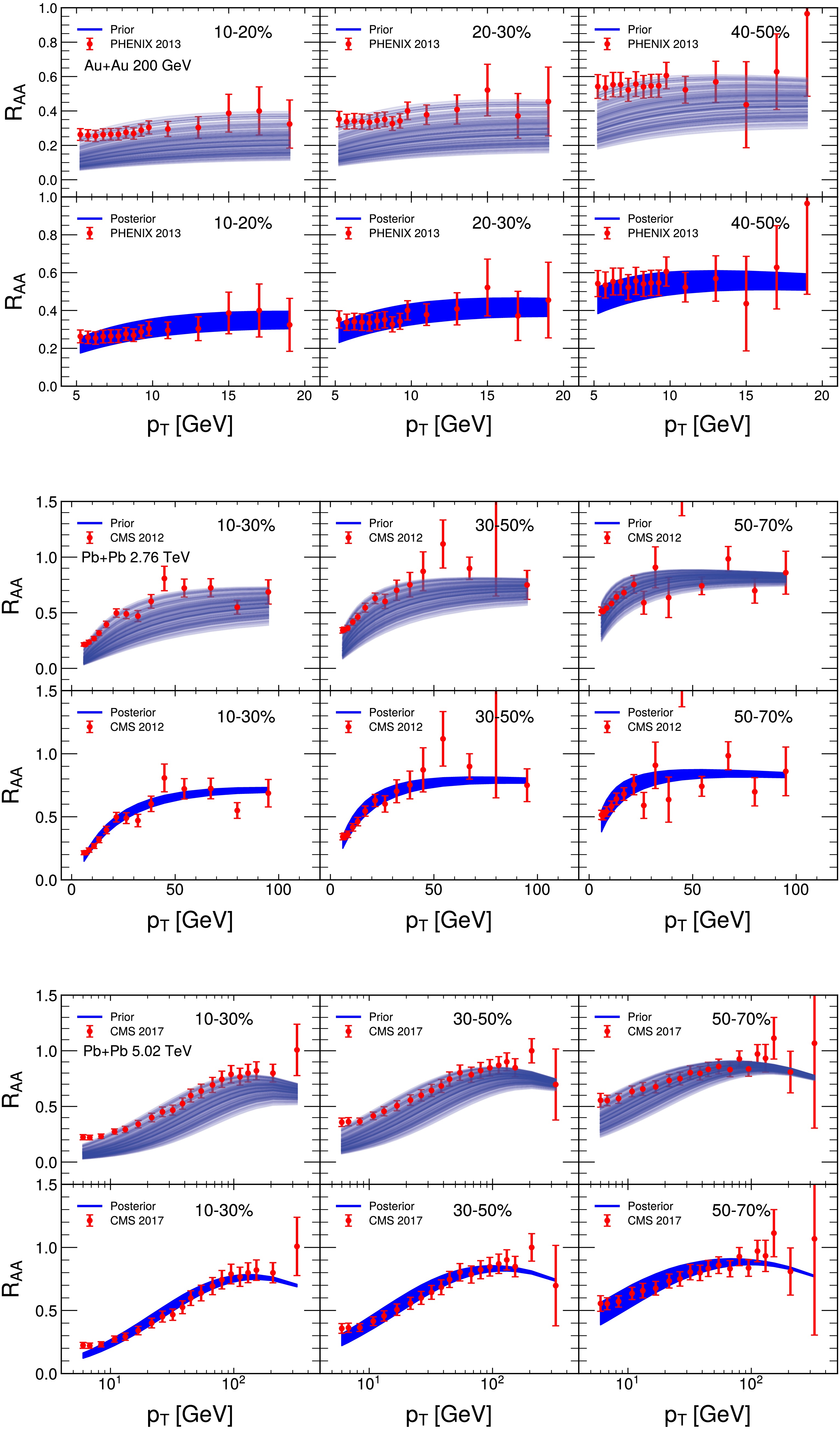
Jet quenching is studied in a background magnetic field and finite baryon chemical potential. The production of energetic partons is calculated using the next-to-leading order (NLO) perturbative Quantum Chromodynamics (pQCD) parton model, whereas the parton energy loss formula is obtained from the AdS/CFT correspondence incorporating the magnetic field and baryon chemical potential effects. Using Bayesian inference, we systemically compare theoretical calculations with experimental data for the nuclear modification factor\begin{document}$ R_{AA}$\end{document} of large transverse momentum hadrons in different centralities of nucleus-nucleus collisions at 0.2, 2.76, and 5.02 TeV, respectively. The holographic calculation leads to a strong negative correlation between the magnetic field and chemical potential for a fixed amount of energy loss. This degeneracy can be observed after model calibration. Finally, we discussed the sensitivity of jet quenching phenomena to the external magnetic field and background baryon chemical potential.
Jet quenching is studied in a background magnetic field and finite baryon chemical potential. The production of energetic partons is calculated using the next-to-leading order (NLO) perturbative Quantum Chromodynamics (pQCD) parton model, whereas the parton energy loss formula is obtained from the AdS/CFT correspondence incorporating the magnetic field and baryon chemical potential effects. Using Bayesian inference, we systemically compare theoretical calculations with experimental data for the nuclear modification factor
2026, 50(4): 044109. doi: 10.1088/1674-1137/ae31e0
Abstract:
Using four representative nuclear mass models, namely, WS4, FRDM, DZ10, and KTUY, we perform a systematic investigation on how nuclear masses affect the α-decay properties of superheavy nuclei, including decay energies, α-cluster preformation factors, and corresponding half-lives. The α-cluster preformation factors are obtained from two types of cluster-formation model (CFM) and extracted from experimental decay half-life. All mass models reproduce the known α-decay energies with small root-mean-square errors, while WS4 and FRDM show the highest accuracy. Strong correlations among preformation factors from different mass models are identified in both CFM and extracted results, although the exponential dependence of half-lives on decay energy weakens correlations between the two approaches. For possible α-decay chains of superheavy nuclei, the decay energy systematically decreases and the predicted half-life increases with decreasing proton number. This trend is also observed from the calculations for superheavy isotopes with same proton number. These results indicate that isotopes of superheavy elements with more neutrons are expected to exhibit enhanced stability, thus providing theoretical reference for future synthesis of elements with Z=119 and 120.
Using four representative nuclear mass models, namely, WS4, FRDM, DZ10, and KTUY, we perform a systematic investigation on how nuclear masses affect the α-decay properties of superheavy nuclei, including decay energies, α-cluster preformation factors, and corresponding half-lives. The α-cluster preformation factors are obtained from two types of cluster-formation model (CFM) and extracted from experimental decay half-life. All mass models reproduce the known α-decay energies with small root-mean-square errors, while WS4 and FRDM show the highest accuracy. Strong correlations among preformation factors from different mass models are identified in both CFM and extracted results, although the exponential dependence of half-lives on decay energy weakens correlations between the two approaches. For possible α-decay chains of superheavy nuclei, the decay energy systematically decreases and the predicted half-life increases with decreasing proton number. This trend is also observed from the calculations for superheavy isotopes with same proton number. These results indicate that isotopes of superheavy elements with more neutrons are expected to exhibit enhanced stability, thus providing theoretical reference for future synthesis of elements with Z=119 and 120.
2026, 50(4): 044110. doi: 10.1088/1674-1137/ae3731
Abstract:
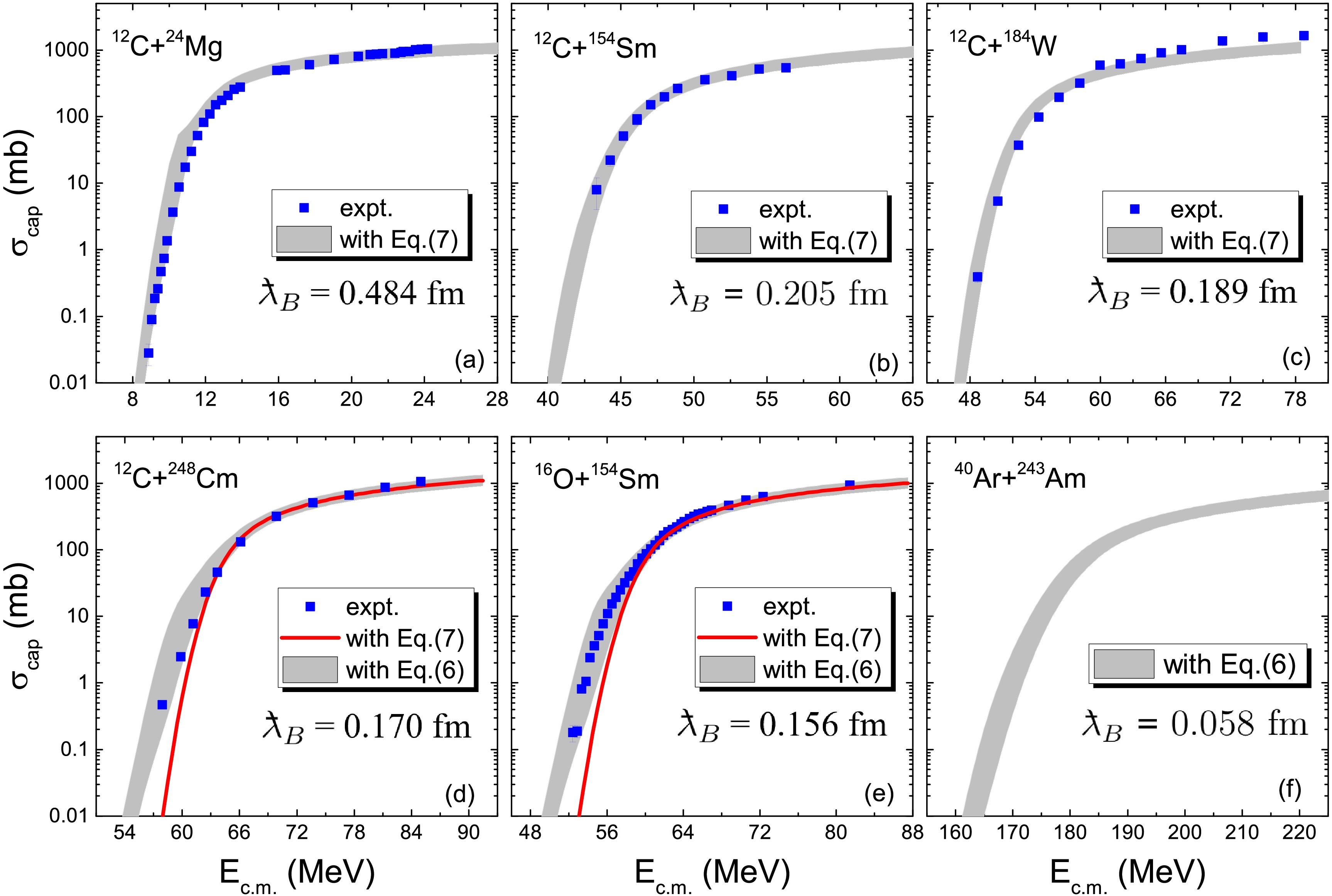
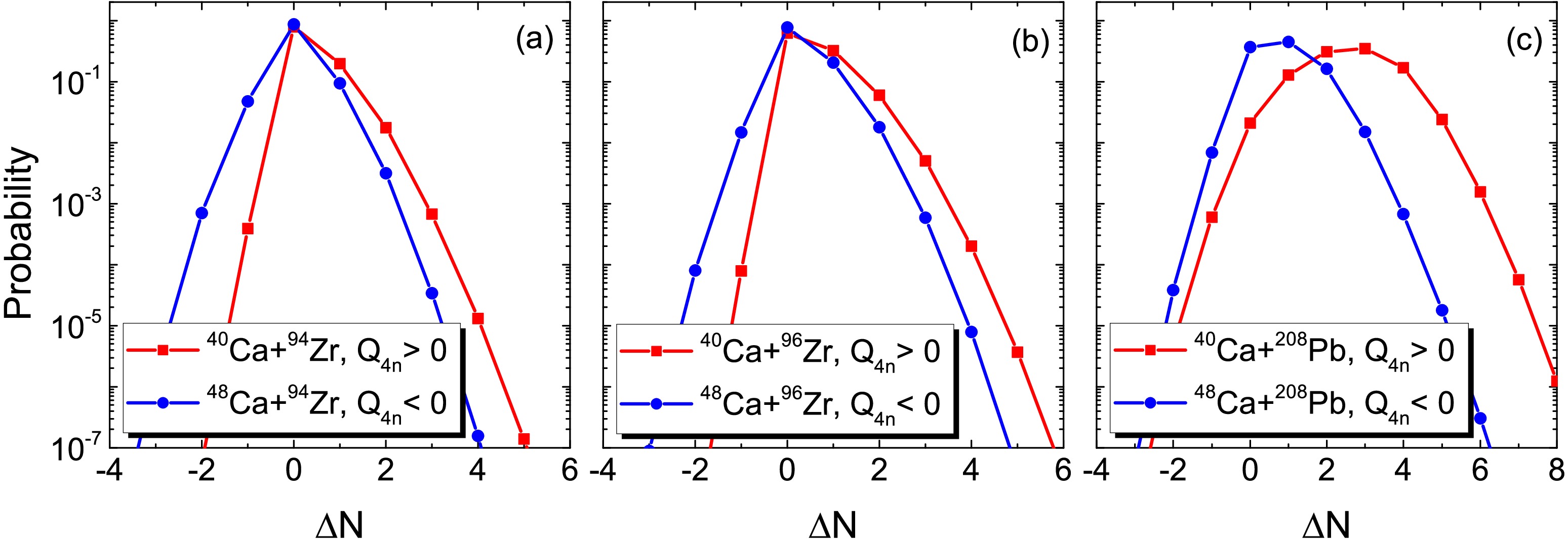
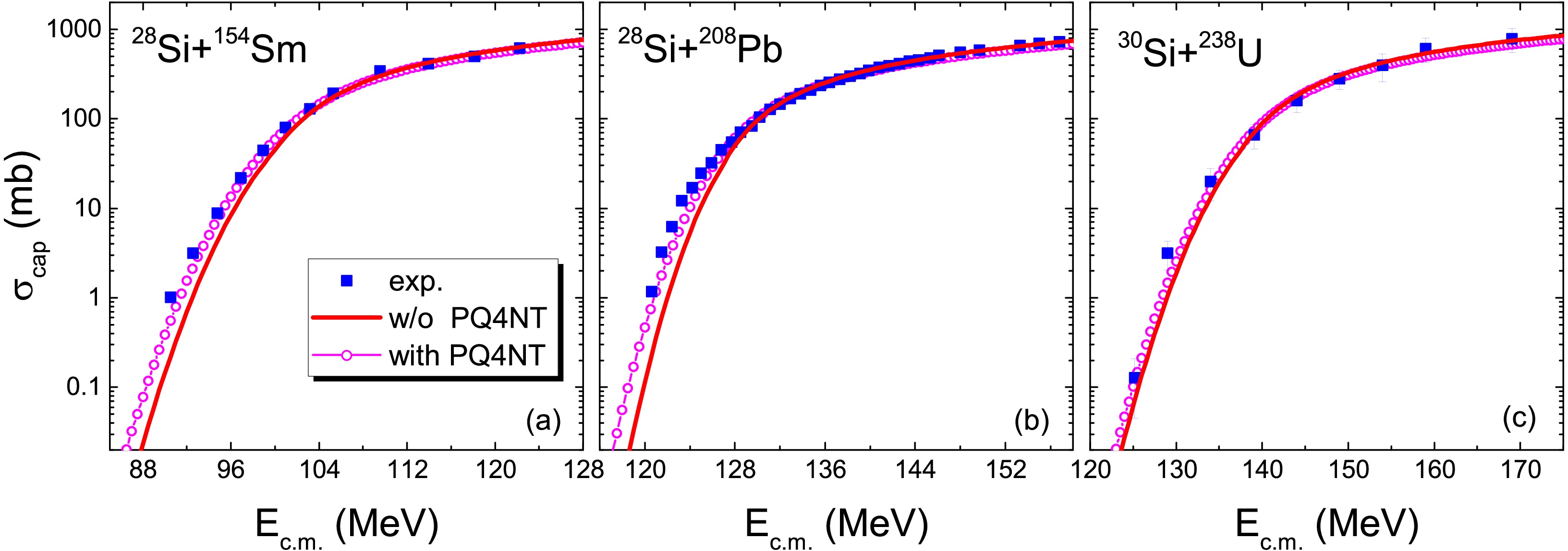
The effect of positive Q-value four-neutron transfer (PQ4NT) on the sub-barrier capture cross sections is investigated systematically using the empirical barrier distribution (EBD2) method. For 13 fusion reactions with\begin{document}$Q_{4{\rm n}}>0$\end{document} , the sustained neutron-pair transfer reduces barrier heights and enhances capture cross sections at sub-barrier energies. In contrast, reactions such as 18O+58Ni, which have \begin{document}$Q_{2{\rm n}}>0$\end{document} and \begin{document}$Q_{4{\rm n}}<0$\end{document} , exhibit no enhancement due to stalling of subsequent neutron-pair transfer after the initial 2n transfer. Incorporating PQ4NT effects into EBD2 for systems with \begin{document}$Q_{4{\rm n}}>0$\end{document} significantly reduces the average deviation between the predicted and experimental capture cross sections (113 datasets) by 20%. In comparison with those in reactions induced by 48Ca (\begin{document}$Q_{4{\rm n}}<0$\end{document} ), the neutron pickup probabilities in the quasi-elastic scattering of 40Ca-induced reactions (\begin{document}$Q_{4{\rm n}}>0$\end{document} ) are considerably larger, according to the time-dependent Hartree-Fock calculations.
The effect of positive Q-value four-neutron transfer (PQ4NT) on the sub-barrier capture cross sections is investigated systematically using the empirical barrier distribution (EBD2) method. For 13 fusion reactions with
2026, 50(4): 044111. doi: 10.1088/1674-1137/ae3732
Abstract:
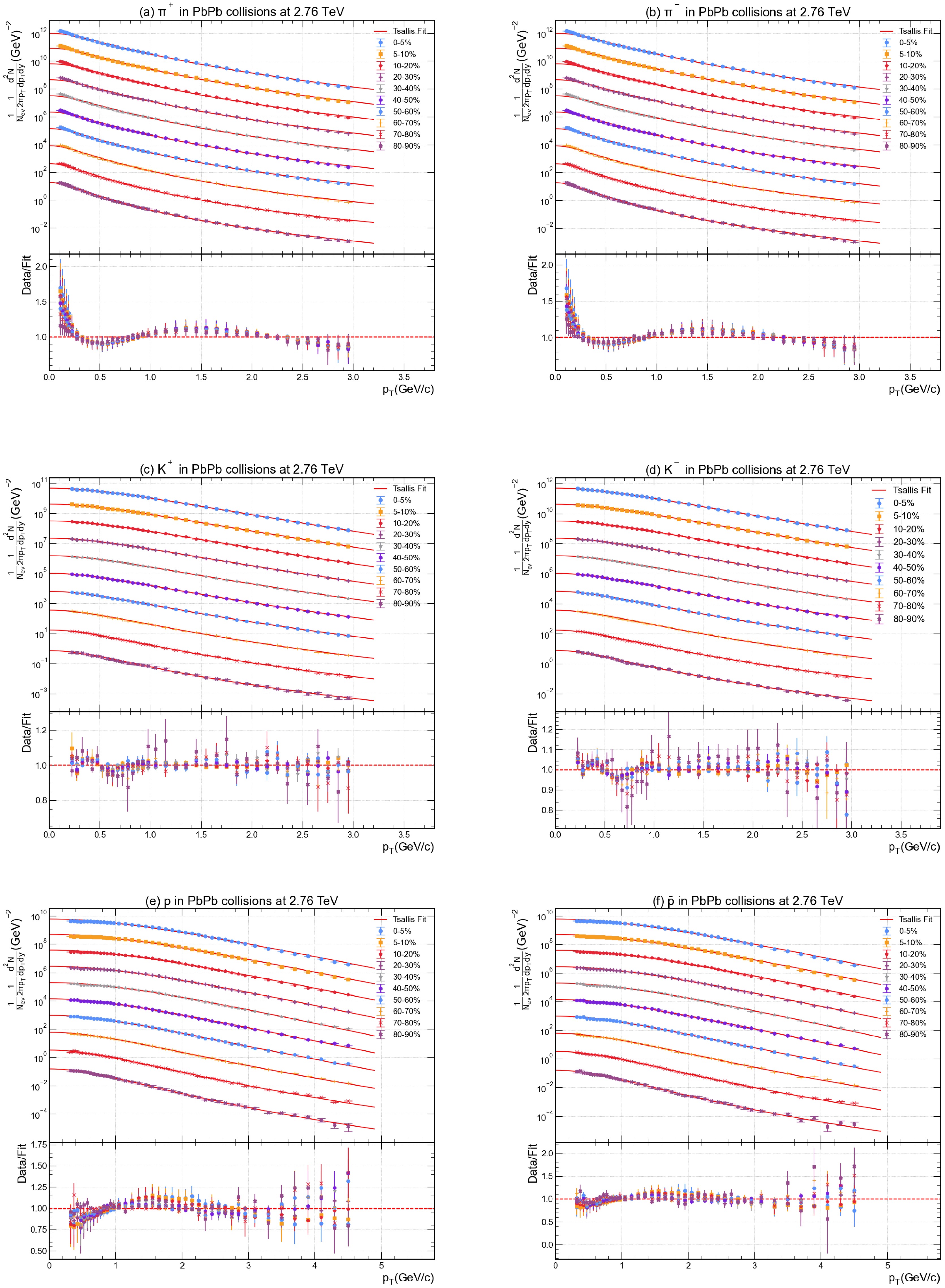
This study investigates the transverse momentum (\begin{document}$ p_T $\end{document} ) distributions of \begin{document}$ \pi^{\mp} $\end{document} , \begin{document}$ K^{\mp} $\end{document} , p(\begin{document}$ \bar{p} $\end{document} ), \begin{document}$ K_s^0 $\end{document} , and Λ in various centrality classes of Pb-Pb collisions at \begin{document}$ \sqrt{s_{NN}} = 2.76 $\end{document} TeV. The experimental spectra were analyzed using the Tsallis non-extensive distribution, from which the effective temperature (T), non-extensive parameter (q), and mean transverse momentum (\begin{document}$ \langle p_T \rangle $\end{document} ) were extracted for each particle species and centrality bin. To disentangle thermal and collective effects, the mean kinetic freeze-out temperature (\begin{document}$ \langle T_0 \rangle $\end{document} ) was obtained from the intercept of the T versus mass relation, and the average transverse flow velocity (\begin{document}$ \langle \beta_T \rangle $\end{document} ) was extracted from the slope of \begin{document}$ \langle p_T \rangle $\end{document} versus mean moving mass for pions, kaons, and protons. The results show that T increases and q decreases with centrality, indicating a hotter and more equilibrated system in central collisions. A clear mass dependence of T supports the presence of a multi-freeze-out scenario, with heavier particles decoupling earlier. Both \begin{document}$ \langle T_0 \rangle $\end{document} and \begin{document}$ \langle \beta_T \rangle $\end{document} arise from peripheral to mid-central collisions before saturating toward central events, which may suggest the onset of collective behavior or changes in freeze-out dynamics. These observations provide new insights into the thermal and dynamical properties of the medium created in heavy-ion collisions at the LHC.
This study investigates the transverse momentum (
2026, 50(4): 044112. doi: 10.1088/1674-1137/ae37f1
Abstract:
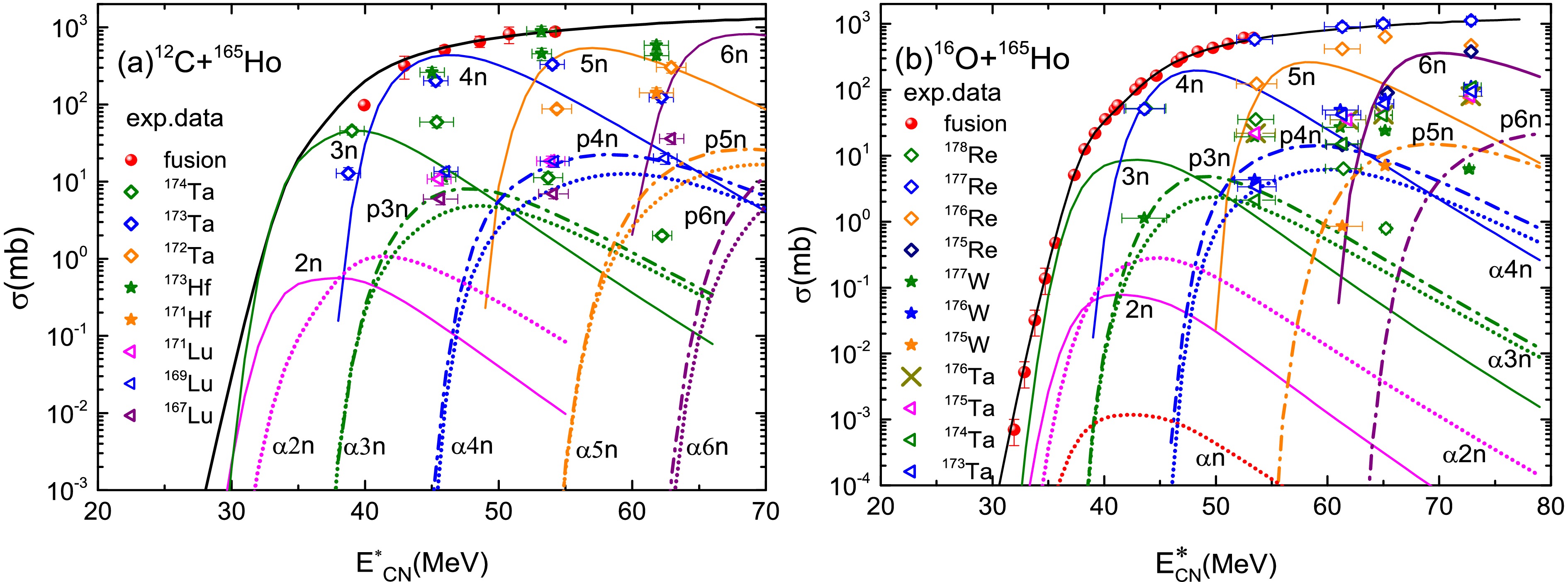
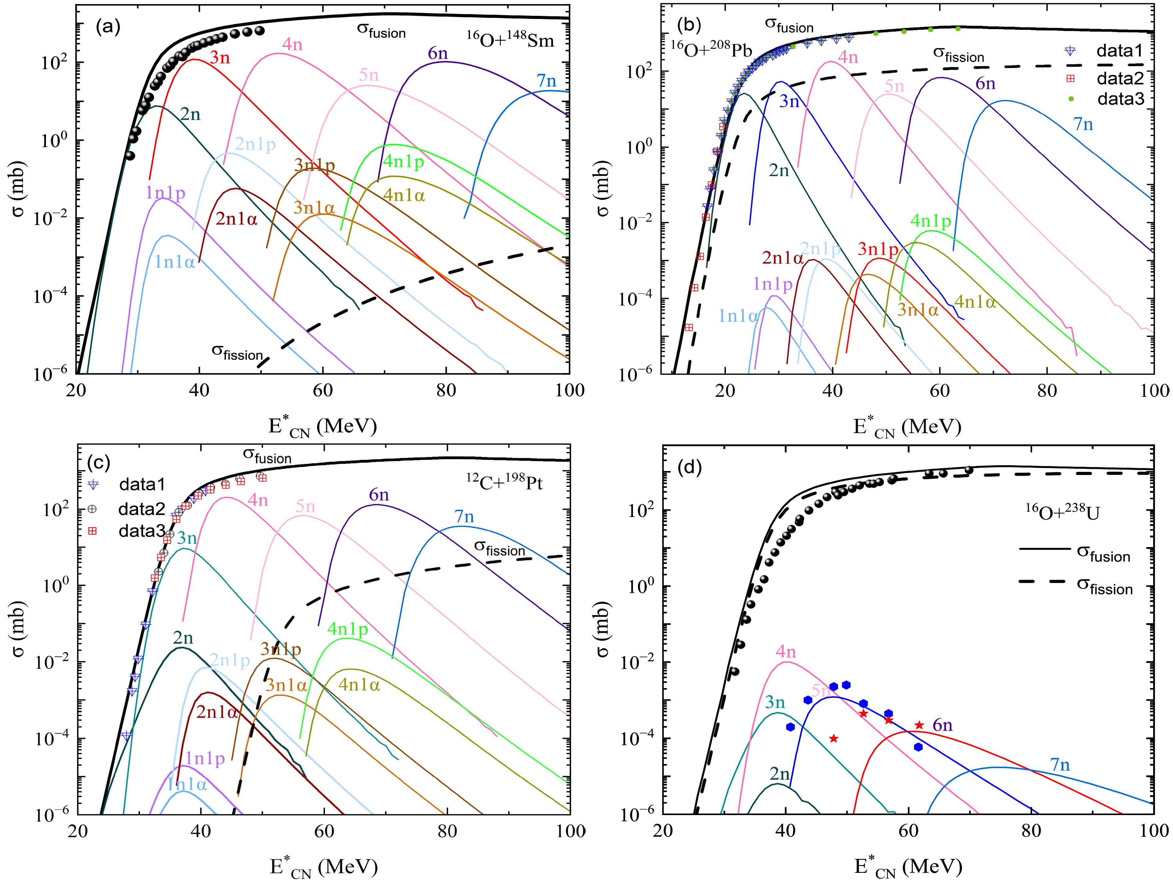
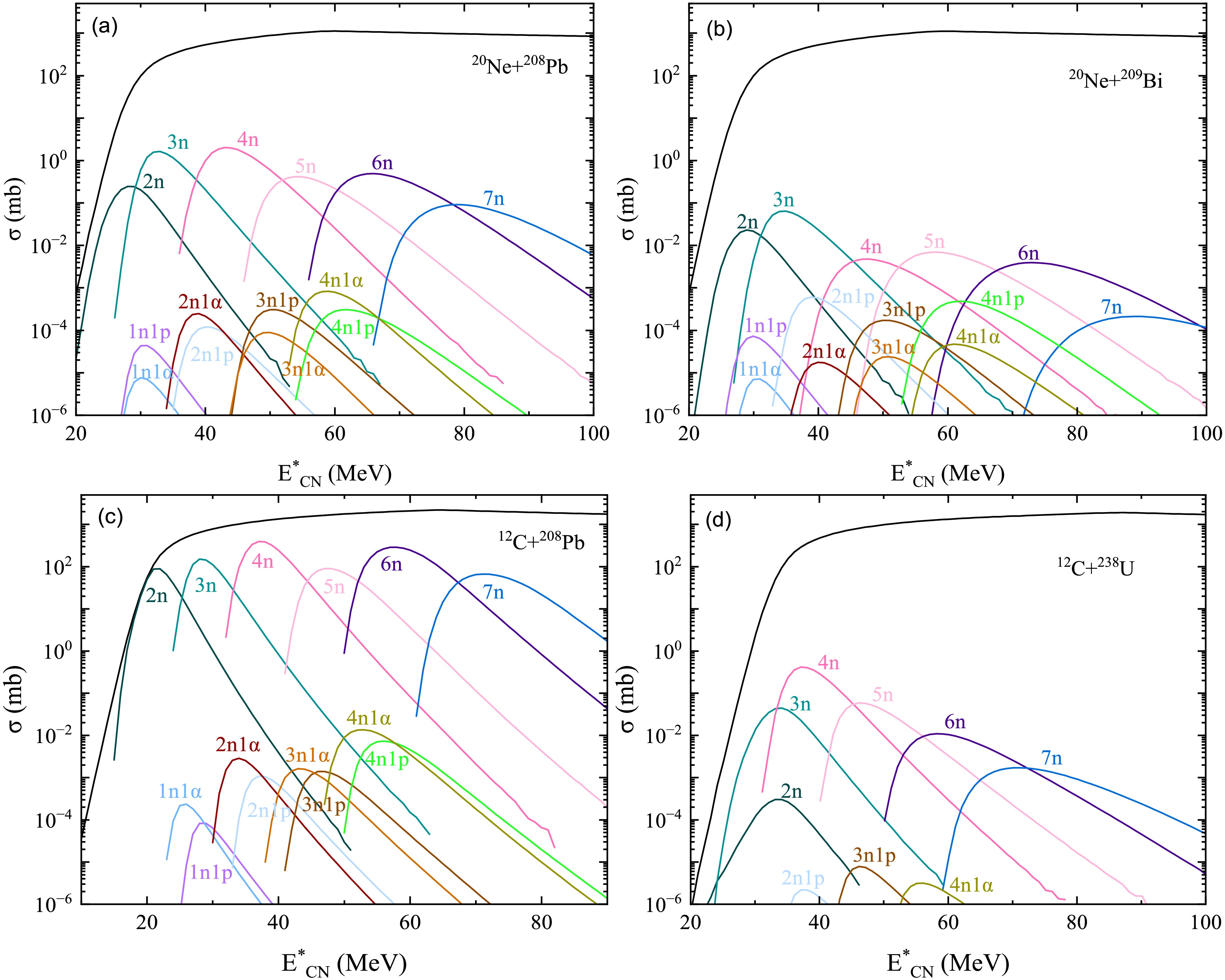
The fusion-evaporation excitation functions in the reactions of\begin{document}$^{12}$\end{document} C/\begin{document}$^{16}$\end{document} O + \begin{document}$^{165}$\end{document} Ho, \begin{document}$^{12}$\end{document} C + \begin{document}$^{198}$\end{document} Pt/\begin{document}$^{208}$\end{document} Pb/\begin{document}$^{238}$\end{document} U, \begin{document}$^{16}$\end{document} O + \begin{document}$^{148}$\end{document} Sm/\begin{document}$^{208}$\end{document} Pb/\begin{document}$^{238}$\end{document} U, \begin{document}$^{20}$\end{document} Ne + \begin{document}$^{208}$\end{document} Pb/\begin{document}$^{209}$\end{document} Bi, and \begin{document}$^{36,40}$\end{document} Ar + \begin{document}$^{182}$\end{document} W/\begin{document}$^{185}$\end{document} Re/\begin{document}$^{187}$\end{document} Os are systematically investigated using a combined approach of barrier distribution and statistical theory. The production cross sections of proton-rich nuclides \begin{document}$^{211-214}$\end{document} U, \begin{document}$^{214-218}$\end{document} Np, and \begin{document}$^{216-220}$\end{document} Pu are estimated for the pure neutron and charged particle evaporation. The kinetic energy spectra of neutrons, protons, deuterons, tritons, and alphas from the compound nuclei in the fusion reactions are analyzed. We find that the Coulomb interaction between the charged particles and daughter nuclei dominates the kinetic energy spectra and leads to the Boltzmann distribution. The α yields are comparable with the hydrogen isotopes and are of the same order of magnitude. The shell effect is significant for fusion-evaporation cross sections and particle energy spectra.
The fusion-evaporation excitation functions in the reactions of
2026, 50(4): 045101. doi: 10.1088/1674-1137/ae2fc7
Abstract:
In this paper, we utilize the ray-tracing method to conduct an in-depth study of the observational images of asymmetric thin-shell wormholes in the Kalb-Ramond field. Initially, we calculate the null geodesics and effective potential energy of the asymmetric thin-shell wormhole and investigate the variations in the photon sphere radius and critical impact parameter under different values of charge Q and Lorentz-violation parameter l. Based on these calculations, we determine the photon deflection angles and trajectories within this space-time structure. Specifically, depending on the photon impact parameters, the photon trajectories can be categorized into three types. By using a thin accretion disk as the sole background light source and incorporating two classical observational radiation models, we find that under conditions of equal mass M, charge quantity Q, and Lorentz-violation parameter l, asymmetric thin-shell wormholes exhibit unique observational features, such as additional lensing rings and photon ring clusters. Furthermore, distinct from black holes, as the charge quantity Q and Lorentz-violation parameter l increase, the coverage area of the specific additional halo expands correspondingly.
In this paper, we utilize the ray-tracing method to conduct an in-depth study of the observational images of asymmetric thin-shell wormholes in the Kalb-Ramond field. Initially, we calculate the null geodesics and effective potential energy of the asymmetric thin-shell wormhole and investigate the variations in the photon sphere radius and critical impact parameter under different values of charge Q and Lorentz-violation parameter l. Based on these calculations, we determine the photon deflection angles and trajectories within this space-time structure. Specifically, depending on the photon impact parameters, the photon trajectories can be categorized into three types. By using a thin accretion disk as the sole background light source and incorporating two classical observational radiation models, we find that under conditions of equal mass M, charge quantity Q, and Lorentz-violation parameter l, asymmetric thin-shell wormholes exhibit unique observational features, such as additional lensing rings and photon ring clusters. Furthermore, distinct from black holes, as the charge quantity Q and Lorentz-violation parameter l increase, the coverage area of the specific additional halo expands correspondingly.
2026, 50(4): 045102. doi: 10.1088/1674-1137/ae30ea
Abstract:
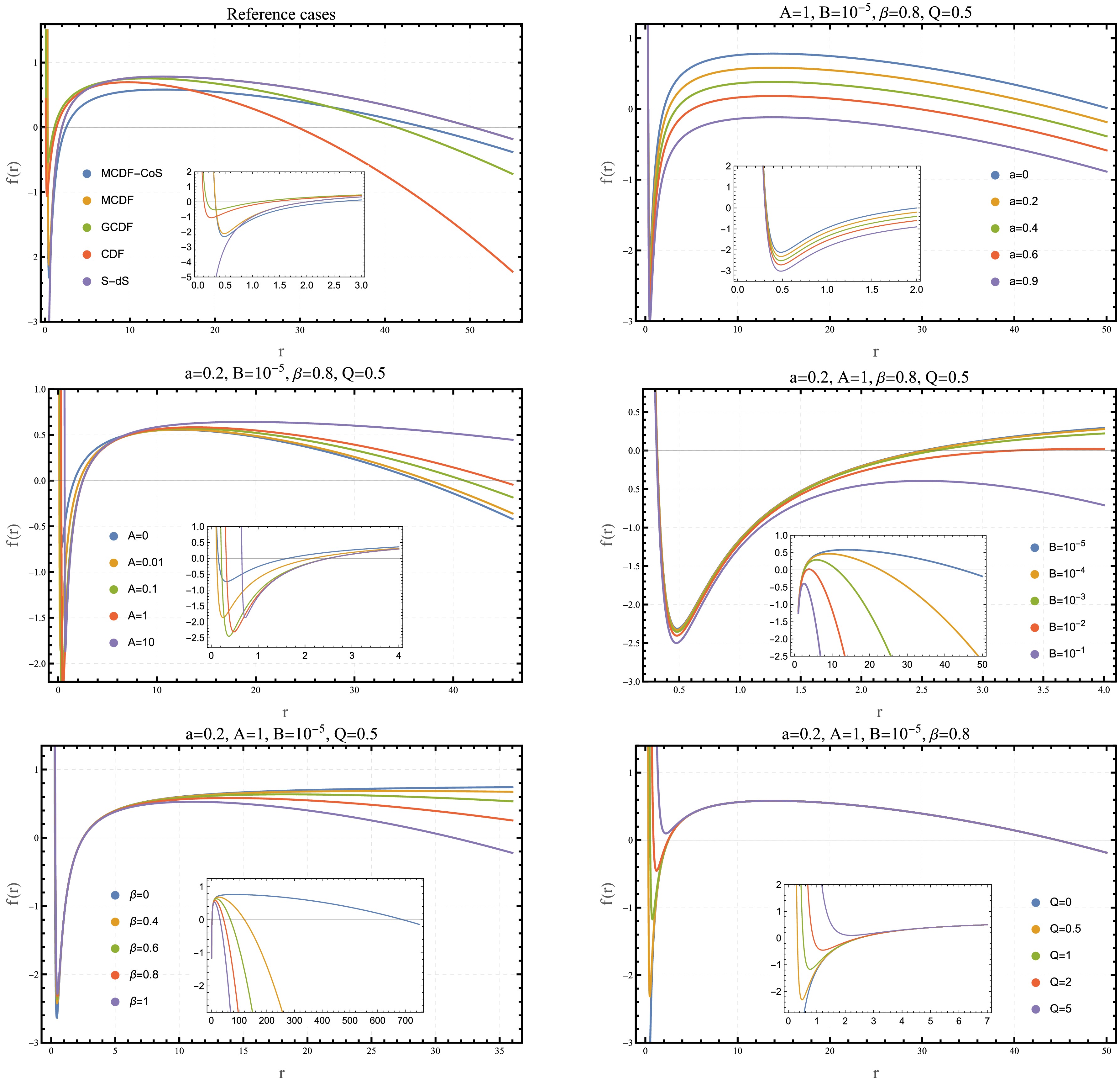
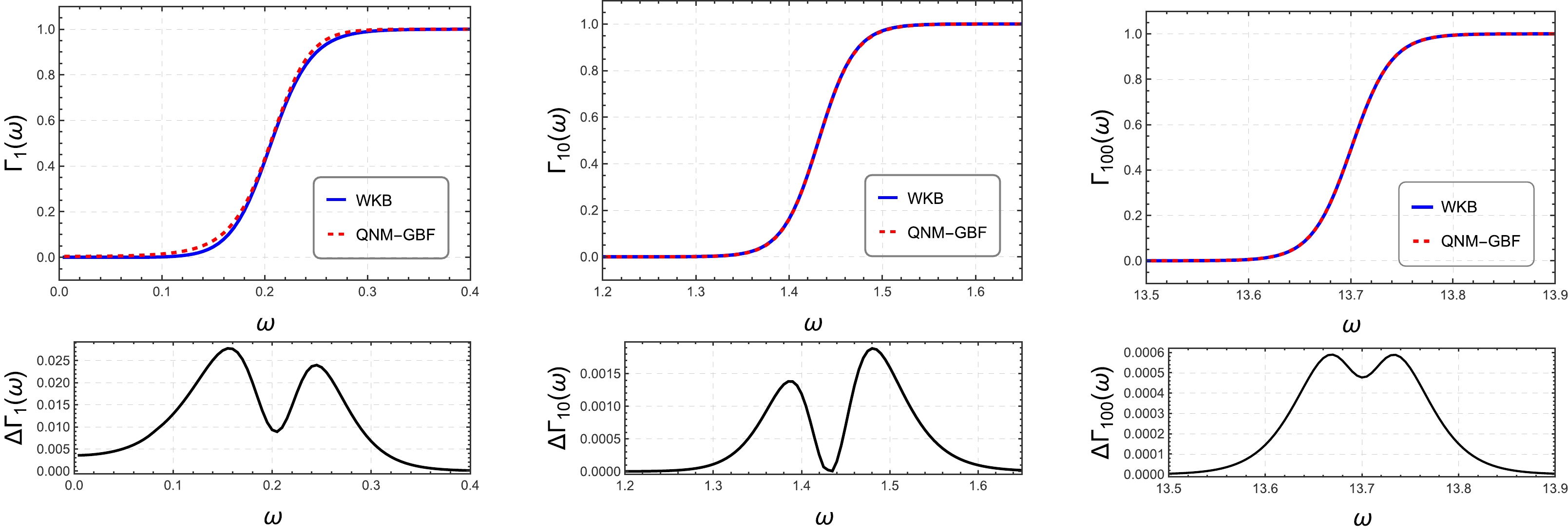
We present a unified investigation of black hole shadows, quasinormal modes (QNMs), and greybody factors (GBFs) for a static, spherically symmetric black hole within a composite environment of a modified Chaplygin-like dark fluid (MCDF) and a cloud of strings (CoS). We examine the structure of critical photon orbits and the corresponding optical appearance under spherical accretion. Using the Wentzel–Kramers–Brillouin (WKB) approximation, we compute the quasinormal frequencies and greybody spectra and explore their correspondence with the black hole shadows in the eikonal limit. A systematic parameter study demonstrates that the CoS intensity has the primary influence on the shadows, QNMs, and GBFs, whereas the MCDF parameters introduce more complex but characterizable modifications to each. Our results demonstrate that these environmental components imprint distinct yet interrelated signatures on key observables, offering specific predictions for probing exotic black hole environments.
We present a unified investigation of black hole shadows, quasinormal modes (QNMs), and greybody factors (GBFs) for a static, spherically symmetric black hole within a composite environment of a modified Chaplygin-like dark fluid (MCDF) and a cloud of strings (CoS). We examine the structure of critical photon orbits and the corresponding optical appearance under spherical accretion. Using the Wentzel–Kramers–Brillouin (WKB) approximation, we compute the quasinormal frequencies and greybody spectra and explore their correspondence with the black hole shadows in the eikonal limit. A systematic parameter study demonstrates that the CoS intensity has the primary influence on the shadows, QNMs, and GBFs, whereas the MCDF parameters introduce more complex but characterizable modifications to each. Our results demonstrate that these environmental components imprint distinct yet interrelated signatures on key observables, offering specific predictions for probing exotic black hole environments.
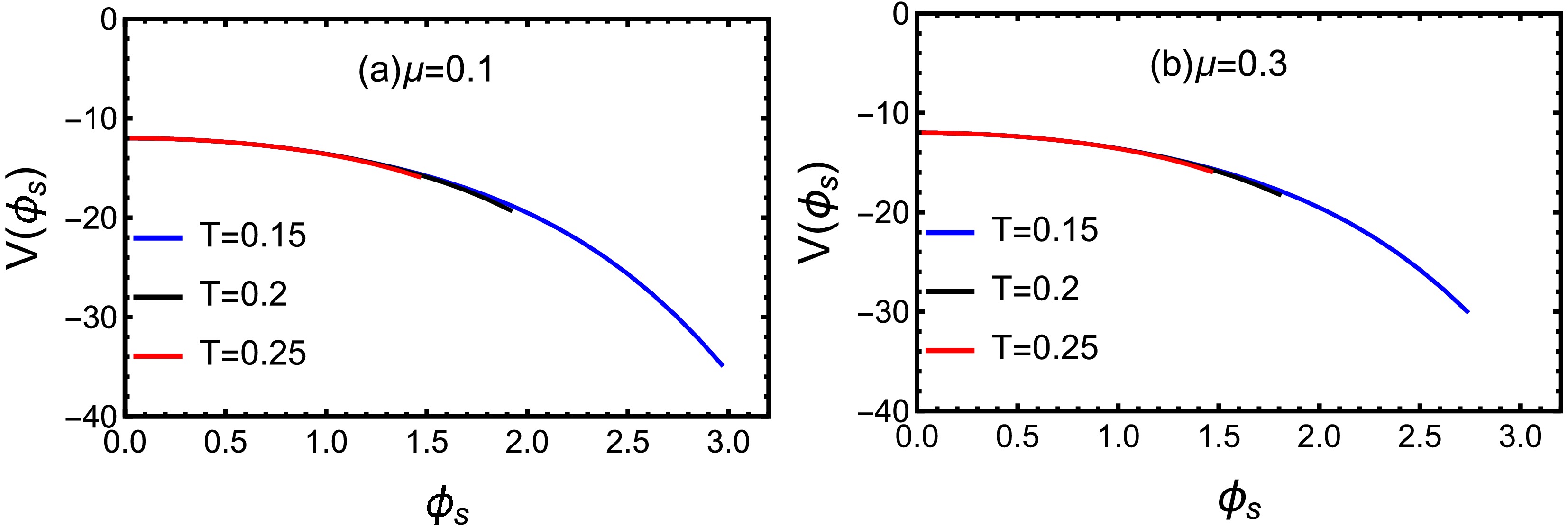
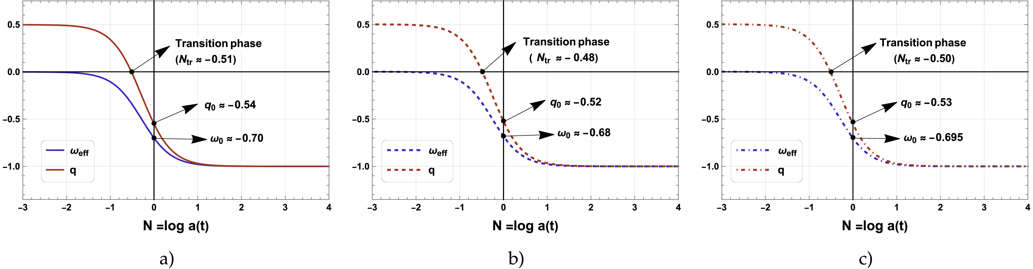
2026, 50(4): 045103. doi: 10.1088/1674-1137/ae3316
Abstract:
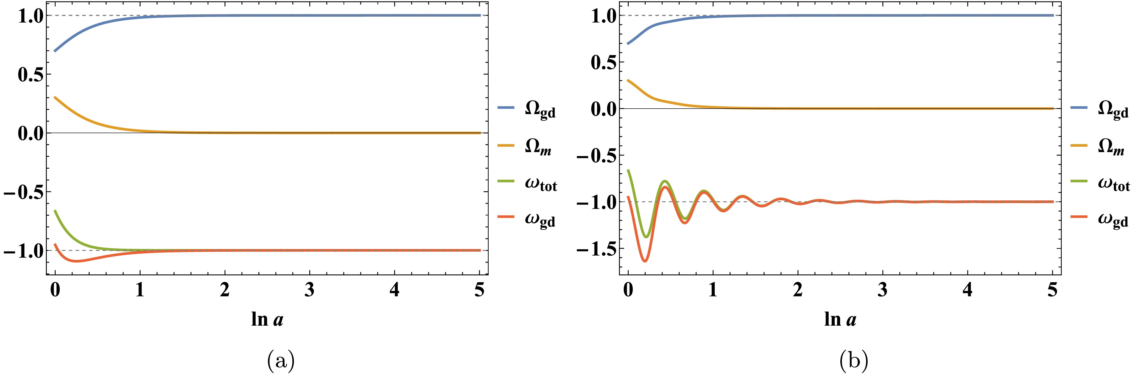
We investigated a time-varying cosmological constant model using recent BAO measurements from DESI DR2, combined with Type Ia supernova samples (Pantheon\begin{document}$^{+}$\end{document} , DES-Dovekie, and Union3) and CMB shift parameters, to constrain the \begin{document}$\Lambda(t)$\end{document} CDM model parameters via Markov Chain Monte Carlo analysis. We find that the interaction term Q(z) shows a sign change for all dataset combinations by crossing Q(z)=0, depending on the choice of the dataset: at low redshift, Q(z)<0, indicating vacuum energy decaying into dark matter, while at high redshift, Q(z)>0, corresponding to dark matter decaying into vacuum energy. The dynamical system analysis found three critical points, namely, \begin{document}$P_1,P_2$\end{document} , and \begin{document}$P_3$\end{document} . The resulting critical points, determined by the underlying cosmological parameters, correspond to distinct epochs in cosmic evolution. Depending on the parameter combinations, these points characterize various cosmological phases, ranging from an accelerated stiff matter-dominated era to late-time accelerated expansion. The stability of each critical point is analyzed using linear stability theory, with the relevant physical constraints on the cosmological parameters duly incorporated throughout the analysis. For each dataset combinations, the \begin{document}$\Lambda(t)$\end{document} CDM model predicts that \begin{document}$\omega_0 \gt -1$\end{document} , showing a preference for dynamical dark energy over the cosmological constant scenario with \begin{document}$\omega_0 = -1$\end{document} . Consequently, the model exhibits a transition phase in the range \begin{document}$N \equiv \log a(t) \approx -0.51$\end{document} to −0.48 and predicts \begin{document}$q_0$\end{document} in the range −0.54 to −0.52, with the precise transition point depending on the choice of dataset. Finally, the Bayesian evidence shows strong support for the \begin{document}$\Lambda(t)$\end{document} CDM model over ΛCDM.
We investigated a time-varying cosmological constant model using recent BAO measurements from DESI DR2, combined with Type Ia supernova samples (Pantheon
2026, 50(4): 045104. doi: 10.1088/1674-1137/ae368c
Abstract:
This study systematically investigates the cosmological dynamics of two well-motivated functional forms in\begin{document}$f(T,B)$\end{document} gravity within a flat Friedmann-Lemaître-Robertson-Walker (FLRW) universe. Here, T denotes the torsion scalar and B the boundary term, with the special choice \begin{document}$f(T,B) = - T + B$\end{document} reducing to the action of general relativity. We focus on a multiplicative power-law model \begin{document}$f(T,B) = c_1 T^\alpha B^\beta$\end{document} and an additive mixed power-law model \begin{document}$f(T,B) = c_2 T^\alpha + c_3 B^\beta$\end{document} . Using dynamical system techniques, we construct autonomous systems and identify de Sitter attractors that naturally explain late-time cosmic acceleration. Analytical stability conditions for these fixed points are derived, and numerical simulations reveal characteristic evolutionary patterns, such as spiral trajectories and damped oscillations, in the additive mixed power-law model. Furthermore, statefinder diagnostics are applied to quantitatively distinguish these models from the standard ΛCDM paradigm and other dark energy scenarios. The results indicate that \begin{document}$f(T,B)$\end{document} gravity offers a theoretically consistent and observationally distinguishable geometric framework for explaining cosmic acceleration, presenting a compelling alternative to conventional dark energy models.
This study systematically investigates the cosmological dynamics of two well-motivated functional forms in
2026, 50(4): 045105. doi: 10.1088/1674-1137/ae3be2
Abstract:
Recent studies suggest that dark energy may be dynamical rather than a mere cosmological constant Λ. In this work, we examine the viability of two physically well-motivated dynamical dark energy models—holographic dark energy (HDE) and Ricci dark energy (RDE)—by validating them with the latest observational data, including ACT cosmic microwave background anisotropies, DESI baryon acoustic oscillations, and DESY5 supernovae. Our analysis reveals a fundamental tension between early- and late-universe constraints within both frameworks: ACT favors a quintom scenario where the dark energy equation of state evolves from\begin{document}$ w>-1 $\end{document} at early times to \begin{document}$ w<-1 $\end{document} at late times, whereas DESI+DESY5 exhibits a distinct preference for quintessence where \begin{document}$ w>-1 $\end{document} across cosmic evolution. The RDE model fails to provide a coherent description of cosmic evolution, as it manifests severe tensions (exceeding \begin{document}$ 10\sigma $\end{document} significance) between early- and late-universe parameter reconstructions. Additionally, Bayesian evidence favors the ΛCDM model over both the aforementioned models. Our findings statistically exclude the original HDE and RDE models and uncover a severe discrepancy between early- and late-universe observations described by them, leading to the conclusion that the HDE and RDE models can be rejected based on current observational data.
Recent studies suggest that dark energy may be dynamical rather than a mere cosmological constant Λ. In this work, we examine the viability of two physically well-motivated dynamical dark energy models—holographic dark energy (HDE) and Ricci dark energy (RDE)—by validating them with the latest observational data, including ACT cosmic microwave background anisotropies, DESI baryon acoustic oscillations, and DESY5 supernovae. Our analysis reveals a fundamental tension between early- and late-universe constraints within both frameworks: ACT favors a quintom scenario where the dark energy equation of state evolves from
ISSN 1674-1137 CN 11-5641/O4
Original research articles, Ietters and reviews Covering theory and experiments in the fieids of
- Particle physics
- Nuclear physics
- Particle and nuclear astrophysics
- Cosmology
Author benefits
- A SCOAP3 participating journal - free Open Access publication for qualifying articles
- Average 24 days to first decision
- Fast-track publication for selected articles
- Subscriptions at over 3000 institutions worldwide
- Free English editing on all accepted articles
News
- CPC Announces 2025 Outstanding Reviewers
- Chinese Physics C Outstanding Reviewer Award 2023
- Impact factor of Chinese Physics C is 3.6 in 2022
- 2022 CPC Outstanding Reviewer Awards
- The 2023 Chinese New Year-Office closure
Cover Story
- Cover Story (Issue 4, 2026): Initial performance results of the JUNO detector
- Cover Story (Issue 3, 2026): Comprehensive investigation on baryon number violating nucleon decays involving an axion-like particle
- Cover Story (Issue 2, 2026) |The images of Brans-Dicke-Kerr type naked singularities
- Cover Story (Issue 1, 2026) A focused review of quintom cosmology: from quintom dark energy to quintom bounce
- Cover Story (Issue 11, 2025) The Earth-Magnet Assists DAMPE in Studying Cosmic Anti-Electrons









