-
In 2003, the Belle collaboration made a ground-breaking observation of
$ X(3872) $ in the$ \pi^+\pi^-J/\psi $ invariant mass spectrum [1]. Since then, extensive experimental and theoretical investigations have been conducted to understand the nature of this exotic state. In 2013/2015, the LHCb collaboration determined the quantum numbers of$ X(3872) $ to be$ J^{PC}=1^{++} $ in the process$ B^+ \to X(3872) K^+ $ [2, 3].$ X(3872) $ is located very close to the$ D^0 \bar{D}^{*0} $ threshold and has a large decay rate to the$ D^0 \bar{D}^{*0} $ pair, which suggests that it might be a loosely bound molecular state; therefore, its properties have been studied extensively [4−24].In 2021, the Belle collaboration observed weak evidence for two structures in the
$ \gamma \psi(2S) $ invariant mass distribution of the two-photon process$ \gamma\gamma \to\gamma \psi(2S) $ from the threshold to 4.2 GeV for the first time. One structure was seen at$ 3922.4\pm 6.5\pm 2.0\,\text{MeV} $ with a width of$ 22\pm 17\pm 4\,\text{MeV} $ , which is consistent with$ X(3915) $ or$ \chi_{c2}(3930) $ , and the other was seen at$ 4014.3\pm 4.0\pm 1.5 \; \text{MeV} $ with a width of$ 4\pm 11\pm 6\, \text{ MeV} $ , which is a new charmonium-like state with a global significance of$ 2.8\,\sigma $ [25].According to the heavy quark spin symmetry, there maybe exist an isoscalar
$ D^*\bar{D}^* $ molecular state$ X(4014) $ with$ J^{PC}=2^{++} $ as the partner of$ X(3872) $ [14, 17, 26−30], which has a narrow width similar to that of$ X(3872) $ [27, 28, 31], and recent studies on radiative decays have indicated that the branching ratio of$ X(4014)\to \gamma \psi(2S) $ to$ X(4014)\to\gamma J/ \psi $ is smaller than one, just like that of$ X(3872) $ [28, 32]. For example, the molecule candidate$ X(4014) $ has been studied by several phenomenological models [26, 27, 33, 34]. It is interesting to view this subject from the QCD directly and resort to the QCD sum rules to explore the branching fractions of all$ D^*\bar{D}^* $ molecular states in a comprehensive manner to elucidate the nature of the molecular states.The QCD sum rules have been successfully applied to study the mass spectrum of the exotic X, Y and Z states to determine their natures, whether they are hidden-charm (or hidden-bottom) tetraquark states or hadronic molecular states [9, 14, 24, 35−61]. In our unique scheme focusing on the energy scale dependence of the tetraquark (molecular) states, we have performed comprehensive studies of the hidden-charm molecular states with
$ J^{PC}=0^{++} $ ,$ 1^{+-} $ ,$ 2^{++} $ [9, 14, 17, 49], doubly-charm molecular (tetraquark) states with$ J^{P}=0^{+} $ ,$ 1^{+} $ ,$ 2^{+} $ [49, 50, 54, 55], hidden-charm tetraquark states with$ J^{PC}=0^{++} $ ,$ 0^{-+} $ ,$ 0^{--} $ ,$ 1^{--} $ ,$ 1^{-+} $ ,$ 1^{+-} $ ,$ 2^{++} $ [36, 37, 45, 48, 56], and hidden-bottom tetraquark states with$ J^{PC}=0^{++} $ ,$ 1^{+-} $ ,$ 2^{++} $ [59]. We have also made reasonable/suitable identifications of existing exotic states, and we observed that the scenario of tetraquark states could accommodate more exotic particles than that of molecular states.In our unique scheme of QCD sum rules, we prefer pole contributions of approximately (40-60)% and contributions of the vacuum condensates of
$ \leq 1 $ % or$ \ll 1 $ % in the Borel windows. The diquark-antidiquark type tetraquark states$ [uc]_A[\bar{d}\bar{c}]_A $ with$ J^{PC}=0^{++} $ ,$ 1^{+-} $ , and$ 2^{++} $ have masses$ 3.95 \pm 0.09\;\text{GeV} $ ,$ 4.02 \pm 0.09\;\text{GeV} $ , and$ 4.08 \pm 0.09\;\text{GeV} $ , respectively, where the subscript A denotes the axial-vector diquarks [37]. The central values of the masses have a hierarchy$ M_{2^{++}}> M_{1^{+-}}>M_{0^{++}} $ , and the spin-breaking effects are remarkable. While the$ D^*\bar{D}^* $ type molecular states with$ J^{PC}=0^{++} $ ,$ 1^{+-} $ , and$ 2^{++} $ have masses$ 4.02 \pm 0.09 \;\text{GeV} $ ,$ 4.02 \pm 0.09\;\text{GeV} $ , and$ 4.02 \pm 0.09\;\text{GeV} $ , respectively [14], the central values of the masses are almost degenerated, and the spin-breaking effects are small. We can assign$ Z_c(4020) $ as either a tetraquark state or molecular state with$ J^{PC}=1^{+-} $ if only the mass is concerned. We should bear in mind that, in the QCD sum rules, we choose the local four-quark currents, which potentially couple to the color$ \bar{3}3 $ -type or$ 11 $ -type tetraquark states, which are all compact objects. Although we refer to the$ 11 $ -type tetraquark states as the molecular states, they are not usually called molecular states [24].As the mass alone cannot identify a hadron unambiguously, it can only lead to a crude assessment, and we have to deal with the partial decay widths in detail. In Ref. [62], we studied the two-body strong decays of
$ Z_c(3900) $ as a tetraquark state with$ J^{PC}=1^{+-} $ by introducing rigorous quark-hadron duality in the three-point QCD sum rules for the first time. Thereafter, the rigorous duality has been successfully applied to study the strong decays of the exotic states$ X(3872) $ ,$ Z_{c}(4020) $ ,$ Z_{cs}(3985/4000) $ ,$ Z_{cs}(4123) $ ,$ Y(4500) $ ,$ X(6552) $ , etc., in the scenario of tetraquark states [51, 63−67]. In this study, we extend our previous works to explore the two-body strong decays of the$ D^*\bar{D}^* $ molecular states with$ J^{PC}=0^{++} $ ,$ 1^{+-} $ , and$ 2^{++} $ via the QCD sum rules based on the rigorous quark-hadron duality. In calculations, we consider both the connected and disconnected Feynman diagrams to ensure accuracy.The remainder of this article is organized as follows. In Section II, we obtain the QCD sum rules for the hadronic coupling constants of the molecular states. In Section III, we present the numerical results and discussion. Finally, we summarize our findings in Section IV.
-
First, let us give the three-point correlation functions:
$ \begin{aligned}[b] \Pi^1(p,q) =\;& {\rm i}^2 \int {\rm d}^4 x {\rm d}^4 y {\rm e}^{{\rm i}p\cdot x} {\rm e}^{{\rm i}q\cdot y} \langle0| T\left\{J^{\eta_c}(x) J^{\pi}(y) J^{0\dagger}(0)\right\}|0\rangle \, , \\ \Pi^2_{\alpha}(p,q) =\;& {\rm i}^2 \int {\rm d}^4 x {\rm d}^4 y {\rm e}^{{\rm i}p\cdot x} {\rm e}^{{\rm i}q\cdot y} \langle0| T\left\{J^{\chi_{c1}}_{\alpha}(x) J^{\pi}(y) J^{0\dagger}(0)\right\}|0\rangle \, , \\ \Pi^3_{\alpha\beta}(p,q) =\;& {\rm i}^2 \int {\rm d}^4 x {\rm d}^4 y {\rm e}^{{\rm i}p\cdot x} {\rm e}^{{\rm i}q\cdot y} \langle0| T\left\{J^{J/\psi}_{\alpha}(x) J^{\rho}_{\beta}(y) J^{0\dagger}(0)\right\}|0\rangle \, , \end{aligned} $

(1) $ \begin{aligned}[b] &\Pi^4_{\alpha\mu\nu}(p,q) = {\rm i}^2 \int {\rm d}^4 x {\rm d}^4 y {\rm e}^{{\rm i}p\cdot x} {\rm e}^{{\rm i}q\cdot y} \langle0|T\left\{J^{J/\psi}_{\alpha}(x) J^{\pi}(y) J_{\mu\nu}^{1\dagger}(0) \right\}|0\rangle \, , \\& \Pi^5_{\beta\mu\nu}(p,q) = {\rm i}^2 \int {\rm d}^4 x {\rm d}^4 y {\rm e}^{{\rm i}p\cdot x} {\rm e}^{{\rm i}q\cdot y} \langle0|T\left\{J^{\eta_c}(x) J^{\rho}_{\beta}(y) J_{\mu\nu}^{1\dagger}(0)\right\}|0\rangle \, , \\ &\Pi^6_{\alpha\beta\mu\nu}(p,q) = {\rm i}^2 \int {\rm d}^4 x {\rm d}^4 y {\rm e}^{{\rm i}p\cdot x} {\rm e}^{{\rm i}q\cdot y} \langle0|T\left\{J^{h_c}_{\alpha\beta}(x) J^{\pi}(y) J_{\mu\nu}^{1\dagger}(0)\right\}|0\rangle \, , \end{aligned} $

(2) $ \begin{aligned}[b] &\Pi^7_{\mu\nu}(p,q) = {\rm i}^2 \int {\rm d}^4 x {\rm d}^4 y {\rm e}^{{\rm i}p\cdot x} {\rm e}^{{\rm i}q\cdot y} \langle0| T\left\{J^{\eta_c}(x) J^{\pi}(y) J_{\mu\nu}^{2\dagger}(0) \right\}|0\rangle \, , \\& \Pi^8_{\alpha\mu\nu}(p,q) = {\rm i}^2 \int {\rm d}^4 x {\rm d}^4 y {\rm e}^{{\rm i}p\cdot x} {\rm e}^{{\rm i}q\cdot y} \langle0| T\left\{J^{\chi_{c1}}_{\alpha}(x) J^{\pi}(y) J_{\mu\nu}^{2\dagger}(0)\right\}|0\rangle \, , \\& \Pi^9_{\alpha\beta\mu\nu}(p,q) = {\rm i}^2 \int {\rm d}^4 x {\rm d}^4 y {\rm e}^{{\rm i}p\cdot x} {\rm e}^{{\rm i}q\cdot y} \langle0| T\left\{J^{J/\psi}_{\alpha}(x) J^{\rho}_{\beta}(y) J_{\mu\nu}^{2\dagger}(0) \right\}|0\rangle \, , \end{aligned} $

(3) where the currents
$ \begin{aligned}[b] J^{\eta_c}(x) =\;& \bar{c}(x){\rm i}\gamma_5 c(x)\, , \\ J^{\pi}(x)=\;&\bar{u}(x){\rm i}\gamma_5 d(x)\, ,\\ J^{J/\psi}_{\alpha}(x) =\;& \bar{c}(x)\gamma_\alpha c(x)\, , \\ J^{\rho}_{\alpha}(x)=\;&\bar{u}(x)\gamma_\alpha d(x)\, ,\\ J^{\chi_{c1}}_{\alpha}(x) =\;& \bar{c}(x)\gamma_\alpha \gamma_5 c(x)\, , \\ J^{h_c}_{\alpha\beta}(x) =\;& \bar{c}(x)\sigma_{\alpha\beta} c(x)\, , \end{aligned} $

(4) interpolate the mesons
$ \eta_c $ , π,$ J/\psi $ , ρ,$ \chi_{c1} $ , and$ h_c $ , respectively, and the currents$ \begin{aligned}[b] &J^0(x) = \bar{u}(x)\gamma_\mu c(x)\, \bar{c}(x)\gamma^\mu d(x) \, , \\ &J_{\mu\nu}^1(x) =\frac{1}{\sqrt{2}}\Big[\bar{u}(x)\gamma_\mu c(x)\, \bar{c}(x)\gamma_\nu d(x)-\bar{u}(x)\gamma_\nu c(x)\, \bar{c}(x) \gamma_\mu d(x) \Big] \, ,\\& J_{\mu\nu}^2(x) =\frac{1}{\sqrt{2}}\Big[\bar{u}(x)\gamma_\mu c(x)\, \bar{c}(x)\gamma_\nu d(x)+\bar{u}(x)\gamma_\nu c(x)\, \bar{c}(x) \gamma_\mu d(x) \Big] \, , \end{aligned} $

(5) interpolate the hidden-charm molecular states with spins
$ J=0 $ ,$ 1 $ , and$ 2 $ , respectively. We consider these correlation functions to study the hadronic coupling constants$ G_{X_0\eta_c \pi} $ ,$ G_{X_0\chi_{c1} \pi} $ ,$ G_{X_0J/\psi \rho} $ ,$ G_{X_1J/\psi \pi} $ ,$ G_{X_1\eta_c \rho} $ ,$ G_{X_1h_c \pi} $ ,$ G_{X_2\eta_c \pi} $ ,$ G_{X_2\chi_{c1} \pi} $ , and$ G_{X_2J/\psi \rho} $ , respectively. In this study, we take the isospin limit for simplicity.We insert a complete set of intermediate hadronic states with the same quantum numbers as the currents into Eqs.(1)–(3) to analyze the correlation functions at the hadron side; then, we explicitly isolate the contributions of the ground states [68, 69]:
$ \begin{aligned}[b] \Pi^1(p,q)=\;& \frac{\lambda_{X_0} f_{\eta_c} m_{\eta_c}^2 f_{\pi} m_{\pi}^2 G_{X_0\eta_c \pi} }{2m_c(m_u+m_d)(m_{X_0}^2-p^{\prime2})(m_{\eta_c}^2-p^2)(m_{\pi}^2-q^2)} + \cdots\, ,\\ =\;&\Pi_{1}(p^{\prime2},p^2,q^2) + \cdots\, , \end{aligned} $

(6) $ \begin{aligned}[b] \Pi^2_{\alpha}(p,q)=\;& \frac{\lambda_{X_0} f_{\chi_{c1}} m_{\chi_{c1}} f_{\pi} m_{\pi}^2G_{X_0\chi_{c1}\pi} }{(m_u+m_d)(m_{X_0}^2-p^{\prime2})(m_{\chi_{c1}}^2-p^2)(m_{\pi}^2-q^2)}\,{\rm i}q_\alpha + \cdots\, , \\ =\;&\Pi_{2}(p^{\prime2},p^2,q^2)\, ({\rm i}q_\alpha) + \cdots\, , \end{aligned} $

(7) $ \begin{aligned}[b] \Pi^3_{\alpha\beta}(p,q)=\;& \frac{\lambda_{X_0} f_{J/\psi} m_{J/\psi} f_{\rho}m_{\rho} G_{X_0J/\psi \rho} }{(m_{X_0}^2-p^{\prime2})(m_{J/\psi}^2-p^2)(m_{\rho}^2-q^2)} g_{\alpha\beta} + \cdots\, , \\ =\;&\Pi_{3}(p^{\prime2},p^2,q^2)\, g_{\alpha\beta} + \cdots\, , \end{aligned} $

(8) $ P_{A}^{\mu\nu\alpha^\prime\beta^\prime}(p^\prime)\,\epsilon_{\alpha^\prime\beta^\prime}{}^{\alpha\tau}\,p_\tau\,\Pi^4_{\alpha\mu\nu}(p,q)= \widetilde{\Pi}_4(p^{\prime2},p^2,q^2)\left(p^2+p\cdot q\right)\, , $

(9) $ \begin{aligned}[b] \Pi_4(p^{\prime2},p^2,q^2)=\;&\widetilde{\Pi}_4(p^{\prime2},p^2,q^2)\,p\cdot q,\\ =\;&\frac{\lambda_{X_1} f_{J/\psi}m_{J/\psi}f_{\pi} m_{\pi}^2 G_{X_1J/\psi \pi} }{m_{X_1}(m_u+m_d)(m_{X_1}^2-p^{\prime2})(m_{J/\psi}^2-p^2)(m_{\pi}^2-q^2)}\\&\times p\cdot q + \cdots\ , \end{aligned} $

(10) $ P_{A}^{\mu\nu\alpha^\prime\beta^\prime}(p^\prime)\,\epsilon_{\alpha^\prime\beta^\prime}{}^{\beta\tau}\,q_\tau\,\Pi^5_{\beta\mu\nu}(p,q);= \widetilde{\Pi}_5(p^{\prime2},p^2,q^2)\left(p\cdot q+q^2\right)\, , $

(11) $ \begin{aligned}[b] \Pi_5(p^{\prime2},p^2,q^2)=\;&\widetilde{\Pi}_5(p^{\prime2},p^2,q^2)\,p\cdot q,\\ =\;&\frac{\lambda_{X_1} f_{\eta_c}m_{\eta_c}^2f_{\rho} m_{\rho} G_{X_1\eta_c \rho} }{2m_cm_{X_1}(m_{X_1}^2-p^{\prime2})(m_{\eta_c}^2-p^2)(m_{\rho}^2-q^2)}\,\\&\times p\cdot q + \cdots\, , \end{aligned} $

(12) $ \begin{aligned}[b]& P_{A}^{\mu\nu\mu^\prime\nu^\prime}(p)P_{A}^{\alpha\beta\alpha^\prime\beta^\prime}(p^\prime)\,\epsilon_{\mu^\prime\nu^\prime\alpha^\prime\beta^\prime}\, \Pi^6_{\alpha\beta\mu\nu}(p,q)\\=\;&{\rm i}\widetilde{\Pi}_6(p^{\prime2},p^2,q^2)\left(p\cdot q^2-p^2q^2\right)\, , \end{aligned} $

(13) $ \begin{aligned}[b] \Pi_6(p^{\prime2},p^2,q^2)=\;&\widetilde{\Pi}_6(p^{\prime2},p^2,q^2)\,{\rm i}p \cdot q^2\, ,\\ =\;&\frac{2\lambda_{X_1} f_{h_c}f_{\pi} m_{\pi}^2G_{X_1h_c \pi} }{9m_{X_1}(m_u+m_d)(m_{X_1}^2-p^{\prime2})(m_{h_c}^2-p^2)(m_{\pi}^2-q^2)}\\&\times {\rm i}p \cdot q^2+ \cdots\, , \end{aligned} $

(14) $ \begin{aligned}[b] \Pi^7_{\mu\nu}(p,q)=\;& -\frac{\lambda_{X_2}f_{\eta_c} m_{\eta_c}^2f_{\pi} m_{\pi}^2 (m_{X_2}^2-m_{\eta_c}^2) G_{X_2\eta_c \pi} }{2m_c m_{X_2}^2 (m_u+m_d)(m_{X_2}^2-p^{\prime2})(m_{\eta_c}^2-p^2)(m_{\pi}^2-q^2)}\\&\times p_\mu q_\nu + \cdots\, , \\ =\;&\Pi_{7}(p^{\prime2},p^2,q^2)\left(-p_{\mu}q_{\nu}\right) + \cdots\, , \end{aligned} $

(15) $ \begin{aligned}[b] \Pi^8_{\alpha\mu\nu}(p,q)=\;& \frac{\lambda_{X_2} f_{\chi_{c1}} m_{\chi_{c1}} f_{\pi} m_{\pi}^2 G_{X_2\chi_{c1}\pi} }{(m_u+m_d)(m_{X_2}^2-p^{\prime2})(m_{\chi_{c1}}^2-p^2)(m_{\pi}^2-q^2)}\\&\times\left(\frac{q_\alpha g_{\mu\nu}}{3}-\frac{q_\mu g_{\alpha\nu}}{2}-\frac{q_\nu g_{\alpha\mu}}{2}\right) + \cdots\, , \\ =\;&\Pi_{8}(p^{\prime2},p^2,q^2)\left(\frac{q_\alpha g_{\mu\nu}}{3}-\frac{q_\mu g_{\alpha\nu}}{2}-\frac{q_\nu g_{\alpha\mu}}{2}\right) + \cdots\, , \end{aligned} $

(16) $ \begin{aligned}[b] \Pi^9_{\alpha\beta\mu\nu}(p,q)=\;& -\frac{\lambda_{X_2} f_{J/\psi} m_{J/\psi} f_{\rho} m_{\rho} G_{X_2J/\psi\rho} }{2(m_{X_2}^2-p^{\prime2})(m_{J/\psi}^2-p^2)(m_{\rho}^2-q^2)}\\&\times\left( g_{\alpha\mu}g_{\beta\nu}+g_{\alpha\nu}g_{\beta\mu}\right) + \cdots\, , \\ =\;&\Pi_{9}(p^{\prime2},p^2,q^2)\left( -g_{\alpha\mu}g_{\beta\nu}-g_{\alpha\nu}g_{\beta\mu}\right) + \cdots\, , \end{aligned} $

(17) where
$ \begin{eqnarray} P_{A}^{\mu\nu\alpha\beta}(p)&=&\frac{1}{6}\left( g^{\mu\alpha}-\frac{p^\mu p^\alpha}{p^2}\right)\left( g^{\nu\beta}-\frac{p^\nu p^\beta}{p^2}\right)\, , \end{eqnarray} $

(18) and the decay constants or pole residues are defined by
$ \begin{aligned}[b] \langle0|J^{\eta_c}(0)|\eta_c(p)\rangle=\;&\frac{f_{\eta_c} m_{\eta_c}^2}{2m_c} \,\, , \\ \langle0|J^{\pi}(0)|\pi(p)\rangle=\;&\frac{f_{\pi} m_{\pi}^2}{m_u+m_d} \,\, , \\ \langle0|J_{\mu}^{J/\psi}(0)|J/\psi(p)\rangle=\;&f_{J/\psi} m_{J/\psi} \,\xi_\mu \,\, , \\ \langle0|J_{\nu}^{\rho}(0)|\rho(p)\rangle=\;&f_{\rho} m_{\rho} \,\zeta_\nu \,\, , \\ \langle0|J_{\mu\nu}^{h_c}(0)|h_c(p)\rangle=\;&f_{h_c} \epsilon_{\mu\nu\alpha\beta}\, p^\alpha \xi^\beta \,\, , \\ \langle0|J_{\mu}^{\chi_c}(0)|\chi_c(p)\rangle=\;&f_{\chi_c} m_{\chi_c}\, \zeta_\mu \,\, , \end{aligned} $

(19) $ \begin{aligned}[b] \langle 0|J^0(0)|X_0 (p)\rangle =\;& \lambda_{X_0} \, , \\ \langle 0|J^1_{\mu\nu}(0)|X_1(p)\rangle =\;& \tilde{\lambda}_{X_1} \, \epsilon_{\mu\nu\alpha\beta} \, \varepsilon^{\alpha}p^{\beta}\, , \\ \langle 0|J^2_{\mu\nu}(0)|X_2 (p)\rangle =\;& \lambda_{X_2} \, \varepsilon_{\mu\nu} \, , \end{aligned} $

(20) $ \tilde{\lambda}_{X_1}m_{X_1}=\lambda_{X_1} $ , the hadronic coupling constants are defined by$ \begin{aligned}[b] \langle \eta_c(p)\pi(q)|X_0(p)\rangle=\;& {\rm i} G_{X_0\eta_c\pi}\, , \\ \langle J/\psi(p)\rho(q)|X_0(p)\rangle=\;& {\rm i} \xi^* \cdot \xi^* \, G_{X_0J/\psi \rho}\, , \\ \langle \chi_c(p)\pi(q)|X_0(p)\rangle=\;& \zeta^* \cdot q \,G_{X_0\chi_c \pi}\, , \end{aligned} $

(21) $ \begin{aligned}[b] \langle \eta_c(p)\rho(q)|X_1(p)\rangle=\;& {\rm i}\xi^* \cdot \varepsilon \,G_{X_1\eta_c \rho}\, , \\ \langle J/\psi(p)\pi(q)|X_1(p)\rangle=\;& {\rm i}\xi^* \cdot \varepsilon \,G_{X_1J/\psi\pi}\, , \\ \langle h_c(p)\pi(q)|X_1(p)\rangle=\;& \epsilon^{\lambda\tau\rho\sigma}p_{\lambda}\xi^*_{\tau}p^\prime_\rho\varepsilon_\sigma \,G_{X_1h_c \pi}\, , \end{aligned} $

(22) $ \begin{aligned}[b] \langle \eta_c(p)\pi(q)|X_2(p)\rangle=\;& -{\rm i} \varepsilon_{\mu\nu}p^{\mu}q^{\nu} \,G_{X_2\eta_c\pi}\, , \\ \langle \chi_c(p)\pi(q)|X_2(p)\rangle=\;& -{\rm i} \varepsilon_{\alpha\beta} \xi^{*\alpha} q^{\beta}\,G_{X_2\chi_c\pi}\, , \\ \langle J/\psi(p)\rho(q)|X_2(p)\rangle=\;& -{\rm i} \varepsilon^{\alpha\beta} \xi^*_\alpha \xi^*_\beta \, G_{X_2J/\psi \rho}\, , \end{aligned} $

(23) and
$ \varepsilon_{\alpha} $ and$ \varepsilon_{\mu\nu} $ represent the polarization vectors of the tetraquark molecular states with spins$ J=1 $ and$ 2 $ , respectively.$ \xi_\mu $ and$ \zeta_\nu $ represent the polarization vectors of the traditional mesons with spin$ J=1 $ . Because the currents$ J_{\alpha\beta}^{h_c}(x) $ and$ J^1_{\mu\nu}(x) $ potentially couple to charmonia/tetraquarks with both$ J^{PC}=1^{+-} $ and$ 1^{--} $ , we introduce the projector$ P_{A}^{\mu\nu\alpha\beta}(p) $ to extract the states with$ J^{PC}=1^{+-} $ [37, 48, 59]. In this study, we investigate the hadronic coupling constants using the components$ \Pi_{i}(p^{\prime2},p^2,q^2) $ with$ i=1 $ ,$ \cdots $ ,$ 9 $ , aiming to avoid any contamination.We obtain the hadronic spectral densities
$ \rho_H(s^\prime,s,u) $ through the triple dispersion relation$ \begin{eqnarray} \Pi_{H}(p^{\prime2},p^2,q^2)&=&\int_{4m_c^2}^\infty {\rm d}s^{\prime} \int_{4m_c^2}^\infty {\rm d}s \int_{0}^\infty {\rm d}u \frac{\rho_{H}(s^\prime,s,u)}{(s^\prime-p^{\prime2})(s-p^2)(u-q^2)}\, , \end{eqnarray} $

(24) where
$ \begin{eqnarray} \rho_{H}(s^\prime,s,u)&=&{\lim_{\epsilon_3\to 0}}\,\,{\lim_{\epsilon_2\to 0}} \,\,{\lim_{\epsilon_1\to 0}}\,\,\frac{ {\rm Im}_{s^\prime}\, {\rm Im}_{s}\,{\rm Im}_{u}\,\Pi_{H}(s^\prime+ {\rm i}\epsilon_3,s+ {\rm i} \epsilon_2,u+ {\rm i}\epsilon_1) }{\pi^3} \, , \end{eqnarray} $

(25) and subscript H represents the components
$ \Pi_{i}(p^{\prime2},p^2,q^2) $ with$ i=1-9 $ on the hadron side. Although the variables$ p^\prime $ , p, and q have the relation$ p^\prime=p+q $ , it is feasible to take$ p^{\prime2} $ ,$ p^2 $ , and$ q^2 $ as free variables to determine the spectral densities, and we can indeed obtain a nonzero imaginary part for all variables$ p^{\prime2} $ ,$ p^2 $ , and$ q^2 $ .On the QCD side, we contract all quark fields with Wick's theorem and consider the perturbative terms, quark condensate, gluon condensate, and quark-gluon mixed condensate contributions. We obtain the QCD spectral densities of components
$ \Pi_{i}(p^{\prime2},p^2,q^2) $ through the double dispersion relation$ \begin{eqnarray} \Pi_{\rm QCD}(p^{\prime2},p^2,q^2)&=& \int_{4m_c^2}^\infty {\rm d}s \int_{0}^\infty {\rm d}u \frac{\rho_{\rm QCD}(p^{\prime2},s,u)}{(s-p^2)(u-q^2)}\, , \end{eqnarray} $

(26) as
$ \begin{eqnarray} {\rm lim}_{\epsilon_3 \to 0}{\rm Im}_{s^\prime}\,\Pi_{\rm QCD}(s^\prime+ {\rm i}\epsilon_3,p^2,q^2)&=&0\, . \end{eqnarray} $

(27) On the hadron side, there is a triple dispersion relation (see Eq. (24)), while on the QCD side, there is only a double dispersion relation (see Eq. (26)). These relations do not match each other channel by channel without some tweaks. To achieve this goal, we first integrate over
$ {\rm d}s^\prime $ on the hadron side and then match the hadron side with the QCD side of the components$ \Pi_{i}(p^{\prime2},p^2,q^2) $ below the continuum thresholds$ s_0 $ and$ u_0 $ , respectively, to rigorously establish quark-hadron duality [62, 70]:$ \begin{eqnarray} \int_{4m_c^2}^{s_0}{\rm d}s \int_{0}^{u_0}{\rm d}u \left[ \int_{4m_c^2}^{\infty}{\rm d}s^\prime \frac{\rho_H(s^\prime,s,u)}{(s^\prime-p^{\prime2})(s-p^2)(u-q^2)} \right] &=&\int_{4m_c^2}^{s_{0}}{\rm d}s \int_{0}^{u_0}{\rm d}u \frac{\rho_{QCD}(s,u)}{(s-p^2)(u-q^2)} \, . \\ \end{eqnarray} $

(28) For clarity, we write the hadron representation explicitly as
$ \Pi_{1}(p^{\prime2},p^2,q^2)= \frac{\lambda_{X_0} f_{\eta_c} m_{\eta_c}^2 f_{\pi} m_{\pi}^2 G_{X_0\eta_c \pi} }{2m_c(m_u+m_d)(m_{X_0}^2-p^{\prime2})(m_{\eta_c}^2-p^2)(m_{\pi}^2-q^2)} +\frac{C_1 }{(m_{\eta_c}^2-p^2)(m_{\pi}^2-q^2)} \, , $

(29) $ \Pi_{2}(p^{\prime2},p^2,q^2)= \frac{\lambda_{X_0} f_{\chi_{c1}} m_{\chi_{c1}} f_{\pi} m_{\pi}^2G_{X_0\chi_{c1}\pi} }{(m_u+m_d)(m_{X_0}^2-p^{\prime2})(m_{\chi_{c1}}^2-p^2)(m_{\pi}^2-q^2)} +\frac{C_2 }{(m_{\chi_{c1}}^2-p^2)(m_{\pi}^2-q^2)} \, ,$

(30) $ \Pi_{3}(p^{\prime2},p^2,q^2)= \frac{\lambda_{X_0} f_{J/\psi} m_{J/\psi} f_{\rho}m_{\rho} G_{X_0J/\psi \rho} }{(m_{X_0}^2-p^{\prime2})(m_{J/\psi}^2-p^2)(m_{\rho}^2-q^2)} +\frac{C_3 }{(m_{J/\psi}^2-p^2)(m_{\rho}^2-q^2)} \, , $

(31) $ \Pi_{4}(p^{\prime2},p^2,q^2)=\frac{\lambda_{X_1} f_{J/\psi}m_{J/\psi}f_{\pi} m_{\pi}^2 G_{X_1J/\psi \pi} }{m_{X_1}(m_u+m_d)(m_{X_1}^2-p^{\prime2})(m_{J/\psi}^2-p^2)(m_{\pi}^2-q^2)}+\frac{C_4 }{(m_{J/\psi}^2-p^2)(m_{\pi}^2-q^2)} \, , $

(32) $ \Pi_{5}(p^{\prime2},p^2,q^2)=\frac{\lambda_{X_1} f_{\eta_c}m_{\eta_c}^2f_{\rho} m_{\rho} G_{X_1 \eta_c \rho} }{2m_cm_{X_1}(m_{X_1}^2-p^{\prime2})(m_{\eta_c}^2-p^2)(m_{\rho}^2-q^2)}+\frac{C_5 }{(m_{\eta_c}^2-p^2)(m_{\rho}^2-q^2)} \, ,$

(33) $ \Pi_{6}(p^{\prime2},p^2,q^2)=\frac{2 \lambda_{X_1} f_{h_c}f_{\pi} m_{\pi}^2G_{X_1h_c \pi} }{9m_{X_1}(m_u+m_d)(m_{X_1}^2-p^{\prime2})(m_{h_c}^2-p^2)(m_{\pi}^2-q^2)}+\frac{C_6 }{(m_{h_c}^2-p^2)(m_{\pi}^2-q^2)} \, , $

(34) $ \Pi_{7}(p^{\prime2},p^2,q^2)=\frac{\lambda_{X_2}f_{\eta_c} m_{\eta_c}^2f_{\pi} m_{\pi}^2 (m_{X_2}^2-m_{\eta_c}^2) G_{X_2\eta_c \pi} }{2m_c m_{X_2}^2(m_u+m_d)(m_{X_2}^2-p^{\prime2})(m_{\eta_c}^2-p^2)(m_{\pi}^2-q^2)}+\frac{C_7 }{(m_{\eta_c}^2-p^2)(m_{\pi}^2-q^2)} \, , $

(35) $ \Pi_{8}(p^{\prime2},p^2,q^2)= \frac{\lambda_{X_2} f_{\chi_{c1}} m_{\chi_{c1}} f_{\pi} m_{\pi}^2 G_{X_2\chi_{c1}\pi} }{(m_u+m_d)(m_{X_2}^2-p^{\prime2})(m_{\chi_{c1}}^2-p^2)(m_{\pi}^2-q^2)} +\frac{C_8 }{(m_{\chi_{c1}}^2-p^2)(m_{\pi}^2-q^2)} \, , $

(36) $ \Pi_{9}(p^{\prime2},p^2,q^2)=\frac{\lambda_{X_2} f_{J/\psi} m_{J/\psi} f_{\rho} m_{\rho} G_{X_2J/\psi\rho} }{2(m_{X_2}^2-p^{\prime2})(m_{J/\psi}^2-p^2)(m_{\rho}^2-q^2)}+\frac{C_9 }{(m_{J/\psi}^2-p^2)(m_{\rho}^2-q^2)} \, , $

(37) where we introduce the parameters
$ C_{i} $ with$ i=1-9 $ to represent all the contributions involving higher resonances and continuum states in the$ s^\prime $ channel.We set
$ p^{\prime2}=p^2 $ in the components$ \Pi_H(p^{\prime 2},p^2,q^2) $ and perform double Borel transformation on the variables$ P^2=-p^2 $ and$ Q^2=-q^2 $ , respectively. The spectral densities$ \rho_{H}(s^\prime,s,u) $ and$ \rho_{QCD}(s,u) $ are physical, while the variables$ p^{\prime2} $ ,$ p^2 $ , and$ q^2 $ in Eq.(28) are free parameters, as we perform the operator product expansion at the large space-like regions$ -p^2 \to \infty $ and$ -q^2 \to \infty $ . Generally speaking, we can set$ p^{\prime2}=\alpha p^2 $ or$ \alpha q^2 $ with α to as a finite quantity. Considering the mass poles at$ s^\prime=m^2_{X_{0,1,2}} $ ,$ s= m^2_{\eta_c,J/\psi,\chi_{c1},h_c} $ , and$ u=m^2_{\pi,\rho} $ , we have the approximate relation$ s^\prime=s $ and set$ \alpha=1 $ .Then, we set
$ T_1^2=T_2^2=T^2 $ to obtain nine QCD sum rules:$ \begin{aligned}[b] &\frac{\lambda_{X_0\eta_c \pi} G_{X_0\eta_c\pi}}{ {m}^2_{X_0}-m^2_{\eta_c}}\left[\exp\left(-\frac{m^2_{\eta_c}}{T^2}\right) -\exp\left(-\frac{{m}^2_{X_0}}{T^2}\right) \right]\\&\times \exp\left(-\frac{m^2_{\pi}}{T^2}\right)+C_{1} \exp\left(-\frac{m^2_{\eta_c}}{T^2}-\frac{m^2_{\pi}}{T^2}\right) \\ =\;&-\frac{3}{64\pi^4} \int^{s_{\eta_c}^0}_{4m^2_c} {\rm d}s \int^{s_{\pi}^0}_{0} {\rm d}u su \sqrt{1-\frac{4m^2_c}{s}} \exp\left(-\frac{s+u}{T^2}\right) \\ &-\frac{ m^4_c }{8\pi^2}\langle\frac{\alpha_{s}GG}{\pi}\rangle \int^{s_{\eta_c}^0}_{4m^2_c} {\rm d}s \int^{s_{\pi}^0}_{0} {\rm d}u\frac{su \left(2m^2_c-s\right)} { \sqrt{s\left(s-4m^2_c\right)}^5} \exp\left(-\frac{s+u}{T^2}\right) \\ &-\frac{ m^2_c }{16\pi^2}\langle\frac{\alpha_{s}GG}{\pi}\rangle \int^{s_{\eta_c}^0}_{4m^2_c} {\rm d}s \int^{s_{\pi}^0}_{0} {\rm d}u\frac{u \left(m^2_c-s\right)} { \sqrt{s\left(s-4m^2_c\right)}^3}\\&\times \exp\left(-\frac{s+u}{T^2}\right) \, , \end{aligned} $

(38) where we introduce the notation
$ \begin{eqnarray} \lambda_{X_0\eta_c\pi}&=\frac{\lambda_{X_0} f_{\eta_c} m^2_{\eta_c}f_{\pi} m^2_{\pi}}{2m_c(m_u+m_d)}\, , \end{eqnarray} $

(39) and the other eight QCD sum rules are given explicitly in the Appendix. There exists an unknown parameter
$ C_i $ in each QCD sum rule. We take$ C_{i} $ as free parameters and adjust the suitable values to obtain flat Borel platforms for the hadronic coupling constants [62−65, 70]. In calculations, we observe that there exist endpoint divergences at the thresholds$ s=4m_c^2 $ due to powers of$ s-4m_c^2 $ in the denominators. Thus, we make the replacements$ s-4m_c^2\to s-4m_c^2+\Delta^2 $ with$ \Delta^2=m_c^2 $ to regulate the divergences [71, 72]. As the gluon and quark-gluon mixed condensates make small contributions, such regulations work well. -
On the QCD sides, we take the standard gluon condensate
$ \langle \frac{\alpha_sGG}{\pi}\rangle=0.012\pm0.004\,\text{GeV}^4 $ [68, 69, 73] and$ \overline{MS} $ mass$ m_{c}(m_c)=(1.275\pm0.025)\,\text{GeV} $ from the Particle Data Group [74]. We also take the conventional vacuum condensates$ \langle \bar{q}q \rangle=-(0.24\pm 0.01\, \text{GeV})^3 $ ,$ \langle\bar{q}g_s\sigma G q \rangle=m_0^2\langle \bar{q}q \rangle $ ,$ m_0^2=(0.8 \pm 0.1)\,\text{GeV}^2 $ at the energy scale$ \mu=1\, \text{GeV} $ [68, 69, 73]. We set$ m_u=m_d=0 $ and take account of the energy-scale dependence from re-normalization group equation,$ \begin{aligned}[b]& \langle\bar{q}q \rangle(\mu)=\langle\bar{q}q \rangle({\rm 1GeV})\left[\frac{\alpha_{s}({\rm 1GeV})}{\alpha_{s}(\mu)}\right]^{\frac{12}{33-2n_f}}\, , \\ & \langle\bar{q}g_s \sigma Gq \rangle(\mu)=\langle\bar{q}g_s \sigma Gq \rangle({\rm 1GeV})\left[\frac{\alpha_{s}({\rm 1GeV})}{\alpha_{s}(\mu)}\right]^{\frac{2}{33-2n_f}}\, , \\& m_c(\mu)=m_c(m_c)\left[\frac{\alpha_{s}(\mu)}{\alpha_{s}(m_c)}\right]^{\frac{12}{33-2n_f}} \, ,\\ & \alpha_s(\mu)=\frac{1}{b_0t}\left[1-\frac{b_1}{b_0^2}\frac{\log t}{t} +\frac{b_1^2(\log^2{t}-\log{t}-1)+b_0b_2}{b_0^4t^2}\right]\, , \end{aligned} $

(40) where
$ t=\log \frac{\mu^2}{\Lambda^2} $ ;$ b_0=\dfrac{33-2n_f}{12\pi} $ ;$ b_1=\dfrac{153-19n_f}{24\pi^2} $ ;$ b_2=\dfrac{2857-\dfrac{5033}{9}n_f+\dfrac{325}{27}n_f^2}{128\pi^3} $ ; and$ \Lambda=213\,\text{MeV} $ ,$ 296\,\text{MeV} $ , and$ 339\,\text{MeV} $ for the flavors$ n_f=5 $ ,$ 4 $ , and$ 3 $ , respectively [74, 75]. As we study the hidden-charm tetraquarks, we choose the flavor number$ n_f=4 $ .On the hadron sides, we take
$ m_{\eta_c}=2.9834\,\text{GeV} $ ,$ m_{\pi^0}=0.13498\,\text{GeV} $ ,$ m_{J/\psi}=3.0969\,\text{GeV} $ ,$ m_{\rho}=0.77526\,\text{GeV} $ ,$ m_{h_c}=3.525\,\text{GeV} $ , and$ m_{\chi_{c1}}=3.51067\,\text{GeV} $ from the Particle Data Group [74]. The QCD sum rules allow us to reproduce the experimental masses of the ground state conventional mesons. For simplicity, we adopt the precise masses from the Particle Data Group. We take the values$ s^0_{\pi}=(0.85\,\text{GeV})^2 $ ,$ s^0_{\rho}=(1.2\,\text{GeV})^2 $ ,$ s^0_{h_c}=(3.9\,\text{GeV})^2 $ ,$ s^0_{\chi_{c1}}=(3.9\,\text{GeV})^2 $ ,$ s^0_{J/\psi}=(3.6\,\text{GeV})^2 $ ,$ s^0_{\eta_c}=(3.5\,\text{GeV})^2 $ ,$ f_{\pi}= 0.130\,\text{GeV} $ [73, 74],$ f_{h_c}=0.235\,\text{GeV} $ ,$ f_{J/\psi}= 0.418 \, \text{GeV} $ ,$ f_{\eta_c}=0.387\,\text{GeV} $ [76],$ f_{\rho}=0.215\,\text{GeV} $ [77],$ f_{\chi_{c1}}= 0.338\, \text{GeV} $ [78],$ M_{X_0}=4.02\,\text{GeV} $ ,$ \lambda_{X_0}=4.30\times 10^{-1} \,\text{GeV}^5 $ ,$ M_{X_1}= 4.02\,\text{GeV} $ ,$ \lambda_{X_1}=2.33\times 10^{-1}\,\text{GeV}^5 $ ,$ M_{X_2}= 4.02\,\text{GeV} $ , and$ \lambda_{X_2}=3.29\times 10^{-1}\,\text{GeV}^5 $ from the QCD sum rules [14] and$ f_{\pi}m^2_{\pi}/(m_u+m_d)=-2\langle \bar{q}q\rangle/f_{\pi} $ from the Gell-Mann-Oakes-Renner relation.We fit the free parameters to be
$ C_{1}=-0.0002\,T^2 \,\text{GeV}^6 $ ,$ C_{2}=-0.0002\,T^2\,\text{GeV}^5 $ ,$ C_{3}=0.0006\,T^2\,\text{GeV}^6 $ ,$ C_{4}= -0.00027\,T^2\,\text{GeV}^5 $ ,$ C_{5}=0.00009\,T^2\,\text{GeV}^5 $ ,$ C_{6}=0 $ ,$ C_{7}= 0.00014\,T^2\,\text{GeV}^4 $ ,$ C_{8}=-0.0002\,T^2\,\text{GeV}^5 $ , and$ C_{9}= -0.0003\,T^2\,\text{GeV}^6 $ in calculations. We obtain the Borel platforms$ T^2_{X_0\eta_c\pi}=(4.3-5.3)\,\text{GeV}^2 $ ,$ T^2_{X_0\chi_{c1}\pi}= (2.7-3.7)\,\text{GeV}^2 $ ,$ T^2_{X_0J/\psi\rho}=(3.1-4.1)\,\text{GeV}^2 $ ,$ T^2_{X_1 J/\psi\pi}= (2.3-3.3) \,{\rm GeV}^2 $ ,$ T^2_{X_1 \eta_c\rho}=(2.2-3.2)\,{\rm GeV}^2 $ ,$ T^2_{X_1 h_c\pi}=(4.5-5.5)\,{\rm GeV}^2 $ ,$ T^2_{X_2 \eta_c \pi}= (2.4-3.4)\,{\rm GeV}^2 $ ,$ T^2_{X_2 \chi_{c1}\pi}=(2.5-3.5)\,{\rm GeV}^2 $ , and$ T^2_{X_2 J/\psi\rho}= (2.1-3.1)\,{\rm GeV}^2 $ , where we add the subscripts$ X_0\eta_c\pi $ ,$ X_0\chi_{c1}\pi $ ,$ X_0J/\psi\rho $ ,$ X_1 J/\psi\pi $ ,$ X_1 \eta_c\rho $ ,$ X_1 h_c\pi $ ,$ X_2\eta_c \pi $ ,$ X_2\chi_{c1}\pi $ , and$ X_2J/\psi\rho $ to denote the corresponding channels.We obtain uniform flat platforms
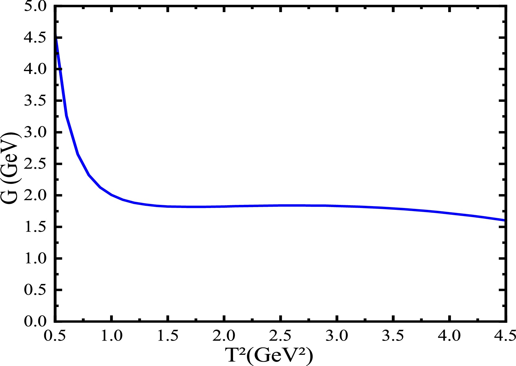
$ T^2_{\rm max}-T^2_{\rm min}=1\,\text{GeV}^2 $ for all the channels, where max and min denote the maximum and minimum, respectively, as in our previous works. For example, in Fig. 1, we plot the hadronic coupling constant$ G_{X_2 J/\psi\rho} $ with the variation of the Borel parameter. As it appears to be a relatively flat platform, it is reliable to extract the hadronic coupling constant.
Figure 1. (color online) Hadronic coupling constant
$ G_{X_2 J/\psi\rho} $ with variation of the Borel parameter$ T^2 $ .We estimate the uncertainties in the usual manner. For example, the uncertainty of an input parameter ξ,
$ \xi= \bar{\xi} +\delta \xi $ , results in the uncertainties$ \lambda_{X_0}f_{J/\psi}f_{\rho}G_{X_0J/\psi \rho} = \bar{\lambda}_{X_0}\bar{f}_{J/\psi}\bar{f}_{\rho}\bar{G}_{X_0J/\psi \rho} +\delta\,\lambda_{X_0}f_{J/\psi}f_{\rho}G_{X_0J/\psi \rho} $ and$ C_{2} = \bar{C}_{2}+\delta C_{2} $ , where$ \begin{aligned}[b] \delta\,\lambda_{X_0}f_{J/\psi}f_{\rho}G_{X_0J/\psi \rho} =\;&\bar{\lambda}_{X_0}\bar{f}_{J/\psi} \bar{f}_{\rho} \bar{G}_{X_0J/\psi\rho}\\&\times\left( \frac{\delta f_{J/\psi}}{\bar{f}_{J/\psi}} +\frac{\delta f_{\rho}}{\bar{f}_{\rho}} +\frac{\delta \lambda_{X_0}}{\bar{\lambda}_{X_0}}+\frac{\delta G_{X_0J/\psi\rho}}{\bar{G}_{X_0J/\psi\rho}}\right)\, , \end{aligned} $

(41) and we can set
$ \delta C_{2}=0 $ and$ \dfrac{\delta f_{J/\psi}}{\bar{f}_{J/\psi}} = \dfrac{\delta \lambda_{X_0}}{\bar{\lambda}_{X_0}}=\dfrac{\delta G_{X_0J/\psi\rho}}{\bar{G}_{XJ/\psi\rho}} $ approximately. Finally, we obtain the values of the hadronic coupling constants$ \begin{aligned}[b] G_{X_0\eta_c \pi} &=0.63^{+0.07}_{-0.04}\,\text{GeV}\, , \\ G_{X_0\chi_{c1}\pi} &=1.20^{+0.01}_{-0.01}\, , \\ G_{X_0J/\psi\rho} &=1.79^{+0.22}_{-0.16}\,\text{GeV}\, , \\ G_{X_1 J/\psi\pi}&= 6.80^{+0.40}_{-0.38}\,{\rm GeV},\\ G_{X_1 \eta_c\rho}&= 1.55^{+0.11}_{-0.09}\,{\rm GeV},\\ G_{X_1 h_c\pi}&= 0.10\,{\rm GeV}^{-1},\\ G_{X_2 \eta_c \pi}&= 1.49^{+0.02}_{-0.02}\,{\rm GeV}^{-1}\,,\\ G_{X_2\chi_{c1}\pi}&= 1.20^{+0.02}_{-0.02}\, , \\ G_{X_2 J/\psi\rho}&= 1.84^{+0.17}_{-0.13}\,{\rm GeV} \, , \end{aligned} $

(42) where we have taken the absolute values.
For the molecular masses, we take the values
$ m_{X_0}=4.02\,\text{GeV} $ ,$ m_{X_1}=4.02\,\text{GeV} $ , and$ m_{X_2}=4.02\,\text{GeV} $ from the QCD sum rules [14]. Then, we obtain the partial decay widths directly as$ \begin{aligned}[b] \Gamma(X_0\to \eta_c\pi)&= 0.87^{+0.21}_{-0.10} \,\text{MeV}\, , \\ \Gamma(X_0\to \chi_{c1}\pi)&= 0.45^{+0.01}_{-0.01} \,\text{MeV}\, , \\ \Gamma(X_0\to J/\psi\rho)&= 12.33^{+3.22}_{-2.11} \,\text{MeV}\, , \end{aligned} $

(43) $ \begin{aligned}[b] \Gamma(X_1 \rightarrow J/\psi\pi)&= 94.10^{+11.40}_{-10.22}\, {\rm MeV}\, ,\\ \Gamma(X_1 \rightarrow \eta_c\rho)&=4.22^{+0.62}_{-0.48}\, {\rm MeV}\, ,\\ \Gamma(X_1 \rightarrow h_c\pi)&=0.0236\, {\rm MeV}\, , \end{aligned} $

(44) $ \begin{aligned}[b] \Gamma(X_2 \rightarrow \eta_c \pi)&= 0.42^{+0.01}_{-0.01}\, {\rm MeV}\, ,\\ \Gamma(X_2 \rightarrow \chi_{c1}\pi)&= 0.12^{+0.01}_{-0.01}\, {\rm MeV}\, ,\\ \Gamma(X_2 \rightarrow J/\psi\rho)&= 4.10^{+0.79}_{-0.56}\, {\rm MeV}\, . \end{aligned} $

(45) Then, we obtain the total decay widths approximately as
$ \begin{aligned}[b] \Gamma_{X_0}&=13.65^{+3.44}_{-2.22}\,\text{MeV}\, , \\ \Gamma_{X_1}&= 98.34^{+12.02}_{-10.70}\, {\rm MeV}\, , \\ \Gamma_{X_2}&= 4.64^{+0.81}_{-0.58}\, {\rm MeV}\, . \end{aligned} $

(46) The predicted width
$ \Gamma_{X_2}=4.64^{+0.81}_{-0.58}\,\text{MeV} $ is in very good agreement with the experimental data of the width$ (4 \pm 11 \pm 6)\; \text{MeV} $ of$ X(4014) $ from the Belle collaboration [31]. Both the predicted mass and width support assigning$ X_2(4014) $ as the$ D^*\bar{D}^* $ molecular state with$ J^{PC}=2^{++} $ . Regarding the predictions$ \Gamma_{X_0}=13.65^{+3.44}_{-2.22}\,\text{MeV} $ and$ \Gamma_{X_1}= 98.34^{+12.02}_{-10.70}\,\text{MeV} $ , we can compare them to experimental data in the future.If only the mass is considered,
$ Z_c(4020) $ can be assigned as the diquark-antidiquark type tetraquark state or$ D^*\bar{D}^* $ type molecular state with$ J^{PC}=1^{+-} $ [14, 37]. In the scenario of the tetraquark state, we obtain the prediction$ \Gamma_{Z_{c}} =29.57\pm2.30\,\, ({\rm or}\, \pm 9.20)\,\,\text{MeV} $ [64], which is compatible with the upper bound of the experimental data$ \Gamma=(24.8\pm5.6\pm7.7)\,\text{MeV} $ [79],$ (23.0\pm 6.0\pm 1.0)\,\text{MeV} $ [80],$ (7.9\pm 2.7\pm 2.6)\,\text{MeV} $ [81] from the BESIII collaboration. Meanwhile, in the molecular scenario, the predicted width$ \Gamma_{X_1}=98.34^{+12.02}_{-10.70}\,\text{MeV} $ for the$ D^*\bar{D}^* $ molecular state with$ J^{PC}=1^{+-} $ is too large compared to the experimental data for$ Z_c(4020) $ . The two scenarios lead to notably different predictions for the total widths, and the QCD sum rules favor assigning$ Z_c(4020) $ as the diquark-antidiquark type tetraquark state. Unfortunately, in our unique scheme, the decay widths of the tetraquark states with$ J^{PC}=0^{++} $ and$ 2^{++} $ have not been studied yet.We can easily determine the relative branching ratios of the tetraquark molecular states from their partial decay widths:
$ \begin{aligned}[b] \Gamma\left(X_0 \to \eta_c \pi:\chi_{c1}\pi:J/\psi\rho\right) &= 0.0710:0.0365:1.00\, ,\\ \Gamma\left(X_1 \to \eta_c\rho:h_c\pi:J/\psi\pi\right) &= 0.0448:0.0003:1.00\, ,\\ \Gamma\left(X_2 \to \eta_c \pi:\chi_{c1}\pi:J/\psi\rho\right) &= 0.1024:0.0293:1.00\, . \end{aligned} $

(47) Due to the particular quark structures, the dominant decay modes are
$ X_{0/2} \to J/\psi \rho $ and$ X_1 \to J/\psi\pi $ , which are consistent with the observation of$ X_2(4014) $ in the$ \gamma \psi(2S) $ mass spectrum with the vector meson dominance$ X_2 \to \gamma^* J/\psi \to \rho J/\psi $ ; we can search for these molecular states in typical decay channels. -
In this study, we investigated the hadronic coupling constants in the two-body strong decays of the tetraquark molecular states with
$ J^{PC}=0^{++} $ ,$ 1^{+-} $ , and$ 2^{++} $ via the three-point correlation functions. We conducted operator product expansion considering the quark condensate, gluon condensate, and quark-gluon mixed condensate to obtain the QCD spectral representations. We then matched the QCD sides with the hadron sides according to rigorous quark-hadron duality. We obtained the hadronic coupling constants and partial decay widths and, therefore, the total widths of the tetraquark molecular states with$ J^{PC}=0^{++} $ ,$ 1^{+-} $ , and$ 2^{++} $ . Our predictions indicate that assigning$ X_2(4014) $ as the$ D^*\bar{D}^* $ tetraquark molecular state with$ J^{PC}=2^{++} $ is reasonable, while other predictions play an interesting role in diagnosing the X, Y, and Z states. Moreover,$ X_2(4014) $ still requires independent confirmation by other experiments. -
The analytical expressions of the other QCD sum rules are as follows:
$ \begin{aligned}[b] &\frac{\lambda_{X_0\chi_{c1}\pi} G_{X_0\chi_{c1}\pi}}{ {m}^2_{X_0}-m^2_{\chi_{c1}}}\left[\exp\left(-\frac{m^2_{\chi_{c1}}}{T^2}\right) -\exp\left(-\frac{{m}^2_{X_0}}{T^2}\right) \right] \exp\left(-\frac{m^2_{\pi}}{T^2}\right)+C_{2} \exp\left(-\frac{m^2_{\chi_{c1}}}{T^2}-\frac{m^2_{\pi}}{T^2}\right) \\ =\;&\frac{\langle\bar{q}q\rangle}{8\pi^2}\int_{4m_c^2}^{s^0_{\chi_{c1}}} {\rm d}s \left(s-4m^2_c\right)\sqrt{1-\frac{4m_c^2}{s}}\exp\left(-\frac{s}{T^2}\right)-\frac{\langle\bar{q}g_{s}\sigma Gq\rangle}{24\pi^2}\int_{4m_c^2}^{s^0_{\chi_{c1}}}{\rm d}s\frac{ \left(s-6m_c^2\right)}{ \sqrt{s\left(s-4m^2_c\right)}}\exp\left(-\frac{s}{T^2}\right) \, , \end{aligned} $

(A1) $ \begin{aligned}[b] &\frac{\lambda_{X_0J/\psi\rho} G_{X_0J/\psi\rho}}{ {m}^2_{X_0}-m^2_{J/\psi}}\left[\exp\left(-\frac{m^2_{J/\psi}}{T^2}\right) -\exp\left(-\frac{{m}^2_{X_0}}{T^2}\right) \right] \exp\left(-\frac{m^2_{\rho}}{T^2}\right)+C_{3} \exp\left(-\frac{m^2_{J/\psi}}{T^2}-\frac{m^2_{\rho}}{T^2}\right) \\ =\;&\frac{3}{128\pi^4} \int^{s^0_{J/\psi}}_{4m^2_c} {\rm d}s \int^{s^0_{\rho}}_{0} {\rm d}u su\sqrt{1-\frac{4m^2_c}{s}}\exp\left(-\frac{s+u}{T^2}\right) +\frac{m^4_c }{16\pi^2}\langle\frac{\alpha_{s}GG}{\pi}\rangle \int^{s^0_{J/\psi}}_{4m^2_c} {\rm d}s \int^{s^0_{\rho}}_{0} {\rm d}u \frac{su \left(2m^2_c-s\right)} {\sqrt{s\left(s-4m^2_c\right)}^5} \exp\left(-\frac{s+u}{T^2}\right) \\ &+\frac{m^4_c }{96\pi^2}\langle\frac{\alpha_{s}GG}{\pi}\rangle \int^{s^0_{J/\psi}}_{4m^2_c} {\rm d}s \int^{s^0_{\rho}}_{0} {\rm d}u \frac{u} {\sqrt{s\left(s-4m^2_c\right)}^3} \exp\left(-\frac{s+u}{T^2}\right) -\frac{1}{192\pi^2}\langle\frac{\alpha_{s}GG}{\pi}\rangle \int^{s^0_{J/\psi}}_{4m^2_c} {\rm d}s \int^{s^0_{\rho}}_{0} {\rm d}u \frac{m^2_c+s} {\sqrt{s\left(s-4m^2_c\right)}}\\&\times \exp\left(-\frac{s+u}{T^2}\right) \, , \end{aligned} $

(A2) $ \begin{aligned}[b] & \frac{\lambda_{X_1J/\psi\pi} G_{X_1J/\psi\pi}}{ {m}^2_{X_1}-m^2_{J/\psi}}\left[\exp\left(-\frac{m^2_{J/\psi}}{T^2}\right) -\exp\left(-\frac{{m}^2_{X_1}}{T^2}\right) \right] \exp\left(-\frac{m^2_{\pi}}{T^2}\right)+C_{4} \exp\left(-\frac{m^2_{J/\psi}}{T^2}-\frac{m^2_{\pi}}{T^2}\right) \\&\times \exp\left(-\frac{s+u}{T^2}\right) +\frac{m_c }{144\sqrt{2}\pi^2}\langle\frac{\alpha_{s}GG}{\pi}\rangle \int^{s^0_{J/\psi}}_{4m^2_c} {\rm d}s \int^{s^0_{\pi}}_{0} {\rm d}u \frac{u\left(s-2m^2_c\right)} {s\left(4m^2_c-s\right)\sqrt{s\left(s-4m^2_c\right)}} \exp\left(-\frac{s+u}{T^2}\right) \\ &+\frac{m_c}{144\sqrt{2}\pi^2}\langle\frac{\alpha_{s}GG}{\pi}\rangle \int^{s^0_{J/\psi}}_{4m^2_c} {\rm d}s \int^{s^0_{\pi}}_{0} {\rm d}u \frac{3m^2_c+s} {s\sqrt{s\left(s-4m^2_c\right)}} \exp\left(-\frac{s+u}{T^2}\right) +\frac{\langle\bar{q}q\rangle}{12\sqrt{2}\pi^2}\int_{4m_c^2}^{s^0_{J/\psi}} {\rm d}s \left(2m^2_c+s\right)\sqrt{1-\frac{4m_c^2}{s}}\exp\left(-\frac{s}{T^2}\right)\\ &+\frac{\langle\bar{q}g_{s}\sigma Gq\rangle}{32\sqrt{2}\pi^2T^2}\int_{4m_c^2}^{s^0_{J/\psi}}{\rm d}s\left(2m^2_c+s\right)\sqrt{1-\frac{4m_c^2}{s}} \exp\left(-\frac{s}{T^2}\right)-\frac{\langle\bar{q}g_{s}\sigma Gq\rangle}{64\sqrt{2}\pi^2}\int_{4m_c^2}^{s^0_{J/\psi}}{\rm d}s\frac{4m^2_c+s} {s} \sqrt{1-\frac{4m_c^2}{s}}\exp\left(-\frac{s}{T^2}\right)\\ &-\frac{5m^2_c\langle\bar{q}g_{s}\sigma Gq\rangle}{24\sqrt{2}\pi^2}\int_{4m_c^2}^{s^0_{J/\psi}}{\rm d}s\frac{1} {\sqrt{s\left(s-4m_c^2\right)}} \exp\left(-\frac{s}{T^2}\right) \, , \end{aligned} $

(A3) $ \begin{aligned}[b] &\frac{\lambda_{X_1\eta_c\rho} G_{X_1\eta_c\rho}}{ {m}^2_{X_1}-m^2_{\eta_c}}\left[\exp\left(-\frac{m^2_{\eta_c}}{T^2}\right) -\exp\left(-\frac{{m}^2_{X_1}}{T^2}\right) \right] \exp\left(-\frac{m^2_{\rho}}{T^2}\right)+C_{5} \exp\left(-\frac{m^2_{\eta_c}}{T^2}-\frac{m^2_{\rho}}{T^2}\right) \\ =\;&\frac{m_c}{64\sqrt{2}\pi^4} \int^{s^0_{\eta_c}}_{4m^2_c} {\rm d}s \int^{s^0_{\rho}}_{0} {\rm d}u \frac{u^2+2su}{s}\sqrt{1-\frac{4m^2_c}{s}}\exp\left(-\frac{s+u}{T^2}\right) +\frac{m_c }{192\sqrt{2}\pi^2}\langle\frac{\alpha_{s}GG}{\pi}\rangle \int^{s^0_{\eta_c}}_{4m^2_c} {\rm d}s \int^{s^0_{\rho}}_{0} {\rm d}u\\&\times \frac{u\left(2s+u\right)\left(20m^4_c-10sm^2_c+s^2\right)} {\sqrt{s\left(s-4m^2_c\right)}^5} \exp\left(-\frac{s+u}{T^2}\right) -\frac{m_c }{192\sqrt{2}\pi^2}\langle\frac{\alpha_{s}GG}{\pi}\rangle \int^{s^0_{\eta_c}}_{4m^2_c} {\rm d}s \int^{s^0_{\rho}}_{0} {\rm d}u \frac{u\left(2s+u\right)\left(s-2m^2_c\right)} {s\sqrt{s\left(s-4m^2_c\right)}^3} \exp\left(-\frac{s+u}{T^2}\right) \\ &+\frac{m_c }{576\sqrt{2}\pi^2}\langle\frac{\alpha_{s}GG}{\pi}\rangle \int^{s^0_{\eta_c}}_{4m^2_c} {\rm d}s \int^{s^0_{\rho}}_{0} {\rm d}u \frac{2s+u} {s\sqrt{s\left(s-4m^2_c\right)}} \exp\left(-\frac{s+u}{T^2}\right) -\frac{11\langle\bar{q}g_{s}\sigma Gq\rangle}{144\sqrt{2}\pi^2}\int_{4m_c^2}^{s^0_{\eta_c}}{\rm d}s \sqrt{1-\frac{4m_c^2}{s}}\exp\left(-\frac{s}{T^2}\right) \, , \end{aligned} $

(A4) $ \begin{aligned}[b] &\frac{\lambda_{X_1h_c\pi} G_{X_1h_c\pi}}{ {m}^2_{X_1}-m^2_{h_c}}\left[\exp\left(-\frac{m^2_{h_c}}{T^2}\right) -\exp\left(-\frac{{m}^2_{X_1}}{T^2}\right) \right] \exp\left(-\frac{m^2_{\pi}}{T^2}\right)+C_{6} \exp\left(-\frac{m^2_{h_c}}{T^2}-\frac{m^2_{\pi}}{T^2}\right) \\ =\;&\frac{1}{384\sqrt{2}\pi^4} \int^{s^0_{h_c}}_{4m^2_c} {\rm d}s \int^{s^0_{\pi}}_{0} {d\rm }u \frac{u\left(4m^2_c-s\right)}{s^2}\sqrt{1-\frac{4m^2_c}{s}}\exp\left(-\frac{s+u}{T^2}\right) +\frac{m^2_c }{576\sqrt{2}\pi^2}\langle\frac{\alpha_{s}GG}{\pi}\rangle \int^{s^0_{h_c}}_{4m^2_c} {\rm d}s \int^{s^0_{\pi}}_{0} {\rm d}u\\&\times \frac{u\left(2m^2_c+s\right)} {s^3\left(4m^2_c-s\right)\sqrt{s\left(s-4m^2_c\right)}} \exp\left(-\frac{s+u}{T^2}\right) +\frac{m^2_c}{1728\sqrt{2}\pi^2}\langle\frac{\alpha_{s}GG}{\pi}\rangle \int^{s^0_{h_c}}_{4m^2_c} {\rm d}s \int^{s^0_{\pi}}_{0} {\rm d}u \frac{u} {s\sqrt{s\left(s-4m^2_c\right)}^3} \exp\left(-\frac{s+u}{T^2}\right) \\ &+\frac{1}{3456\sqrt{2}\pi^2}\langle\frac{\alpha_{s}GG}{\pi}\rangle \int^{s^0_{h_c}}_{4m^2_c} {\rm d}s \int^{s^0_{\pi}}_{0} {\rm d}u \frac{12m^2_c-5s} {s^2\sqrt{s\left(s-4m^2_c\right)}} \exp\left(-\frac{s+u}{T^2}\right)+\frac{25m^3_c \langle\bar{q}g_{s}\sigma Gq\rangle}{108\sqrt{2}\pi^2}\int_{4m_c^2}^{s^0_{h_c}}{\rm d}s\\&\times\frac{ 1}{s^2 \sqrt{s\left(s-4m^2_c\right)}}\exp\left(-\frac{s}{T^2}\right) -\frac{5m_c \langle\bar{q}g_{s}\sigma Gq\rangle}{108\sqrt{2}\pi^2}\int_{4m_c^2}^{s^0_{h_c}}ds\frac{1}{s \sqrt{s\left(s-4m^2_c\right)}}\exp\left(-\frac{s}{T^2}\right) \, , \end{aligned} $

(A5) $ \begin{aligned}[b] &\frac{\lambda_{X_2\eta_c\pi} G_{X_2\eta_c\pi}}{ {m}^2_{X_2}-m^2_{\eta_c}}\left[\exp\left(-\frac{m^2_{\eta_c}}{T^2}\right) -\exp\left(-\frac{{m}^2_{X_2}}{T^2}\right) \right] \exp\left(-\frac{m^2_{\pi}}{T^2}\right)+C_{7} \exp\left(-\frac{m^2_{\eta_c}}{T^2}-\frac{m^2_{\pi}}{T^2}\right) \\ =\;&-\frac{m_c \langle\bar{q}q\rangle}{2\sqrt{2}\pi^2}\int_{4m_c^2}^{s^0_{\eta_c}} {\rm d}s \sqrt{1-\frac{4m_c^2}{s}}\exp\left(-\frac{s}{T^2}\right)+\frac{m_c \langle\bar{q}g_{s}\sigma Gq\rangle}{8\sqrt{2}\pi^2T^2}\int_{4m_c^2}^{s^0_{\eta_c}}{\rm d}s\sqrt{1-\frac{4m_c^2}{s}} \exp\left(-\frac{s}{T^2}\right)\\ &-\frac{5m_c \langle\bar{q}g_{s}\sigma Gq\rangle}{24\sqrt{2}\pi^2}\int_{4m_c^2}^{s^0_{\eta_c}}{\rm d}s \frac{ 1}{ \sqrt{s\left(s-4m^2_c\right)}}\exp\left(-\frac{s}{T^2}\right)-\frac{5m_c \langle\bar{q}g_{s}\sigma Gq\rangle}{16\sqrt{2}\pi^2T^2}\int_{4m_c^2}^{s^0_{\eta_c}}{\rm d}s\frac{ \sqrt{s\left(s-4m^2_c\right)}}{s}\exp\left(-\frac{s}{T^2}\right) \, , \end{aligned} $

(A6) $ \begin{aligned}[b] &\frac{\lambda_{X_2\chi_{c1}\pi} G_{X_2\chi_{c1}\pi}}{ {m}^2_{X_2}-m^2_{\chi_{c1}}}\left[\exp\left(-\frac{m^2_{\chi_{c1}}}{T^2}\right) -\exp\left(-\frac{{m}^2_{X_2}}{T^2}\right) \right] \exp\left(-\frac{m^2_{\pi}}{T^2}\right)+C_{8} \exp\left(-\frac{m^2_{\chi_{c1}}}{T^2}-\frac{m^2_{\pi}}{T^2}\right) \\ =\;&-\frac{\langle\bar{q}q\rangle}{8\sqrt{2}\pi^2}\int_{4m_c^2}^{s^0_{\chi_{c1}}} {\rm d}s \left(4m^2_c-s\right)\sqrt{1-\frac{4m_c^2}{s}}\exp\left(-\frac{s}{T^2}\right)-\frac{5\langle\bar{q}g_{s}\sigma Gq\rangle}{48\sqrt{2}\pi^2}\int_{4m_c^2}^{s^0_{\chi_{c1}}}{\rm d}s\frac{ \left(6m_c^2-s\right)}{ \sqrt{s\left(s-4m^2_c\right)}}\exp\left(-\frac{s}{T^2}\right)\\ &-\frac{7\langle\bar{q}g_{s}\sigma Gq\rangle}{64\sqrt{2}\pi^2T^2}\int_{4m_c^2}^{s^0_{\chi_{c1}}}{\rm d}s\left(4m^2_c-s\right)\sqrt{1-\frac{4m_c^2}{s}} \exp\left(-\frac{s}{T^2}\right) \, , \end{aligned} $

(A7) $ \begin{aligned}[b] &\frac{\lambda_{X_2J/\psi\rho} G_{X_2J/\psi\rho}}{ {m}^2_{X_2}-m^2_{J/\psi}}\left[\exp\left(-\frac{m^2_{J/\psi}}{T^2}\right) -\exp\left(-\frac{{m}^2_{X_2}}{T^2}\right) \right] \exp\left(-\frac{m^2_{\rho}}{T^2}\right)+C_{9} \exp\left(-\frac{m^2_{J/\psi}}{T^2}-\frac{m^2_{\rho}}{T^2}\right) \\ =\;&-\frac{1}{96\sqrt{2}\pi^4} \int^{s^0_{J/\psi}}_{4m^2_c} {\rm d}s \int^{s^0_{\rho}}_{0} {\rm d}u u\left(s+2m^2_c\right)\sqrt{1-\frac{4m^2_c}{s}}\exp\left(-\frac{s+u}{T^2}\right) \\ &-\frac{m^2_c }{288\sqrt{2}\pi^2}\langle\frac{\alpha_{s}GG}{\pi}\rangle \int^{s^0_{J/\psi}}_{4m^2_c} {\rm d}s \int^{s^0_{\rho}}_{0} {\rm d}u \frac{su\left(48m^4_c-22sm^2_c+s^2\right)} {\sqrt{s\left(s-4m^2_c\right)}^5} \exp\left(-\frac{s+u}{T^2}\right) \\ &+\frac{m^2_c }{288\sqrt{2}\pi^2}\langle\frac{\alpha_{s}GG}{\pi}\rangle \int^{s^0_{J/\psi}}_{4m^2_c} {\rm d}s \int^{s^0_{\rho}}_{0} {\rm d}u \frac{u\left(6m^2_c-s\right)} {s\left(4m^2_c-s\right)\sqrt{s\left(s-4m^2_c\right)}} \exp\left(-\frac{s+u}{T^2}\right) \, , \end{aligned} $

(A8) where we introduce the notations
$ \lambda_{X_0\chi_{c1}\pi}=\frac{\lambda_{X_0}f_{\chi_{c1}} m_{\chi_{c1}} f_{\pi} m_{\pi}^2}{m_u+m_d}\, , \qquad \lambda_{X_0J/\psi\rho}=\lambda_{X_0} f_{J/\psi} m_{J/\psi} f_{\rho} m_{\rho}\, , $

(A9) $ \lambda_{X_1J/\psi\pi}=\frac{\lambda_{X_1} f_{J/\psi} m_{J/\psi} f_{\pi} m^2_{\pi}}{\left(m_u+m_d\right)m_{X_1}}\, , \quad \lambda_{X_1\eta_c\rho}=\frac{\lambda_{X_1} f_{\eta_c} m^2_{\eta_c} f_{\rho} m_{\rho}}{2m_cm_{X_1}}\, , \quad \lambda_{X_1h_c\pi}=\frac{2\lambda_{X_1}\lambda_{h_c} f_{\pi} m^2_{\pi}}{9\left(m_u+m_d\right)m_{X_1}}\, , $

(A10) $ \lambda_{X_2\eta_c\pi}=\frac{\lambda_{X_2} f_{\eta_c} m^2_{\eta_c} f_{\pi} m^2_{\pi} (m_{X_2}^2-m_{\eta_c}^2)}{2m_c\left(m_u+m_d\right)m_{X_2}^2}\, , \quad \lambda_{X_2\chi_{c1}\pi}=\frac{\lambda_{X_2} f_{\chi_{c1}} m_{\chi_{c1}}f_{\pi} m^2_{\pi}}{m_u+m_d}\, , \quad \lambda_{X_2J/\psi\rho}=\frac{\lambda_{X_2} f_{J/\psi} m_{J/\psi}f_{\rho} m_{\rho}}{2} \, . $

(A11)
Two-body strong decays of the hidden-charm tetraquark molecular states via QCD sum rules
- Received Date: 2025-02-18
- Available Online: 2025-10-15
Abstract: In this study, we extend our previous study on the





Abstract
HTML
Reference
Related
PDF






















DownLoad: