-
Nuclear level density, which characterizes the number of excited states per unit energy in an atomic nucleus, is a fundamental quantity in nuclear structure and reaction theory. It provides a key input for the calculation of reaction cross sections relevant to nucleosynthesis and other applications [1−6]. Within statistical reaction models, the NLD governs decay widths and determines the competition among different reaction channels.
Traditionally, nuclear level densities have been described using phenomenological models, such as the constant temperature model (CTM) [7], the back-shifted Fermi gas model (BSM) [8], and the generalized superfluid model (GSM) [9]. While computationally efficient, these models rely on parameters adjusted to experimental data and therefore lack a firm microscopic foundation. Moreover, experimental information on nuclear level densities remains limited, especially for nuclei far from the β-stability line [10], which restricts the predictive power of purely phenomenological approaches.
Over the past decades, a variety of microscopic approaches to nuclear level densities have been developed. These include the equidistant spacing model [11−14], the shell-model Monte Carlo method [15−19], spectral distribution calculations [20−22], finite-temperature independent-particle models [23−26], microstatistical approaches [27−30], and random matrix theories [31]. Among these methods, microscopic level densities based on the non-relativistic Hartree–Fock–Bogoliubov (HFB) theory combined with the combinatorial method have been widely applied and shown to provide a quantitative description of experimental data [28, 32−36].
It should be emphasized that microscopic nuclear level densities are not restricted to non-relativistic frameworks. In recent years, relativistic approaches based on the RHB theory have also been applied to the study of nuclear level densities. In particular, calculations employing covariant density functional theory have been reported for selected nuclei, demonstrating the feasibility of constructing microscopic level densities within a relativistic framework [37, 38].
Nevertheless, in comparison with non-relativistic HFB-based approaches, systematic investigations of microscopic level densities within a relativistic framework remain limited, particularly along extended isotopic chains. Moreover, validations of relativistic microscopic level densities through reaction observables, such as radiative neutron capture cross sections, have so far been scarce. Further studies are therefore required to assess the predictive power and practical applicability of relativistic level-density models.
The Sn isotopic chain (
$ Z=50 $ ) provides an ideal testing ground for microscopic nuclear level-density studies. The proton shell closure at$ Z=50 $ simplifies the underlying structural evolution, while the isotopic sequence from 100Sn to 132Sn spans a wide range of neutron numbers, including the$ N=50 $ and$ N=82 $ shell closures. In addition, a wealth of experimental information is available for Sn isotopes, such as s-wave neutron resonance spacings ($ D_0 $ )[9], cumulative numbers of low-lying discrete levels [39], and radiative neutron capture$ (n,\gamma) $ cross sections [55], allowing for a comprehensive validation of theoretical calculations.Building on the above considerations, this work presents a systematic study of microscopic nuclear level densities along the Sn isotopic chain. Using single-particle energies, pairing gaps, and deformation parameters from RHB calculations [40, 41], microscopic level densities are constructed for Sn isotopes from 111Sn to 124Sn. This allows for a detailed analysis of their energy dependence, isotopic trends, and performance in nuclear reaction calculations. These reliable microscopic level densities are crucial not only for nuclear structure studies but also for nuclear reaction modeling and data evaluation, especially for neutron-induced reactions in nuclear technology and astrophysical applications.
-
In this work, microscopic nuclear level densities are constructed by combining self-consistent RHB calculations with the combinatorial method. The RHB framework provides single-particle energies, pairing gaps, and deformation properties, which constitute the microscopic input for the enumeration of particle–hole excitation configurations. On this basis, the combinatorial method allows for a direct microscopic evaluation of nuclear level densities as a function of excitation energy.
-
CDFT provides a relativistic framework for the self-consistent description of nuclear mean-field properties. Within this framework, the RHB theory treats particle–hole and particle–particle correlations on an equal footing through the Bogoliubov transformation.
In the RHB framework, the quasiparticle wave functions
$ U_k $ and$ V_k $ are obtained by solving the RHB equations [41]$ \begin{aligned} \left( \begin{array}{cc} \hat{h}_{D}-\lambda & \hat{\Delta} \\ -\hat{\Delta}^* & -\hat{h}_{D}+\lambda \end{array} \right ) \left( \begin{array}{l} U_{k} \\ V_{k} \end{array} \right ) = E_{k} \left( \begin{array}{l} U_{k} \\ V_{k} \end{array} \right ), \end{aligned} $
(1) where
$ \hat{h}_{D} $ denotes the Dirac Hamiltonian, λ is the Fermi energy,$ \hat{\Delta} $ is the pairing field, and$ E_k $ is the quasiparticle energy.The Dirac Hamiltonian is given by
$ \begin{aligned} \hat{h}_{D} = \pmb{\alpha}\cdot\pmb{p} + V + \beta (M + S), \end{aligned} $
(2) where
$ \pmb{\alpha} $ and β are the Dirac matrices, M denotes the nucleon mass, and S and V are the scalar and vector mean fields potential, respectively. In the present calculations, the density-dependent meson–nucleon coupling functional DD-ME2 is adopted [42].The pairing field
$ \hat{\Delta} $ is defined as$ \begin{aligned} \hat{\Delta} = \frac{1}{2} \sum_{n_1 n_2} V^{pp}_{n_1 n_2}\, \kappa_{n_1 n_2}, \end{aligned} $
(3) where
$ V^{pp} $ denotes the pairing interaction and κ is the pairing tensor (the sum runs over single-particle states). In the present calculations, a separable pairing interaction is employed [43, 44], which allows for an efficient treatment of pairing correlations in coordinate space. The corresponding pairing interaction reads$ \begin{aligned} V( {\boldsymbol{r}}_{1}, {\boldsymbol{r}}_{2}, {\boldsymbol{r}}'_{1}, {\boldsymbol{r}}'_{2}) = -G \, \delta({\boldsymbol{R}}-{\boldsymbol{R}}') P(r)\, P(r') \frac{1}{2}(1-P^{\sigma}), \end{aligned} $
(4) where
$ P^{\sigma} $ is the spin-exchange operator,$ {\boldsymbol{R}}=({\boldsymbol{r}}_{1}+{\boldsymbol{r}}_{2})/2 $ and$ {\boldsymbol{r}}={\boldsymbol{r}}_{1}-{\boldsymbol{r}}_{2} $ denote the center-of-mass and relative coordinates, respectively. The form factor$ P(r) $ is chosen as a Gaussian,$ \begin{aligned} P(r) = \frac{1}{(4\pi a^{2})^{3/2}} \exp \left(-\frac{r^{2}}{4a^{2}}\right). \end{aligned} $
(5) The pairing-strength parameter and range are taken as
$ G=728 $ MeV fm$ ^{3} $ and$ a=0.644 $ fm, as in Refs. [43, 44]. -
The combinatorial method provides a microscopic approach for the direct calculation of nuclear level densities, in which excited states are described as many-body configurations constructed from particle–hole excitations built on single-particle energy levels. By explicitly enumerating all configurations that satisfy conservation laws of excitation energy, angular momentum, and parity, nuclear level densities are obtained through direct counting of microscopic states. In contrast to analytical models based on continuous approximations, the discrete nature of the single-particle spectrum, shell effects, and quantum-number constraints is preserved.
Although pairing gaps and deformation parameters do not appear explicitly in the combinatorial counting formulas, they enter implicitly through the self-consistent quasiparticle spectrum obtained from the RHB calculations. Pairing correlations determine the quasiparticle energies via the Bogoliubov transformation, which set the excitation energies of the particle–hole configurations enumerated in the combinatorial method. Nuclear deformation affects the underlying single-particle level structure and, for axially symmetric nuclei, enters through the rotational energy correction
$ E_{{\rm{rot}}}^{J,K} $ .In this approach, the combinatorial formalism provides a transparent microscopic connection between single-particle structure and the resulting nuclear level density through an explicit configuration counting scheme.
The generating function
$ {\cal{Z}} $ is defined as [10]$ \begin{aligned} {\cal{Z}}(x_1,x_2,x_3,x_4,y,t) =\prod_{k=1}^4 \prod_{i=1}^{I_k} \left(1+x_k p_i^k y^{\varepsilon_i^k} t^{m_i^k}\right), \end{aligned} $
(6) where y and t are the generating variables associated with the excitation energy and the angular-momentum projection, respectively,
$ x_k $ enable us to count the number of particles and holes, and$ \varepsilon_i^k $ ,$ m_i^k $ and$ p_i^k $ denote the single-particle excitation energy, spin projection and parity of the corresponding state, respectively. Expanding$ {\cal{Z}} $ in powers of$ x_k $ yields$ \begin{aligned} {\cal{Z}}(x_1,x_2,x_3,x_4,y,t) =\sum_{{\cal{N}}} {\cal{F}}_{{\cal{N}}}(y,t) \prod_{k=1}^4 x_k^{N_k}, \end{aligned} $
(7) where
$ {\cal{N}}=(N_1,N_2,N_3,N_4) $ specifies the numbers of proton holes, proton particles, neutron holes, and neutron particles. Further expansion of$ {\cal{F}}_{{\cal{N}}}(y,t) $ in powers of y and t gives$ \begin{aligned} {\cal{F}}_{{\cal{N}}}(y,t) =\sum_{U}\sum_{M}\sum_{P=\pm1} C_{{\cal{N}}}(U,M,P)\, y^{U} t^{M}, \end{aligned} $
(8) where
$ C_{{\cal{N}}}(U,M,P) $ denotes the number of particle–hole configurations with excitation energy U, spin projection M, and parity P.The intrinsic state density
$ \rho_i $ at a given excitation energy is defined as$ \begin{aligned} \rho_i(U,M,P) =\frac{C(U,M,P)}{\varepsilon_0}, \end{aligned} $
(9) where
$ C(U,M,P) $ is the number of the folded states in the unit energy$ \varepsilon_0 $ .The intrinsic state density accounts for incoherent particle–hole excitations only. Collective effects, in particular rotational and vibrational contributions, are included to obtain the nuclear level density. In the present calculations, vibrational effects are treated following Ref. [45], where low-energy phonon excitations are incorporated through a boson partition function,after considering the vibrational effects,we obtain
$ \rho_{i*v} $ .We then proceed to include the rotational effects,for spherical nuclei, the intrinsic and laboratory frames coincide, and the level density is given by [1]
$ \begin{aligned} \rho(U,J,P) =\rho_{i*v}(U,M=J,P) -\rho_{i*v}(U,M=J+1,P). \end{aligned} $
(10) For deformed nuclei with axial symmetry, rotational effects are included according to [10]
$ \begin{aligned}[b] \rho(U,J,P) =\;&\frac{1}{2} \sum_{K=-J,\,K\neq0}^{J} \rho_{i*v}(U-E_{rot}^{J,K},K,P) \\ &+\delta_{(J\,{\rm{even}})}\delta_{(P=+)} \rho_{i*v}(U-E_{rot}^{J,0},0,P) \\ &+\delta_{(J\,{\rm{odd}})}\delta_{(P=-)} \rho_{i*v}(U-E_{rot}^{J,0},0,P). \end{aligned} $
(11) where
$ E_{rot}^{J,K} $ is the rotational energy [32, 46], K is spin projection and P is parity. -
This section presents the results of microscopic nuclear level densities for the Sn isotopic chain. Ground-state properties obtained from RHB calculations are first discussed, followed by an analysis of the calculated level densities and their isotopic systematics. The results are compared with available experimental constraints, including s-wave neutron resonance spacings, and the performance of the present level densities is further examined through radiative neutron capture
$ (n,\gamma) $ cross-section calculations. -
The binding energies obtained from the RHB calculations are compared with experimental values in Table 1 for Sn isotopes with mass numbers
$ A=111 $ –125. The RHB results reproduce the overall isotopic trend of the experimental binding energies along the chain [47, 48]. A systematic underbinding is observed, with deviations ranging from about 0.8 to 2.2 MeV. Such deviations are typical for global covariant energy density functionals and exhibit a gradual reduction toward heavier isotopes, indicating improved agreement as the$ N=82 $ shell closure is approached.Nucleus A RHB (MeV) Exp (MeV) ΔE (MeV) Blocking 111 940.79 942.7 +1.91 5/2+ 112 951.40 953.6 +2.20 – 113 959.56 961.3 +1.74 5/2+ 114 969.80 971.6 +1.80 – 115 977.50 979.1 +1.60 1/2+ 116 987.17 988.7 +1.53 – 117 994.41 995.7 +1.29 3/2+ 118 1003.66 1005.0 +1.34 – 119 1010.41 1011.4 +0.99 3/2+ 120 1019.41 1020.5 +1.09 – 121 1025.80 1026.7 +0.90 11/2− 122 1034.52 1035.5 +0.98 – 123 1040.40 1041.4 +1.00 1/2+ 124 1049.10 1049.9 +0.80 – 125 1054.59 1055.8 +1.21 1/2+ Table 1. Theoretical and experimental binding energies, their differences, and blocking levels for odd-A nuclei (A = 111–125).
The RHB calculations predict that the Sn isotopes considered in this work are spherical or only very weakly deformed. Consequently, deformation effects mainly enter implicitly through the single-particle spectrum, and rotational collective enhancements are expected to be negligible.
For odd-A nuclei, blocking calculations are performed by fixing the occupation of the lowest-energy quasiparticle state with appropriate quantum numbers, as listed in Table 1. This procedure allows even–even and odd-mass nuclei to be treated on the same footing within the RHB framework, which is essential for systematic studies along isotopic chains.
In addition to binding energies, pairing correlations are quantified through the neutron three-point odd–even mass difference [49],
$ \begin{aligned} \Delta_n^{(3)}(N) =\frac{1}{2}\left[ B(N-1)-2B(N)+B(N+1) \right], \end{aligned} $
(12) where
$ B(N) $ denotes the binding energy of the nucleus with neutron number N.The calculated values of
$ \Delta_n^{(3)}(N) $ for Sn isotopes ranging from 111Sn to 124Sn are presented and compared with experimental data in Figure 1. The RHB calculations reproduce the characteristic odd–even staggering pattern along the isotopic chain, with pairing gaps of the correct order of magnitude. The remaining deviations, typically within a few hundred keV, reflect the sensitivity of the three-point indicator to local shell effects and the single-particle level spacing near the Fermi surface.
Figure 1. (color online) Odd-even mass differences for Sn isotopes from 111Sn to 124Sn compared with experimental data.
Overall, the RHB framework provides a consistent microscopic description of ground-state properties for both even–even and odd-A Sn isotopes, supplying reliable single-particle spectra and pairing correlations for the combinatorial construction of nuclear level densities discussed below.
-
The total nuclear level densities,
$ \rho(U) $ , as functions of excitation energy, U, have been calculated for Sn isotopes from 111Sn to 124Sn. To highlight the global energy dependence, a Gaussian smoothing with a width of$ \sigma = 2.0 $ MeV has been applied, as shown in Figure 2.
Figure 2. (color online) Calculated level densities as a function of excitation energy for the Sn isotopic chain from 111Sn to 124Sn using the RHB theory plus the combinatorial method. Odd-A nuclei are shown with dashed curves, while even–even nuclei are shown with solid curves.
For all isotopes, the level density increases rapidly with excitation energy; however, below about
$ U\approx 1 $ MeV the behavior is influenced by the discrete nature of low-lying states and by pairing gaps. An approximately exponential increase becomes evident at low-to-intermediate excitation energies ($ \sim 1 $ –3 MeV). At higher excitation energies, the level density curves display similar slopes, indicating a gradual transition toward a regime dominated by statistical properties.As shown in Fig. 2, odd-A nuclei are plotted with dashed curves and even–even nuclei with solid curves, making the odd–even staggering clear. In addition, an isotopic dependence is found. Toward the
$ N=82 $ shell closure, the level density tends to be reduced, and this reduction is most evident in the vicinity of the neutron separation energy; it does not necessarily imply a strictly monotonic ordering over the full excitation-energy range.Overall, the calculated total level densities show smooth energy dependence and consistent isotopic trends, forming the basis for comparisons with experimental constraints and reaction calculations discussed below. These systematic features of the total level densities are expected to have a direct impact on statistical model calculations based on the compound-nucleus mechanism.
-
The nuclear level densities of Sn isotopes, calculated using the present RHB-based approach, are compared with experimental data obtained via the Oslo method [39], as well as with results from the non-relativistic HFB [50] combined with the combinatorial method. The red curves represent the current calculations, the blue dashed curves show the HFB-based results, and the red symbols indicate the experimental data, as illustrated in Figure 3.
Figure 3. (color online) Comparison of nuclear level densities of Sn isotopes calculated in the present work with experimental data extracted from the Oslo method and with results obtained using the non-relativistic HFB plus combinatorial approach. The level density at the neutron separation energy,
$ \rho(S_n) $ , deduced from s-wave neutron resonance spacings$ D_0 $ is also shown.For most isotopes, the present calculations reproduce the experimental level densities over a broad excitation-energy range. In particular, at low excitation energies, typically below 6 MeV, the RHB-based results follow both the slope and the absolute magnitude of the experimental data more closely than the HFB-based calculations. By contrast, the HFB plus combinatorial approach tends to overestimate the level density in this energy region for several isotopes. In our calculations, the RHB theory is implemented with a finite-range separable pairing force [43, 44]. The improved agreement with experimental level densities at low excitation energies is attributed to the combined effects of pairing correlations and differences in the underlying single-particle shell structure predicted by the relativistic framework, rather than to pairing correlations alone. In particular, for mid-shell Sn isotopes such as 112–118Sn, the present approach provides improved agreement with the experimental level densities in the low-energy region where pairing and shell effects are most pronounced. A detailed sensitivity study with respect to the pairing interaction is beyond the scope of this work; however, moderate variations of the pairing strength are expected to mainly affect low-energy level densities, while the overall isotopic trends remain robust.
At excitation energies close to the neutron separation energy
$ S_n $ , the present level densities are constrained by available experimental information on s-wave neutron resonance spacings. A quantitative comparison is presented in Table 2, which lists the calculated and experimental$ D_0 $ values for selected Sn isotopes [9]. The s-wave neutron resonance spacing$ D_0 $ is calculated from the level density at the neutron separation energy,$ \rho(S_n) $ , combined with the corresponding spin–parity distributions, following standard nuclear data evaluation practice.Nucleus N $ D_0^{{\rm{Theo}}} $ (eV)$ D_0^{{\rm{Expt}}} $ (eV)$ D_0^{{\rm{Theo}}}/D_0^{{\rm{Expt}}} $ 113Sn 63 376 $ 157 \pm 52 $ 2.39 115Sn 65 299 $ 286 \pm 106 $ 1.04 117Sn 67 865 $ 380 \pm 130 $ 2.28 118Sn 68 197 $ 55 \pm 5 $ 3.59 119Sn 69 908 $ 480 \pm 90 $ 1.89 120Sn 70 189 $ 90 \pm 20 $ 2.10 121Sn 71 2031 $ 1640 \pm 200 $ 1.24 125Sn 75 3488 $ 5000 \pm 1200 $ 0.70 Table 2. Comparison of theoretical and experimental s-wave resonance spacings
$ D_0 $ .The present calculations reproduce the overall isotopic trend of the experimental
$ D_0 $ values. The calculated spacings are typically within a factor of 2–3 of the experimental data, which is comparable to the accuracy commonly achieved by microscopic level-density models. This level of agreement indicates that the present microscopic level densities are suitable for use in statistical reaction calculations and nuclear data applications. -
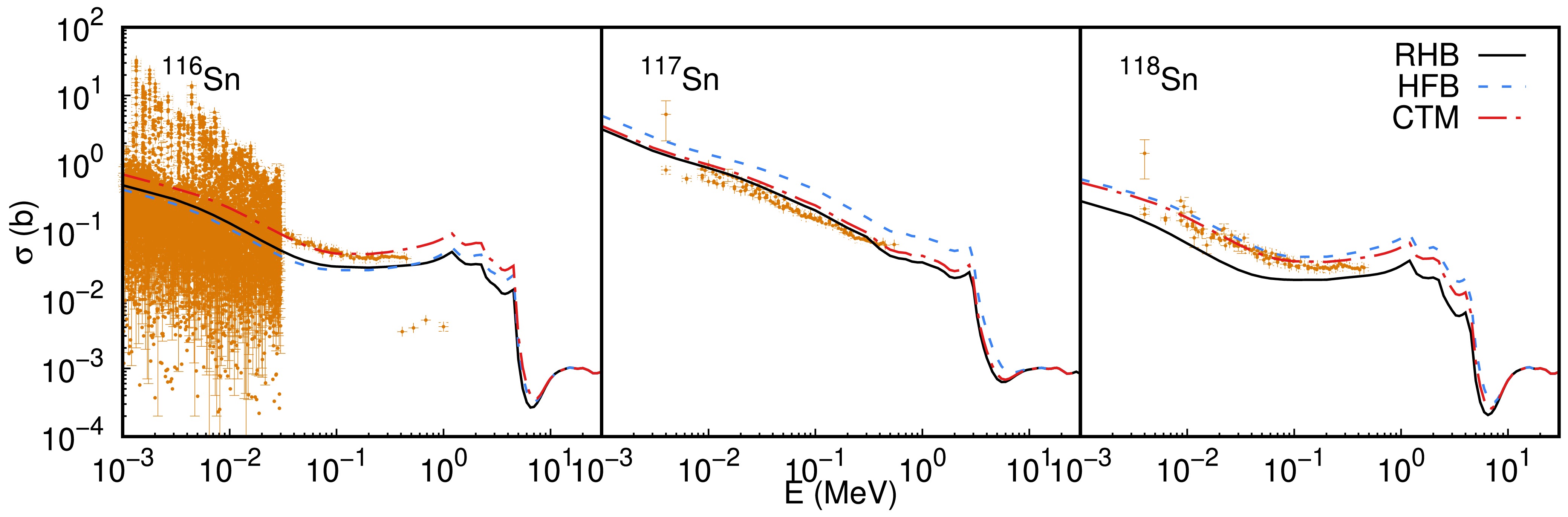
Radiative neutron capture
$ (n,\gamma) $ cross sections are calculated within the statistical Hauser–Feshbach framework using the UNF code [51−53]. The UNF framework integrates the optical model, Hauser-Feshbach model, and an exciton model, which incorporates angular-momentum-dependent effects, improving the treatment of particle emission during the pre-equilibrium process. All calculations employ the same set of reaction ingredients, including the Koning–Delaroche optical model potential, the standard Lorentzian γ-ray strength function with RIPL-3 recommended parameters, and identical compound-nucleus decay schemes [54].The only difference among the calculations arises from the nuclear level-density input. Three types of level densities are considered: the RHB-based combinatorial level densities obtained in the present work, the HFB-based combinatorial level densities of Ref. [50], and the phenomenological constant-temperature model (CTM).
To properly describe experimental observables, a mild renormalization of the level density at the neutron separation energy is applied in the standard form
$ \begin{aligned} \rho_{{\rm{renorm}}}(U,J,P) = \exp \left[\alpha\sqrt{U-\delta}\right] \,\rho(U-\delta,J,P), \end{aligned} $
(13) with fixed parameters
$ \alpha=1 $ and$ \delta=0 $ adopted consistently for all isotopes and all level-density models. This standard choice corresponds to a mild, isotope-independent renormalization and enables a consistent comparison among different level-density models without introducing additional nucleus-by-nucleus adjustments.The
$ (n,\gamma) $ cross sections for 116Sn, 117Sn, and 118Sn, calculated using different nuclear level-density models, are compared with experimental data from the EXFOR library [55], as shown in Figure 4. All calculations are performed within the same UNF framework, with differences arising solely from the level-density input.
Figure 4. (color online) Radiative neutron capture
$ (n,\gamma) $ cross sections for 116Sn, 117Sn, and 118Sn calculated using different nuclear level-density models, compared with available experimental data from the EXFOR library.For all three isotopes, the RHB-based calculations yield smaller
$ (n,\gamma) $ cross sections than the HFB-based results over the entire neutron-energy range. At very low neutron energies, the capture cross section can be influenced not only by the total level density but also by the spin–parity distribution and channel competition; for 116Sn, differences in spin-parity populations near the neutron separation energy may lead to slightly larger RHB-based cross sections in the lowest-energy region.This behavior reflects the differences in the underlying level densities, with the RHB-based combinatorial densities being systematically lower than the HFB-based ones. These results confirm that the choice of microscopic level density can lead to significant variations in predicted neutron capture cross sections, which has direct implications for nuclear reaction modeling and data evaluation.
-
Microscopic nuclear level densities of the Sn isotopic chain have been studied within a relativistic framework by combining the RHB theory with the combinatorial method. Self-consistent single-particle spectra and pairing correlations obtained from covariant density functional theory provide the microscopic basis for the level-density construction in both even–even and odd-A nuclei.
The calculated level densities exhibit systematic trends with excitation energy and neutron number. At low excitation energies, pronounced odd–even effects and shell-related structures are obtained, reflecting the underlying single-particle spectrum and pairing correlations. Comparisons with available experimental information, including cumulative low-lying levels, Oslo-type level densities, and s-wave neutron resonance spacings
$ D_0 $ , indicate that the present approach provides a consistent description of level densities along the Sn isotopic chain in the energy region where nuclear-structure effects are most significant.The impact of the microscopic level densities on nuclear reaction observables has been examined through radiative neutron capture
$ (n,\gamma) $ cross sections calculated within a statistical Hauser–Feshbach framework. Using identical reaction ingredients, systematic differences are observed between calculations based on relativistic and non-relativistic microscopic level densities, reflecting the sensitivity of statistical reaction observables to the underlying nuclear level-density input.This study demonstrates that microscopic nuclear level densities constructed within a relativistic framework, especially with the incorporation of the finite-range separable pairing force, can be consistently applied in both nuclear-structure analyses and statistical reaction calculations. The RHB approach offers a more accurate description of pairing correlations, especially in mid-to-heavy nuclei like the Sn isotopic chain, making it an invaluable tool for nuclear reaction modeling. Future work will extend this approach to a wider range of nuclei, including neutron-rich systems of astrophysical and technological interest, and further explore its systematic application in nuclear reaction modeling and nuclear data evaluation, particularly for neutron-induced reactions.
-
The authors thank Prof. Peter Ring (Technical University of Munich) for valuable discussions and insightful comments. They are also grateful to Yangping Shen (China Institute of Atomic Energy) for his support in the reliability analysis of the experimental data, to Pengxiang Du (Jilin University) for helpful guidance and constructive discussions, and to Xiaofei Jiang (Peking University) for useful advice.
Systematic study of microscopic nuclear level densities of Sn isotopes within a relativistic framework
- Received Date: 2026-01-16
- Available Online: 2026-05-01
Abstract: Nuclear level density (NLD) plays a crucial role in describing the statistical properties of excited nuclei and is a key input for models of compound nuclear reactions, such as those used in nuclear astrophysics and reactor physics. In this work, we construct microscopic nuclear level densities for Sn isotopes by combining single-particle spectra, pairing correlations, and deformation parameters from relativistic Hartree–Bogoliubov (RHB) calculations with the combinatorial method. We examine the energy dependence and isotopic systematics of the calculated level densities. In particular, we analyze their variation with excitation energy and neutron number, and compare them to available experimental data, including cumulative low-lying levels and s-wave neutron resonance spacings ($ D_0 $). The resulting level densities are further employed as input to Hauser–Feshbach calculations of radiative neutron capture $ (n,\gamma) $ cross sections [





Abstract
HTML
Reference
Related
PDF












DownLoad: