Pseudopotential of Hybrid Mesons in a Holographic Anisotropic Plasma

Figures(10)

Get Citation
Jing Zhou and Saiwen Zhang. Pseudopotential of Hybrid Mesons in a Holographic Anisotropic Plasma[J]. Chinese Physics C. doi: 10.1088/1674-1137/ae5a88
Jing Zhou and Saiwen Zhang. Pseudopotential of Hybrid Mesons in a Holographic Anisotropic Plasma[J]. Chinese Physics C.  doi: 10.1088/1674-1137/ae5a88 shu
Milestone
Received: 2025-09-23
Article Metric

Article Views(33)
PDF Downloads(0)
Cited by(0)
Policy on re-use
To reuse of subscription content published by CPC, the users need to request permission from CPC, unless the content was published under an Open Access license which automatically permits that type of reuse.
通讯作者: 陈斌, bchen63@163.com
  • 1. 

    沈阳化工大学材料科学与工程学院 沈阳 110142

  1. 本站搜索
  2. 百度学术搜索
  3. 万方数据库搜索
  4. CNKI搜索

Email This Article

Title:
Email:

Pseudopotential of Hybrid Mesons in a Holographic Anisotropic Plasma

  • 1. Department of Physics, Hunan City University, Yiyang, Hunan 413000, China
  • 2. All-solid-state Energy Storage Materials and Devices Key Laboratory of Hunan Province, Hunan City University, Yiyang 413000, China

Abstract: We investigate the pseudopotential of hybrid mesons in a holographic anisotropic background within the AdS/CFT correspondence. Hybrid states are modeled by introducing a defect, and we analyze the associated force-balance condition in the string configuration. From this setup, we derive the balance equation and compute key physical quantities, including the separation distance, pseudopotential, and binding energy of the hybrid mesons. We find that increasing the anisotropy parameter a decreases the separation distance for both ground and excited states. However, while the ground-state potential decreases, the pseudopotential of the hybrid state increases. Additionally, the pseudopotential of hybrid mesons exhibits significant sensitivity to variations in the angular parameter α.

    HTML

    I.   INTRODUCTION
    • The quark-antiquark potential plays a fundamental role in understanding the interaction between a quark and an antiquark [1, 2]. Its study is essential not only for describing the formation of heavy quarkonia but also for exploring the properties of the quark-gluon plasma (QGP) [35]. It is generally understood that the static quark-antiquark potential consists of two main contributions: a short-distance Coulomb-like term, which can be derived from perturbative QCD, and a long-distance linear potential associated with confinement [610]. The interaction potential between quarks and antiquarks is commonly evaluated by calculating Wilson loop expectation values within the non-perturbative regime of lattice QCD [1118]. Effective field theory approaches, such as potential non-relativistic QCD (pNRQCD), offer an alternative perspective by systematically incorporating the relevant energy scales [1923]. However, both approaches have limitations. For example, lattice QCD calculations are performed in Euclidean time and therefore do not provide direct access to real-time transport coefficients [24]. These quantities must be extracted indirectly through the reconstruction of spectral functions, a numerically challenging inverse problem. By contrast, perturbative QCD is restricted to the weak-coupling regime and cannot capture the strongly coupled nature or the infrared physics of the QGP. Given these challenges, the AdS/CFT correspondence offers an alternative approach by mapping the problem of strong coupling in gauge theory to a weakly coupled classical gravity description in a higher-dimensional spacetime [2529]. This duality provides a theoretical framework for investigating non-perturbative phenomena, thereby allowing the computation of the quark-antiquark potential under strong-coupling conditions.

      Ref. [30] applies the AdS/CFT correspondence to compute the static quark-antiquark potential using the Wilson loop. This approach extends to the study of both the static potential and the pseudopotential under various conditions. The static potential corresponds to the ground-state energy of the quark-antiquark pair, whereas the pseudopotential describes the energy of an excited state. For instance, Ref. [31] examines the quark-antiquark potential in a background magnetic field and finds that increasing the field strength reduces the potential. In a rotating background, the potential also decreases as the angular velocity increases [32]. Other studies explore the potential under various extreme conditions, thereby providing further insights into quark confinement and screening effects [3349].

      Hybrid mesons differ from conventional mesons in that the flux tube connecting the quark and antiquark carries gluonic excitations [50]. These excitations modify the meson spectrum and permit quantum numbers that are forbidden to ordinary states. Studying hybrid mesons elucidates the behavior of the gluonic sector in hadronic dynamics. Allowed decay patterns have been investigated via lattice QCD in Ref. [51], and the impact of these gluonic excitations on the mass spectrum has been systematically mapped out in Ref. [52], particularly within a quenched QCD framework. A study of light-quarkonium hybrid mesons with various spin-parity quantum numbers is presented in Ref. [53]. Further studies of hybrid mesons, covering different aspects of their properties, can be found in Refs. [5463].

      Recently, following the proposal of Andreev et al., holographic approaches have been employed to study quark-antiquark potentials and pseudopotentials within the framework of ten-dimensional string theory [64, 65]. Unlike the static $ Q\bar{Q} $ and $ QQQ $ potentials analyzed in Ref. [71], determining the pseudopotential for hybrid mesons requires introducing a defect. The contribution of this defect can be effectively captured by the action of a five-dimensional brane, which in turn enables a description of the gluon field in an excited state. The defect is assumed to be embedded in the ten-dimensional string spacetime [66]. In their study, Andreev et al. examined the pseudopotential for the excited Σ meson and the static potential for the ground-state Σ meson [66]. Their results align well with lattice QCD calculations, thereby demonstrating the reliability of this model.

      However, to the best of our knowledge, the quark-antiquark pseudopotential for hybrid mesons in an anisotropic background has not yet been explored. Initial-state geometric asymmetry in relativistic heavy-ion collisions naturally gives rise to non-uniform pressure gradients as the system undergoes hydrodynamic expansion. Previous studies indicate that the physics in anisotropic backgrounds differs markedly from that in isotropic systems. Motivated by these considerations, we investigate the pseudopotential for hybrid mesons within a ten-dimensional anisotropic string model. In Sec. II, we introduce the ten-dimensional model, explain the rationale for including defects, and show how to compute their contribution to the hybrid-meson pseudopotential. This sets the foundation for deriving the hybrid-meson separation distance and pseudopotential, which are discussed in detail. Sec. III presents a comparative analysis of the standard quark-antiquark potential and the hybrid-meson pseudopotential. Finally, in Sec. IV we summarize our results and discuss their physical implications within this anisotropic framework.

    II.   THEORETICAL COMPUTATION OF HYBRID MESON PSEUDOPOTENTIALS
    • In this section, we briefly outline the string configuration used to describe excited quark–antiquark pairs. In the ground-state configuration, the quark pair is connected by a fundamental string with a smooth, U-shaped geometry. For excited states, however, it is necessary to introduce an additional object—referred to as a defect—which captures the excitation of the color flux tube. Physically, this defect represents excited gluonic fields between the quark and antiquark. As a result, the string profile in the excited configuration develops a cusp at the defect, rendering the solution non-smooth, as illustrated in Fig. 1 [75]. In this setup, the quark and antiquark are symmetrically located on opposite sides of the u-axis, with the fundamental strings extending from these endpoints toward a common defect situated on the u-axis. Consequently, string 1 makes a nonzero angle α with respect to the x-axis, in contrast to the ground-state configuration, where this angle vanishes.

      Figure 1.  (color online) Geometric setup of the hybrid meson model [75]. The quark and antiquark are shown as red markers along the x-axis, whereas the holographic defect is represented by a black symbol on the u-axis. The black lines connecting the defect to the quarks represent fundamental strings. The quantities $ e_1 $ and $ e_2 $ denote the tensions of strings (1) and (2), respectively. The angle between string (1) and the x-axis is denoted by α.

      The present study investigates the behavior of excited mesons in the presence of anisotropy. The anisotropy arises from a finite-temperature deformation of $ {\cal{N}}=4 $ SYM, whose gravity dual is obtained by including the backreaction of D7-branes. These branes induce a nontrivial profile for the axion field χ along one spatial direction, explicitly breaking rotational invariance. This setup is holographically dual to a gauge theory with a spatially varying θ-term [67]. The corresponding five-dimensional gravity action in the Einstein frame is given by

      $ S = \frac{1}{2\kappa^2} \int d^5x \sqrt{-g} \left[ R + 12 - \frac{1}{2}(\partial\phi)^2 - \frac{1}{2}e^{2\phi}(\partial\chi)^2 \right] + S_{GH} $

      (1)

      where R is the Ricci scalar, $ \kappa^2 $ the gravitational coupling, and ϕ the dilaton. The constant term $ 12 $ corresponds to setting the AdS radius to unity ($ L=1 $). This action arises from a consistent truncation of Type IIB supergravity on $ S^5 $, where $ S_{GH} $ denotes the Gibbons-Hawking boundary term. The Einstein-frame metric takes the form [67, 68, 74]

      $ \begin{aligned}[b]d s^{2} =\;& \frac{1}{u^{2}}\left(-{\cal{F}} {\cal{B}}\, d t^{2}+{\cal{H}} d x^{2}+d y_{}^{2}+d z_{}^{2}+\frac{d u^{2}}{{\cal{F}}}\right)\\&+{\cal{Z}} d \Omega_{S^{5}}^{2}\end{aligned} $

      (2)

      $ \chi = a\, x, \quad \phi = \phi(u) $

      (3)

      Regarding the internal geometry, the factor $ {\cal{Z}}(u) $ rescales the internal five-sphere, $ S^5 $, whose unit metric is denoted by $ d\Omega_{S^5}^2 $. The anisotropy of the dual 4D plasma is introduced via the axion field $ \chi = a x $ in the 5D gravity action. Physically, the parameter a corresponds to the constant axion gradient. Through holographic renormalization of the stress-energy tensor $ \langle T_{\mu\nu} \rangle $, Ref. [67] established that this setup leads to pressure anisotropy, with the transverse pressure $ P_T $ and the longitudinal pressure $ P_L $ related by $ \Delta = \dfrac{P_T}{P_L}-1 $. In the limit of small $ a/T $, this relation becomes $ \Delta = \dfrac{a^2}{2\pi^2 T^2} $ [69]. The metric functions can be expanded perturbatively in powers of a. For the anisotropic setup, the metric components $ {\cal{F}}(u) $, $ {\cal{B}}(u) $, and $ {\cal{H}}(u) $ take the following forms [67, 68, 74]:

      $ {\cal{F}}(u) = 1-\frac{u^{4}}{u_{h}^{4}}+a^{2}{\cal{F}}_{2}(u)+{\cal{O}}\left(a^{4}\right), $

      (4)

      $ {\cal{B}}(u) = 1+a^{2} {\cal{B}}_{2}(u)+{\cal{O}}\left(a^{4}\right), $

      (5)

      $ {\cal{H}}(u) = e^{-\phi(u)}, \quad \text {with} \quad \phi(u) = a^{2} \phi_{2}(u). $

      (6)

      Although the analytic expressions are derived for small $ a/T $, we have verified their accuracy by comparison with fully numerical solutions of the governing equations. It has been demonstrated that the saddle-point approximation for the Nambu-Goto action remains robust and accurate for anisotropies as large as $ a/T \approx 12 $ [69]. Our largest value ($ a/T \approx 7 $ at $ T=0.1 $ GeV) lies well within this numerically verified bound. The second-order coefficients are determined by boundary conditions at the horizon.

      $\begin{aligned}[b] {\cal{F}}_{2}(u) =\;& \frac{1}{24 u_{h}^{2}}\Bigg[8 u^{2}\left(u_{h}^{2}-u^{2}\right)-10 u^{4} \log 2\\&+\left(3 u_{h}^{4}+7 u^{4}\right) \log \left(1+\frac{u^{2}}{u_{h}^{2}}\right)\Bigg],\end{aligned} $

      (7)

      $ B_{2}(u) = -\frac{u_{h}^{2}}{24}\left[\frac{10 u^{2}}{u_{h}^{2}+u^{2}}+\log \left(1+\frac{u^{2}}{u_{h}^{2}}\right)\right], $

      (8)

      $ \phi_{2}(u) = -\frac{u_{h}^{2}}{4} \log \left(1+\frac{u^{2}}{u_{h}^{2}}\right) . $

      (9)

      Thus the temperature is given by

      $ T = -\left.\frac{\partial_{u} {\cal{F}}(u) \sqrt{{\cal{B}}(u)}}{4 \pi}\right|_{u = u_{h}} = \frac{1}{\pi u_{h}}+a^{2} u_{h} \frac{5 \log 2-2}{48 \pi}+{\cal{O}}\left(a^{4}\right). $

      (10)

      The plasma considered in this work is homogeneous yet anisotropic. While translational invariance is preserved, rotational symmetry is explicitly broken by the axion field. Consequently, the temperature, set by the Hawking temperature of the black brane, is uniform and independent of the spatial coordinate x.

      Following Ref. [66], we construct the total action for the pseudopotential of the excited meson by combining the Nambu-Goto term with an additional contribution due to the defect:

      $ S = \sum\limits_{i = 1}^{2} S_{i}^{({\rm{NG}})}+S_{{\rm{def}}}, $

      (11)

      where $S_i^{({\rm{NG}})}$ denotes the Nambu-Goto action of the i-th string segment that stretches from a heavy quark (or antiquark) on the boundary to a defect in the bulk. The two string segments reflect the hybrid meson configuration, in which the quark and antiquark are connected by an intermediate gluonic excitation. In the static limit, we describe the string trajectory via the embedding $ u = u(x) $ with the gauge choice $ \tau = t $ and $ \sigma = x $. The corresponding Nambu-Goto action for each string segment is given by

      $ S^{\text{NG}} = \frac{1}{2\pi\alpha'} \int d\tau d\sigma \sqrt{-\det g_{ab}}, $

      (12)

      Here, $ g_{ab} $ denotes the worldsheet metric induced from the bulk spacetime metric $ G_{\mu\nu} $ via $ g_{ab} = G_{\mu\nu} \partial_a X^\mu \partial_b X^\nu $.

      The main difficulty lies in determining the defect contribution. Following the holographic framework of Ref. [66], the defect is modeled as a fivebrane-antifivebrane pair embedded in a ten-dimensional background. The leading-order dynamics of these fivebranes are governed by the Dirac-Born-Infeld (DBI) action, which is proportional to the world-volume of the branes, $ S_{{\rm{def}}} \sim \int d^6\xi \sqrt{-g_6} $, where $ g_6 $ is the induced metric [66]. By evaluating the induced metric $ g_6 $ in the string frame and integrating over the compact dimensions, one finds that the action for this configuration reduces to an effective contribution localized at the turning point $ u_0 $ [66, 70]:

      $ S_{{\rm{def}}}= \int d t \sqrt{\frac{{\cal{F}}(u_0){\cal{B}}(u_0) e^{\frac{5}{2} \phi}}{u_{0}^2}}. $

      (13)

      Consequently, the complete holographic action is given by:

      $\begin{aligned}[b] S=\;&2 g {\cal{T}} \int {\rm{d}} x \frac{\sqrt{{\cal{B}}(u)}}{u^{2}} \sqrt{{\cal{F}}(u) {\cal{H}}(u)+\left(\partial_{x} u\right)^{2}}\\&+2 \; {\rm{kg}} {\cal{T}} \sqrt{\frac{{\cal{F}}(u_0) {\cal{B}}(u_0) e^{\frac{5}{2} \phi}}{u_{0}^2}}.\end{aligned} $

      (14)

      Here, g and k are phenomenological parameters that characterize the strength of the gluonic defect contribution in the hybrid configuration. Consistent with Refs. [66, 70], we set $g = 0.176$. $ {\cal{T}} $ denotes the temporal extent of the Wilson loop. Following the structure of Eq. (14), the Lagrangian for the first part is given by:

      $ {\cal{L}}=\frac{\sqrt{{\cal{B}}(u)}}{u^{2}} \sqrt{{\cal{F}}(u) {\cal{H}}(u)+\left(\partial_{x} u\right)^{2}}. $

      (15)

      Given that the Lagrangian does not explicitly depend on the coordinate x, the Hamiltonian-like quantity $ {\cal{L}}-u^{\prime} \dfrac{\partial {\cal{L}}}{\partial u^{\prime}} $ serves as a first integral of the equations of motion. By evaluating this conserved current C at the defect junction $ {\bf{D}} $ (located at $ u=u_0 $) and imposing the geometric condition $ \partial_{x} u = \tan\alpha $, we find that, at the defect $ {\bf{D}} $ located at $ u_{0} $, we have [74]

      $ \frac{\frac{\sqrt{{\cal{B}}(u)}}{u^{2}} {\cal{F}}(u) {\cal{H}}(u)}{\sqrt{{\cal{F}}(u){\cal{H}}(u)+\left(\partial_{x} u\right)^{2}}} = \frac{\sqrt{{\cal{B}}(u_0)}}{u_0^{2}} \sqrt{{\cal{F}}(u_0) {\cal{H}}(u_0)} $

      (16)

      After applying this matching procedure and rearranging the terms to isolate the spatial gradient, we obtain the following relation for the trajectory of the holographic string:

      $ \partial_{u} x = \sqrt{\frac{\dfrac{{\cal{B}}(u_{0})}{u_{0}^{4}} {\cal{F}}^2(u_0){\cal{H}}^2(u_0)}{\dfrac{{\cal{B}}(u)}{u^{4}} {\cal{F}}^2(u){\cal{H}}^2(u) {\cal{F}}(u_0){\cal{H}}(u_0)-\dfrac{{\cal{B}}(u_{0})}{u_{0}^{4}} {\cal{F}}^2(u_0){\cal{H}}^2(u_0) {\cal{F}}(u){\cal{H}}(u)}}. $

      (17)

      The mechanical stability of the junction is governed by the force-balance equation $ {\boldsymbol{e}}_{1}+{\boldsymbol{e}}_{2}+{\boldsymbol{f}} = 0 $, as depicted in Fig. 1. Here, $ {\boldsymbol{e}}_{i} $ denote the string tensions, and $ {\boldsymbol{f}} $ accounts for the gravitational effect at the defect, which is defined via the variation $ {\boldsymbol{f}}=-\delta E_{{\rm{def}}} / \delta u $. Due to transverse symmetry in the x-direction, we only need to consider equilibrium in the holographic direction. Therefore, each force and its components are given by [75]

      $ \begin{aligned}[b] {\boldsymbol{f}} =\;& \left(0,-2 g {\rm{k}} \partial_{u_{0}} \sqrt{ \frac{ {\cal{F}}(u_0) {\cal{B}}(u_0) e^{ \frac{5}{2} \phi }}{u^2} }\right),\\ {\boldsymbol{e}}_{\bf{1}} =\;& g \frac{\sqrt{{\cal{B}}(u_0)}}{u_{0}^{2}}\left(-\frac{{\cal{F}}(u_0) {\cal{H}}(u_0)}{\sqrt{{\cal{F}}(u_0) {\cal{H}}(u_0)+\tan ^{2} \alpha}},\right.\\&\left. -\frac{1}{\sqrt{1+{\cal{F}}(u_0) {\cal{H}}(u_0) \cot ^{2} \alpha}}\right),\\ {\boldsymbol{e}}_{2} =\;& g \frac{\sqrt{{\cal{B}}(u_0)}}{u_{0}^{2}}\left( \frac{{\cal{F}}(u_0) {\cal{H}}(u_0)}{\sqrt{{\cal{F}}(u_0) {\cal{H}}(u_0)+\tan ^{2} \alpha}},\right.\\&\left.-\frac{1}{\sqrt{1+{\cal{F}}(u_0) {\cal{H}}(u_0) \cot ^{2} \alpha}}\right). \end{aligned} $

      (18)

      By symmetry, the transverse components of the force in the x-y plane cancel identically. Accordingly, the condition of mechanical equilibrium reduces to the following transcendental equation for $ u_0 $:

      $ \frac{\sqrt{{\cal{B}}(u_0)}}{u_{0}^{2}} \frac{1}{\sqrt{1+{\cal{F}}(u) {\cal{H}}(u) \cot ^{2} \alpha}}+k \partial_{u_{0}} \sqrt{ \frac{ {\cal{F}}(u_0) {\cal{B}}(u_0) e^{ \frac{5}{2} \phi }}{u_0^2} } =0. $

      (19)

      Solving Eq. (19) yields $ u_{0} $ directly. The separation distance can be computed by integrating Eq. (17) as follows [71, 72]:

      ${ \begin{aligned}[b] L &= \int_{0}^{u_0} \frac{dx}{du} du\\ &=\int_{0}^{u_{0}} \sqrt{\frac{\dfrac{{\cal{B}}(u_0)}{u_{0}^{4}} {\cal{F}}^2(u_0) {\cal{H}}^2(u_0)}{\dfrac{{\cal{B}}(u)}{u^{4}} {\cal{F}}^2(u) {\cal{H}}^2(u) {\cal{F}}(u_0) {\cal{H}}(u_0)-\dfrac{{\cal{B}}(u_0)}{u_{0}^{4}} {\cal{F}}^2(u_0) {\cal{H}}^2(u_0) {\cal{F}}(u) {\cal{H}}(u)}} d u. \end{aligned}} $

      (20)

      When $ \partial_{x} u = \tan \alpha = 0 $, the equation reduces to the one used to compute the separation distance of a standard quark-antiquark pair. Within the AdS/CFT correspondence, the static energy of a quark-antiquark configuration is related to the on-shell classical action through the relation $ E = S/{\cal{T}} $, where S denotes the total action evaluated on the string configuration. To obtain a finite potential energy for the hybrid meson, the Nambu-Goto action must be regularized by subtracting the ultraviolet (UV) divergence. This is typically achieved by removing the self-energy contribution of the bare quarks, which corresponds to the term $ g \int_{0}^{\infty} \frac{1}{u^2} du $. Consequently, the renormalized potential energy is given by [74]:

      $ \begin{aligned}[b] E =\;& 2 g \int_{0}^{u_{0}} \left(\frac{\sqrt{{\cal{B}}(u)}}{u^{2}} \sqrt{1+{\cal{F}}(u) {\cal{H}}(u)\left(\partial_{u} x\right)^{2}}-\frac{1}{u^{2}} \right)\; {\rm{d}}u \\&-\frac{2 g}{u_{0}}+2 g {\rm{k}} \sqrt{ \frac{ {\cal{F}}(u_0) {\cal{B}}(u_0) e^{ \frac{5}{2} \phi }}{u_0^2} }+ c.\end{aligned} $

      (21)

      In accordance with Refs. [66, 70], the model parameter is taken to be $ c = 0.71\,{\rm{GeV}} $. Following the definition of the binding energy in Refs. [38, 73, 74], the binding energy of the quark-antiquark pair is given by

      $ \begin{aligned}[b] E_{bind} =\;& E-2E_{Q}\\ =\;& 2 g \int_{0}^{u_{0}} \left(\frac{\sqrt{{\cal{B}}(u)}}{u^{2}} \sqrt{1+{\cal{F}}(u) {\cal{H}}(u)\left(\partial_{u} x\right)^{2}}-\frac{1}{u^{2}} \right)\; {\rm{d}}u \\&-\frac{2 g}{u_{0}}+2 g {\rm{k}} \sqrt{ \frac{ {\cal{F}}(u_0) {\cal{B}}(u_0) e^{ \frac{5}{2} \phi }}{u_0^2} }+ c\\ &- g\left( \int_{0}^{u_{h}} \left( \frac{\sqrt{{\cal{B}}(u)}}{u^{2}} \sqrt{{\cal{F}}(u) {\cal{H}}(u)}-\frac{1}{u^{2}} \right) \; {\rm{d}}u-\frac{1}{u_h} \right). \end{aligned} $

      (22)

      The self-contribution $ E_Q $ of a single quark is given by the action of a vertical string segment connecting the UV boundary ($ u=0 $) to the black hole horizon ($ u=u_h $). After implementing UV regularization to obtain a finite physical energy [38], one obtains:

      $ E_{Q} = \frac{1}{2}\left( \int_{0}^{u_{h}} \left( \frac{\sqrt{{\cal{B}}(u)}}{u^{2}} \sqrt{{\cal{F}}(u) {\cal{H}}(u)}-\frac{1}{u^{2}} \right)\; {\rm{d}}u-\frac{1}{u_h} \right). $

      (23)
    III.   NUMERICAL ANALYSIS
    • Building on the theoretical formalism introduced in the previous section, we investigate the behavior of exotic hybrid pseudopotentials in anisotropic backgrounds. Unlike conventional heavy-quarkonium systems, exotic hybrid mesons incorporate a topological defect D. We first quantify the dependence of the angular parameter α on the defect coordinate $ u_0 $, as shown in Fig. 2. The numerical results indicate a monotonic increase of α with increasing $ u_0 $, consistent with the geometric configuration in Fig. 1. As $ u_0 $ increases, the angular separation between the principal axes $ e_{1}(e_{2}) $ and the X-axis, which defines α, increases accordingly. The presence of the defect $ {\bf{D}} $ motivates a detailed analysis of its mechanical response. As shown in Fig. 3, we examine the dependence of the force acting on this defect on the parameter $ u_0 $. The results reveal a clear trend: the force magnitude diverges at small $ u_0 $ and asymptotically approaches zero as $ u_0 $ increases.

      Figure 2.  (color online) Angular profile α as a function of the bulk turning point $ u_0 $ for the isotropic case ($ a = 0 $), evaluated at the thermal scale $ T = 0.1\,{\rm{GeV}} $.

      Figure 3.  (color online) Numerical dependence of f on the bulk turning point $ u_0 $ in the isotropic case ($ a = 0 $) at $ T = 0.1\,{\rm{GeV}} $.

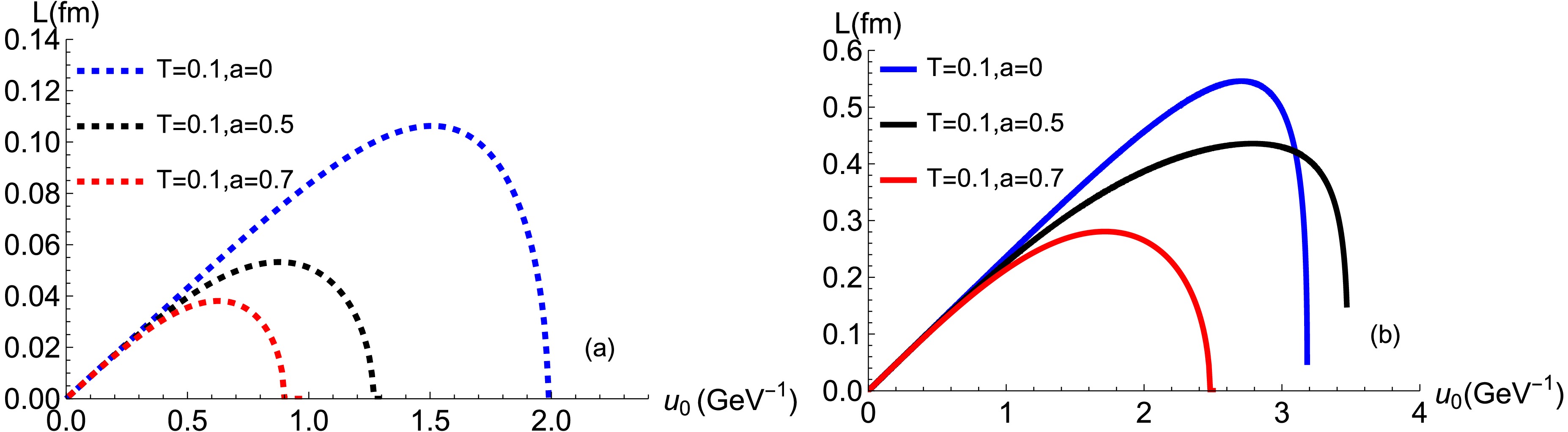
      The maximum screening distance is the greatest separation at which a quark-antiquark pair can remain bound; beyond this distance, the pair becomes unstable due to the medium screening effects, ultimately leading to dissociation. In Fig. 4, we calculated the separation distances of $ \Sigma_{g}^{+} $ and $ \Sigma_{u}^{-} $ as functions of the anisotropy parameter a at fixed temperatures. The results show that: (1) As a increases, the maximum screening distances of both $ \Sigma_{g}^{+} $ and $ \Sigma_{u}^{-} $ decrease monotonically. This indicates that the presence of anisotropy weakens the binding force between quark-antiquark pairs, making them more prone to dissociation. (2) Under identical conditions ($ T = 0.1\; \text{GeV} $ and the same a), the maximum separation distance of $ \Sigma_{u}^{-} $ is significantly smaller than that of $ \Sigma_{g}^{+} $. For example, at $ T = 0.1\; \text{GeV} $ and $ a = 0.1 $, the maximum separation distance of $ \Sigma_{u}^{-} $ is approximately $ 0.04\; \text{fm} $, while that of $ \Sigma_{g}^{+} $ is approximately $ 0.25\; \text{fm} $. This shows that $ \Sigma_{u}^{-} $ dissociates more easily than $ \Sigma_{g}^{+} $ under the same conditions.

      Figure 4.  (color online) Dependence of the separation distance on $ u_0 $ for the $ \Sigma_{g}^{+} $ and $ \Sigma_{u}^{-} $ channels at $ T = 0.1\,{\rm{GeV}} $ and for different values of the anisotropy parameter a. (a) $ \Sigma_{u}^{-} $: Dashed blue, black, and red curves correspond to anisotropy parameters $ a=0 $, $ 0.5 $, and $ 0.7 $, respectively. (b) $ \Sigma_{g}^{+} $: Solidblue, black, and red curves correspond to anisotropy parameters $ a=0 $, $ 0.5 $, and $ 0.7 $, respectively.

      Our results indicate that hybrid mesons are more sensitive to anisotropy than ground-state quarkonia. This stems from the excited color flux tube in hybrid states, modeled holographically as a worldsheet defect. The stability of this defect rests on a delicate balance between string tension and background geometry. Anisotropy raises the energy cost of maintaining this excited configuration, disrupting the equilibrium and triggering an earlier onset of instability relative to the ground state.

      In Fig. 5, we present a detailed analysis of the dependence of the pseudopotentials in the $ \Sigma_{g}^{+} $ and $ \Sigma_{u}^{-} $ channels on the quark-antiquark separation distance L. The results reveal the following characteristics: (1) In the short-distance regime, the pseudopotential in the $ \Sigma_{g}^{+} $ channel exhibits Coulomb-like behavior. Furthermore, as the anisotropy parameter a increases, the magnitude of this pseudopotential decreases monotonically. (2) In contrast, the pseudopotential in the $ \Sigma_{u}^{-} $ channel deviates significantly from a Coulomb-like form and is well described by a quadratic dependence on L. This behavior can be attributed to the presence of flux-tube excitations, where the color field configuration corresponds to higher vibrational modes of the gluonic field. In this regime, the energy stored in the flux tube behaves analogously to that of a harmonic oscillator, naturally leading to a quadratic potential profile with respect to the interquark separation. Additionally, this pseudopotential increases with the separation distance and grows larger as the anisotropy parameter a increases.

      Figure 5.  (color online) Behavior of the static potential for the $ \Sigma_{u}^{-} $ (a) and $ \Sigma_{g}^{+} $ (b) channels as a function of the separation L at $ T = 0.1\,{\rm{GeV}} $. (a) In the $ \Sigma_{u}^{-} $ channel, the dashed curves correspond to anisotropy parameters $ a = 0 $ (blue), $ 0.5 $ (black), and $ 0.7 $ (red). (b) In the $ \Sigma_{g}^{+} $ channel, the solid curves follow the same color scheme for the corresponding a values.

      The hybrid meson potential exhibits a characteristic $ L^2 $ dependence, driven by the restoring force of the gluonic defect. In an anisotropic medium, the background geometry alters the effective string tension and thus the stiffness of this force. This modification causes the quadratic growth to collapse earlier than in the isotropic limit, explaining why hybrid mesons show higher sensitivity to anisotropy than ground-state quarkonia.

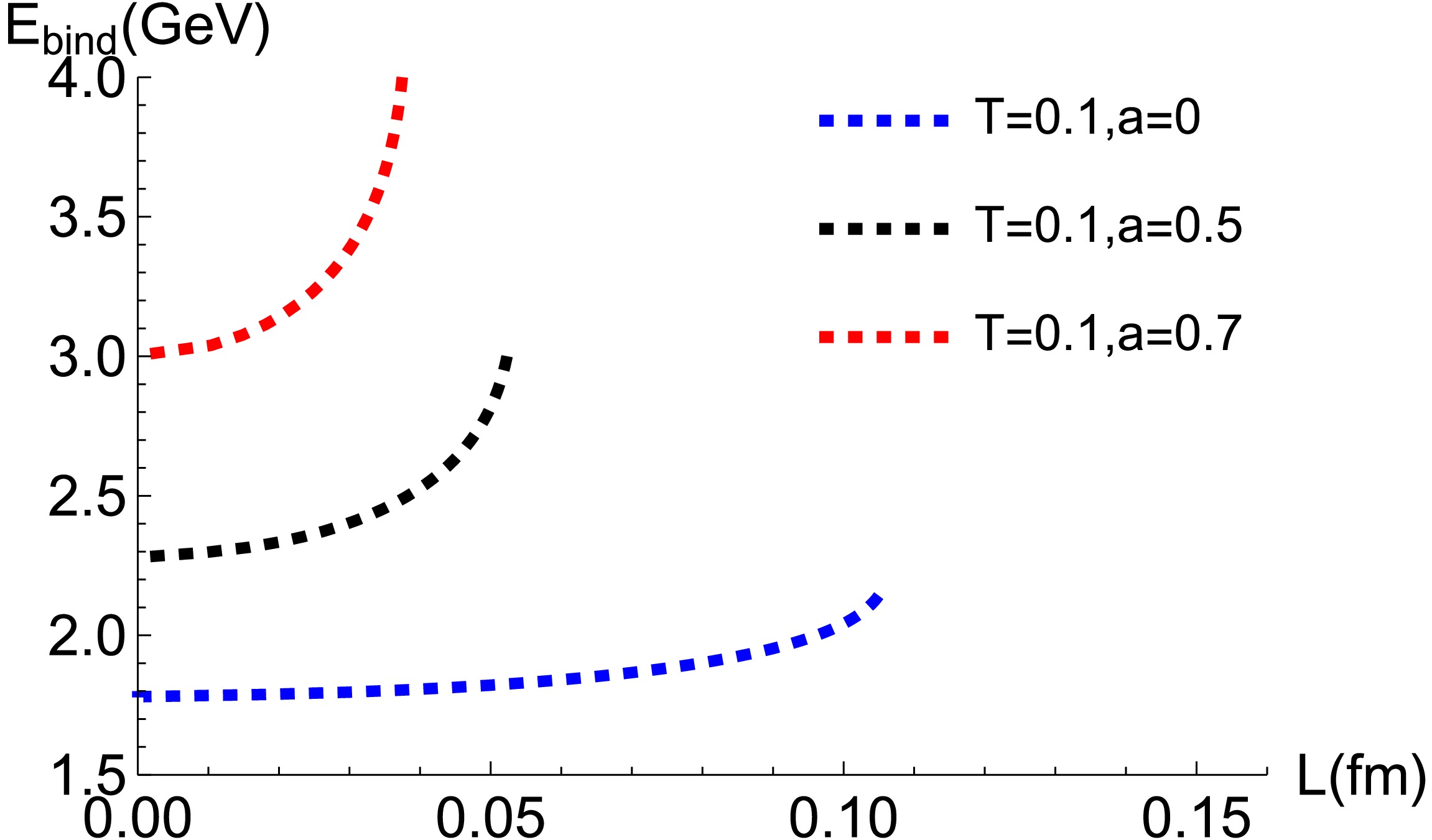
      In the previous discussion, we examined how the pseudopotential characterizes the excited state. However, the binding energy plays a more crucial role in determining whether the excited state can form a stable bound state or remains in an unstable configuration. Specifically, when the binding energy is negative, the excited state is stable and can form a bound state, whereas a positive binding energy indicates that the state cannot bind and is likely to dissociate. In Fig. 6, we show how the binding energy evolves with the anisotropy parameter a. As a increases, the binding energy in the $ \Sigma_{u}^{-} $ channel remains positive and grows larger, which suggests that the corresponding excited state becomes progressively more unstable and increasingly prone to dissociation. The fact that the binding energy of the $ \Sigma_u^- $ hybrid state is consistently positive in Fig. 6 implies that, within the explored temperature and anisotropy range, this hybrid state does not form a stable bound configuration. Physically, this behavior is expected, since hybrid mesons involve explicit gluonic excitations that are more sensitive to color screening effects in a hot and anisotropic plasma. Consequently, such states tend to dissociate more readily than conventional quark-antiquark bound states.

      Figure 6.  (color online) Evolution of the binding energy of the $ \Sigma_{u}^{-} $ state as a function of the separation L at $ T = 0.1\,{\rm{GeV}} $. Dashed blue, black, and red curves represent anisotropy values $ a = 0 $, $ 0.5 $, and $ 0.7 $, respectively.

      The separation distance of the $ \Sigma_{u}^{-} $ state is shown in Fig. 4. Its temperature dependence for fixed anisotropy $ a = 0.5 $ is further illustrated in Fig. 7. We observe that the maximum separation distance $ L_{\text{max}} $ decreases from about $ 0.055 $ to $ 0.045 $ fm as the temperature increases. This indicates that higher temperatures promote the dissolution of the $ \Sigma_{u}^{-} $ state, consistent with Ref. [70]. In Fig. 8, we investigate the temperature dependence of the potential energy of the $ \Sigma_{u}^{-} $ state. In our numerical analysis, we focus on $ T = 0.10 $, $ 0.15 $, and $ 0.16 $ GeV, values that lie near the QCD deconfinement crossover. In this range, color screening becomes significant and strongly impacts the stability of heavy-quark bound states. The results show that, with increasing temperature, the pseudopotential of $ \Sigma_{u}^{-} $ remains positive and gradually increases. This implies that the $ \Sigma_{u}^{-} $ excited state becomes increasingly unstable and more susceptible to thermal excitation, leading to dissociation. In the quark model, a key difference between $ \Sigma_{g}^{+} $ and $ \Sigma_{u}^{-} $ is the presence of the angle α in the $ \Sigma_{u}^{-} $ state, whereas $ \alpha = 0 $ for $ \Sigma_{g}^{+} $ (see Fig. 1). Accordingly, Fig. 9 examines how the separation distance L varies with α for $ \Sigma_{u}^{-} $. We find that L is not monotonic in α: it increases to a maximum and then gradually decreases, indicating a nonlinear relationship between L and α. We next analyze the effect of α on the $ \Sigma_{u}^{-} $ pseudopotential in Fig. 10. As α increases, the pseudopotential falls rapidly from about 25 GeV to roughly 3 GeV, approximately following an exponential decay, demonstrating strong sensitivity to α.

      Figure 7.  (color online) Separation distance L as a function of the bulk turning point $ u_0 $ ($ a = 0.5 $). The black, green, and orange dashed lines correspond to thermal scales of $ 0.1 $, $ 0.15 $, and $ 0.2\,{\rm{GeV}} $, respectively.

      Figure 8.  (color online) The potential energy E of the $ \Sigma_{u}^{-} $ state as a function of L for $ a=0.5 $. The curves represent temperatures of $ 0.1\,{\rm{GeV}} $ (black dashed), $ 0.15\,{\rm{GeV}} $ (green dashed), and $ 0.16\,{\rm{GeV}} $ (orange dashed).

      Figure 9.  (color online) The separation distance L as a function of anisotropy a for the $ \Sigma_{u}^{-} $ state at $ T = 0.1\,{\rm{GeV}} $.

      Figure 10.  (color online) Potential energy E as a function of separation L for the $ \Sigma_{u}^{-} $ state at $ T = 0.1\,{\rm{GeV}} $.

    IV.   SUMMARY AND CONCLUSIONS
    • We study the excited-state pseudopotentials for quark-antiquark systems in an anisotropic background. Unlike the ground state, the excited configuration requires the introduction of a defect point $ {\bf{D}} $. The angle α at this point is fixed by a force-balance condition and increases as the defect is placed deeper in the bulk geometry. The excited-state separation length is then obtained using the same formalism as for the ground state. Our results show that increasing the anisotropy parameter a reduces the maximal separation length in both ground and excited channels, suggesting that anisotropy enhances color-force screening and promotes quark-antiquark dissociation. At short distances, the excited-state pseudopotential deviates from the Coulombic behavior of the ground state, instead scaling quadratically with the interquark distance. This feature reflects the nature of the excited flux tube, consistent with a vibrating system endowed with an effective restoring force. We also analyze the temperature dependence: as the temperature rises, the maximal separation length decreases while the pseudopotential increases, consistent with stronger thermal screening. Finally, we examine the dependence on the angle α: the pseudopotential decreases rapidly with increasing α, exhibiting an approximately exponential decay. This strong sensitivity to geometric deformation highlights the nontrivial structure of the excited configuration.

      While this work focuses on mesonic excitations, similar methods can be applied to more complex systems, such as triply heavy baryons. Extending this analysis to excited baryonic configurations in anisotropic media remains an open and interesting direction for future work.

Reference (75)

目录

/

DownLoad:  Full-Size Img  PowerPoint
Return
Return