2025 Vol. 49, No. 6
Display Method: |
2025, 49(6): 063001. doi: 10.1088/1674-1137/adc11d
Abstract:
We search for the leptonic decay\begin{document}$ D^+\to e^+\nu_{e} $\end{document} ![]()
![]()
using an \begin{document}$ e^+e^- $\end{document} ![]()
![]()
collision data sample with an integrated luminosity of 20.3 fb\begin{document}$ ^{-1} $\end{document} ![]()
![]()
collected with the BESIII detector at a center-of-mass energy of 3.773 GeV. Significant signal is not observed, and an upper limit on the branching fraction of \begin{document}$ D^+\to e^+\nu_{e} $\end{document} ![]()
![]()
is set as \begin{document}$ 9.7 \times 10^{-7} $\end{document} ![]()
![]()
, at a confidence level of 90%. Our upper limit is an order of magnitude smaller than the previous limit for this decay mode.
We search for the leptonic decay
2025, 49(6): 063101. doi: 10.1088/1674-1137/adb387
Abstract:
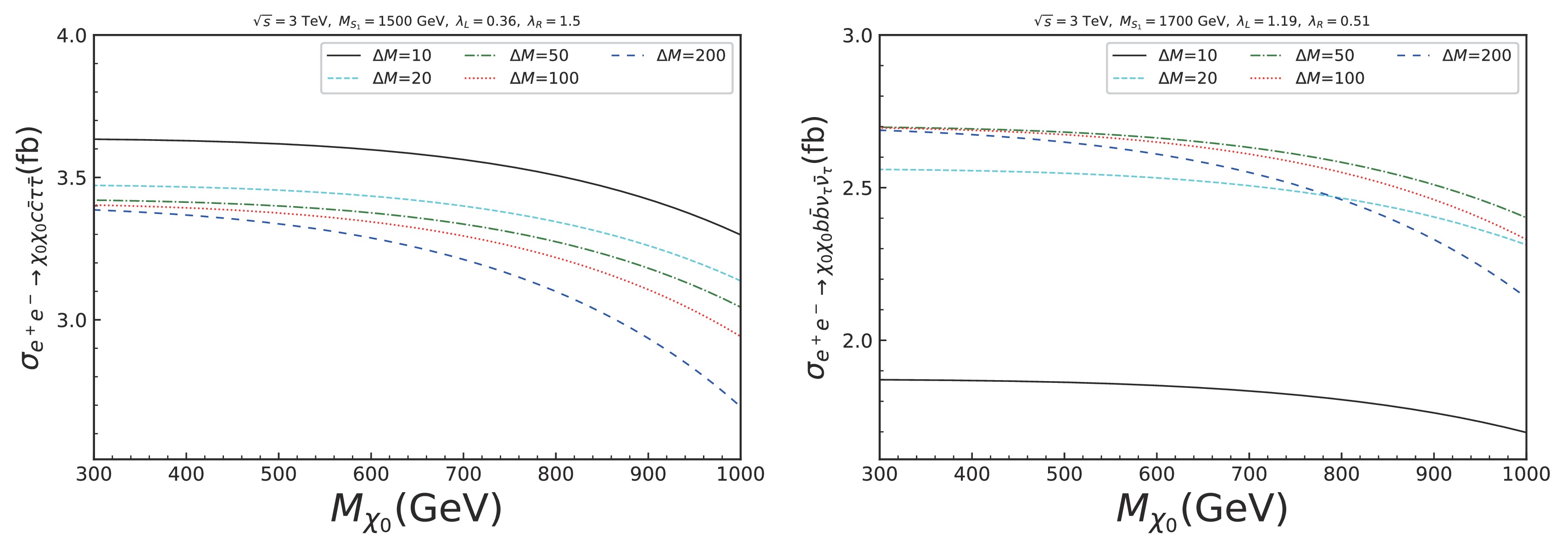
The processes involving leptons plus missing energy (and jets) at lepton colliders (electron–positron and muon colliders) are studied in the leptoquarks plus dark matter (DM) model. We calculate the full next-to-leading order (NLO) corrections, including QCD, EW, and ISR, for heavy DM pair production, followed by the heavy DM cascade decay into stable DM and SM fermions. Large logarithmic effects caused by collinear ISR and EW virtual corrections are emphasized. Moreover, we emphasize that NLO corrections become increasingly significant with higher\begin{document}$ \sqrt{s} $\end{document} ![]()
![]()
. However, for larger NLO corrections at high \begin{document}$ \sqrt{s} $\end{document} ![]()
![]()
, the EW corrections dominate over the QCD corrections. The significance of the signals can be enhanced by applying kinematic cuts. By incorporating the NLO correction factor, the significance of the signal processes could be further improved by approximately 40% and 20% for \begin{document}$ \chi_0 b \nu_{\tau} $\end{document} ![]()
![]()
and \begin{document}$ \chi_0 c \tau $\end{document} ![]()
![]()
channels at a 10 TeV muon collider.
The processes involving leptons plus missing energy (and jets) at lepton colliders (electron–positron and muon colliders) are studied in the leptoquarks plus dark matter (DM) model. We calculate the full next-to-leading order (NLO) corrections, including QCD, EW, and ISR, for heavy DM pair production, followed by the heavy DM cascade decay into stable DM and SM fermions. Large logarithmic effects caused by collinear ISR and EW virtual corrections are emphasized. Moreover, we emphasize that NLO corrections become increasingly significant with higher
2025, 49(6): 063102. doi: 10.1088/1674-1137/adbc80
Abstract:
The roles of the\begin{document}$ \Delta (1232) $\end{document} ![]()
![]()
, \begin{document}$ {N}^{*}(1520) $\end{document} ![]()
![]()
, and \begin{document}$ {N}^{*}(1650) $\end{document} ![]()
![]()
resonances in the \begin{document}$ \gamma p\to{\pi }^{0}{\pi }^{0}p $\end{document} ![]()
![]()
reaction near threshold is investigated within an effective Lagrangian approach. The differential cross sections of the \begin{document}$ \gamma p\to{\pi }^{0}{\pi }^{0}p $\end{document} ![]()
![]()
reaction was calculated including contributions from the \begin{document}$ \Delta (1232) $\end{document} ![]()
![]()
, \begin{document}$ {N}^{*}(1520) $\end{document} ![]()
![]()
, and \begin{document}$ {N}^{*}(1650) $\end{document} ![]()
![]()
intermediate states decaying into \begin{document}$ \pi^0 p $\end{document} ![]()
![]()
via the s-channel nucleon pole and t-channel ρ exchange. Current experimental measurements were well reproduced. The production of \begin{document}$ \Delta(1232) $\end{document} ![]()
![]()
was mainly from the mechanism of the s-channel nucleon pole, while the \begin{document}$ {N}^{*}(1520) $\end{document} ![]()
![]()
and \begin{document}$ {N}^{*}(1650) $\end{document} ![]()
![]()
were produced from the mechanism of the t-channel ρ exchange. More experimental data on the \begin{document}$ \gamma p \to \pi^0 \pi^0 p $\end{document} ![]()
![]()
reaction could be used to explore the properties of the low-lying excited baryon state.
The roles of the
2025, 49(6): 063103. doi: 10.1088/1674-1137/adc0f4
Abstract:
We present the first calculation of the connected scalar matrix element and the momentum fraction of the charm quark within the\begin{document}${3}/{2}^{+}$\end{document} ![]()
![]()
and \begin{document}${3}/{2}^{-}$\end{document} ![]()
![]()
triply charmed baryons on lattice QCD. The results are based on overlap valence fermions on two ensembles of \begin{document}$ N_f=2+1 $\end{document} ![]()
![]()
domain wall fermion configurations with two lattice spacings. The corresponding sea quark pion masses are 300 MeV and 278 MeV. The separated contributions to the triply charmed baryon mass are derived through the decomposition of the QCD energy-momentum tensor. The contribution of the connected charm quark matrix element to the triply charmed baryon is about 3/2 times that of the charmonium, and it is almost 70% of the total mass. The mass splitting of \begin{document}${3}/{2}^{+}$\end{document} ![]()
![]()
and \begin{document}${3}/{2}^{-}$\end{document} ![]()
![]()
triply charmed baryons is mainly from the\begin{document}$ \langle H_{E}\rangle $\end{document} ![]()
![]()
of the QCD energy-momentum tensor. A mass decomposition based on the quark model is also studied for comparison.
We present the first calculation of the connected scalar matrix element and the momentum fraction of the charm quark within the
2025, 49(6): 063104. doi: 10.1088/1674-1137/adb2fe
Abstract:
We discuss almost degenerate vector dark matter and dark photonsinduced from the hidden\begin{document}$ S U(2)_H $\end{document} ![]()
![]()
gauge sector, where it is spontaneously broken by the vacuum expectation value of \begin{document}$ S U(2)_H $\end{document} ![]()
![]()
doublet. Kinetic mixing between \begin{document}$ S U(2)_H $\end{document} ![]()
![]()
and \begin{document}$ U(1)_Y $\end{document} ![]()
![]()
gauge fields can be generated by introducing a dimension six operator realizing dark photon interactions. In estimating relic density, we focus on the process in which dark matter annihilates into dark photons and search for the region of dark matter mass and gauge coupling realizing observed relic density. We then discuss constraints from dark photon physics, thermalization of dark sector, and direct detection of dark matter. It is then found that constraints from direct detection experiments give us the strongest upper limits on the dark photon interactions.
We discuss almost degenerate vector dark matter and dark photonsinduced from the hidden
2025, 49(6): 063105. doi: 10.1088/1674-1137/adc189
Abstract:
In the maximally-helicity-violating (MHV) configuration, tree-level single-trace Einstein-Yang-Mills (EYM) amplitudes with one or two gravitons have been shown to satisfy a formula in which each graviton splits into a pair of collinear gluons. In this study, we extend this formula to more general cases. We present a general formula that expresses tree-level single-trace MHV amplitudes in terms of pure gluon amplitudes. In this formula, each graviton turns into a pair of collinear gluons.
In the maximally-helicity-violating (MHV) configuration, tree-level single-trace Einstein-Yang-Mills (EYM) amplitudes with one or two gravitons have been shown to satisfy a formula in which each graviton splits into a pair of collinear gluons. In this study, we extend this formula to more general cases. We present a general formula that expresses tree-level single-trace MHV amplitudes in terms of pure gluon amplitudes. In this formula, each graviton turns into a pair of collinear gluons.
2025, 49(6): 063106. doi: 10.1088/1674-1137/adbc82
Abstract:
Correlation\begin{document}$ \chi^{BQ}_{11} $\end{document} ![]()
![]()
and quadratic fluctuations \begin{document}$ \chi^B_2,\ \chi^Q_2,\ \chi^T_2 $\end{document} ![]()
![]()
of baryon number B, electric charge Q, and temperature T are investigated in a two-flavor Polyakov loop extended Nambu-Jona-Lasinio (PNJL) model at finite temperature and magnetic field. The inverse magnetic catalysis (IMC) effect is introduced through magnetic-field-dependent parameters \begin{document}$ G(eB) $\end{document} ![]()
![]()
and \begin{document}$ T_0(eB) $\end{document} ![]()
![]()
, and we compare the results in scenarios with and without the IMC effect. Under a nonvanishing magnetic field, correlation\begin{document}$ \chi^{BQ}_{11} $\end{document} ![]()
![]()
and fluctuations \begin{document}$ \chi^B_2,\ \chi^Q_2,\ \chi^T_2 $\end{document} ![]()
![]()
increase with temperature and then exhibit a peak around the pseudocritical temperatures of chiral restoration and deconfinement phase transitions in the cases with and without the IMC effect. The correlation and fluctuations along the phase transition line under an external magnetic field are characterized by scaled correlation \begin{document}${\hat {\chi}}_{11}^{BQ}={\chi_{11}^{BQ}(eB,T_{pc}^c(eB))}/{\chi_{11}^{BQ}(eB=0,T_{pc}^c(eB=0))}$\end{document} ![]()
![]()
and scaled fluctuations \begin{document}${\hat {\chi}}_2^{B(Q,T)}={\chi_2^{B(Q,T)}(eB,T_{pc}^c(eB))}/{\chi_2^{B(Q,T)}(eB=0,T_{pc}^c(eB=0))}$\end{document} ![]()
![]()
at pseudocritical temperature \begin{document}$ T_{pc}^c $\end{document} ![]()
![]()
of chiral restoration phase transition. \begin{document}$ {\hat {\chi}}_{11}^{BQ},\ {\hat {\chi}}_2^{B} $\end{document} ![]()
![]()
, and \begin{document}$ {\hat {\chi}}_2^{Q} $\end{document} ![]()
![]()
increase with the magnetic field, and the inclusion of the IMC effect enhances their values somewhat. However, \begin{document}$ {\hat {\chi}}_2^{T} $\end{document} ![]()
![]()
is altered by the IMC effect. Without the IMC effect, \begin{document}$ {\hat \chi}^T_2 $\end{document} ![]()
![]()
increases slightly and then decreases with the magnetic field. Considering the IMC effect using \begin{document}$ G(eB) $\end{document} ![]()
![]()
, \begin{document}$ {\hat \chi}^T_2 $\end{document} ![]()
![]()
monotonically increases with the magnetic field, and that using \begin{document}$ T_0(eB) $\end{document} ![]()
![]()
is a nonmonotonic function of the magnetic field.
Correlation
2025, 49(6): 063107. doi: 10.1088/1674-1137/adc11f
Abstract:
We present the first lattice result of the near threshold\begin{document}$ \Lambda_c\Lambda_c $\end{document} ![]()
![]()
scattering with \begin{document}$ I(J^P) = 0(0^+) $\end{document} ![]()
![]()
. The calculation is performed on two \begin{document}$ N_f = 2+1 $\end{document} ![]()
![]()
Wilson-Clover ensembles with pion mass \begin{document}$ m_\pi \sim 303 $\end{document} ![]()
![]()
MeV and lattice spacing \begin{document}$ a = 0.07746 $\end{document} ![]()
![]()
fm. Lüscher's finite volume method is utilized to extract the scattering parameters from the finite-volume spectrum. The coupled channel \begin{document}$ \Xi_{cc}N $\end{document} ![]()
![]()
is ignored in the scattering analysis based on the observation that the energy levels computed from the \begin{document}$ \Lambda_c\Lambda_c $\end{document} ![]()
![]()
and \begin{document}$ \Xi_{cc}N $\end{document} ![]()
![]()
operators do not mix. The \begin{document}$ \Sigma_c\Sigma_c $\end{document} ![]()
![]()
channel is not included either since the energy range explored in this study is well below its threshold. Our results indicate that the interaction in the \begin{document}$ \Lambda_c\Lambda_c $\end{document} ![]()
![]()
single channel is repulsive, and the scattering length is determined to be \begin{document}$ a_0 = -0.21(4)(8) $\end{document} ![]()
![]()
fm, where the first error is statistical and the second is systematic.
We present the first lattice result of the near threshold
2025, 49(6): 063108. doi: 10.1088/1674-1137/adc081
Abstract:
We introduce a relative P-wave to construct the doubly charmed diquark\begin{document}$ (\widetilde{V}) $\end{document} ![]()
![]()
vector. Therefore, scalar and tensor four-quark currents were constructed to investigate the decay widths of the fully charmed tetraquark states with \begin{document}$ J^{PC}=0^{++} $\end{document} ![]()
![]()
, \begin{document}$ 1^{+-} $\end{document} ![]()
![]()
and \begin{document}$ 2^{++} $\end{document} ![]()
![]()
via quantum chromodynamics (QCD) sum rules. We observed that the total width of the ground state \begin{document}$ \widetilde{V}\overline{\widetilde{V}} $\end{document} ![]()
![]()
-type scalar tetraquark state is compatible with that of the \begin{document}$ X(6552) $\end{document} ![]()
![]()
within uncertainties, and the branching ratios are quite different from that of the first radial excitation of the \begin{document}$ A\bar{A} $\end{document} ![]()
![]()
-type scalar tetraquark state. Other predictions can be verified in future experiments to shed light on the nature of the fully charmed tetraquark states.
We introduce a relative P-wave to construct the doubly charmed diquark
2025, 49(6): 064001. doi: 10.1088/1674-1137/adbf81
Abstract:
Electron-ion collision spectroscopy at heavy-ion storage rings aims at precision measurements of resonance features that occur in the cross sections of electron collision processes such as electron-impact ionization of ions or electron-ion recombination. As part of the international Facility for Antiproton and Ion Research (FAIR) project, the low-energy ion storage ring CRYRING@ESR has been coupled with the heavy-ion accelerators operated by the GSI Helmholtz Center for Heavy-Ion Research in Darmstadt, Germany. This has created a new opportunity for stringent strong field quantum electrodynamics tests through electron-ion collision spectroscopy of heavy few-electron ions. The present contribution provides details of the electron-ion collision spectroscopy setup at CRYRING@ESR and associated data-analysis procedures along with first results for nonresonant and resonant recombination of berylliumlike lead ions. A recombination rate enhancement factor of 3.5 was observed for nonresonant recombination at zero electron-ion collision energy. For resonant recombination excellent agreement with recent theoretical results was obtained when these were shifted by 340 meV in energy.
Electron-ion collision spectroscopy at heavy-ion storage rings aims at precision measurements of resonance features that occur in the cross sections of electron collision processes such as electron-impact ionization of ions or electron-ion recombination. As part of the international Facility for Antiproton and Ion Research (FAIR) project, the low-energy ion storage ring CRYRING@ESR has been coupled with the heavy-ion accelerators operated by the GSI Helmholtz Center for Heavy-Ion Research in Darmstadt, Germany. This has created a new opportunity for stringent strong field quantum electrodynamics tests through electron-ion collision spectroscopy of heavy few-electron ions. The present contribution provides details of the electron-ion collision spectroscopy setup at CRYRING@ESR and associated data-analysis procedures along with first results for nonresonant and resonant recombination of berylliumlike lead ions. A recombination rate enhancement factor of 3.5 was observed for nonresonant recombination at zero electron-ion collision energy. For resonant recombination excellent agreement with recent theoretical results was obtained when these were shifted by 340 meV in energy.
2025, 49(6): 064002. doi: 10.1088/1674-1137/adbe3d
Abstract:
To study the coupling effect of the positive Q-value two-neutron stripping channel in the sub-barrier of\begin{document}$ ^{18} {\rm{O}}$\end{document} ![]()
![]()
+ \begin{document}$ ^{50} {\rm{Cr}}$\end{document} ![]()
![]()
, the fusion excitation functions were measured for the \begin{document}$ ^{16,18} {\rm{O}}$\end{document} ![]()
![]()
+ \begin{document}$ ^{50} {\rm{Cr}}$\end{document} ![]()
![]()
systems at energies near and below the Coulomb barriers by using the electrostatic deflector setup. \begin{document}$ ^{16} {\rm{O}}$\end{document} ![]()
![]()
+ \begin{document}$ ^{50} {\rm{Cr}}$\end{document} ![]()
![]()
was selected as a reference system. The coupling effect of the low-lying collective excitation states in sub-barrier fusion was considered based on coupled-channels calculations. For \begin{document}$ ^{18} {\rm{O}}$\end{document} ![]()
![]()
+ \begin{document}$ ^{50} {\rm{Cr}}$\end{document} ![]()
![]()
, the calculated fusion cross-sections of coupled channels, including the lowest 2\begin{document}$ ^+ $\end{document} ![]()
![]()
vibrational states of the target nucleus and projectile, give subtle under-estimation for the experimental ones at energies below the Coulomb barrier. This means that there is limited room for the transfer effect in\begin{document}$ ^{18} {\rm{O}}$\end{document} ![]()
![]()
+ \begin{document}$ ^{50} {\rm{Cr}}$\end{document} ![]()
![]()
, compared to the widely accepted argument of positive Q-value 2n-transfer remarkably enhancing the sub-barrier fusion cross-sections. Analogous systems of neutron-rich \begin{document}$ ^{18} {\rm{O}}$\end{document} ![]()
![]()
-induced fusion in existing literature show the same peculiarity that the positive Q-value two-neutron stripping channel has no remarkable influence on enhancing sub-barrier fusion cross-sections.
To study the coupling effect of the positive Q-value two-neutron stripping channel in the sub-barrier of
2025, 49(6): 064101. doi: 10.1088/1674-1137/adb385
Abstract:
The production of heavy-quark (HQ) jets is a new area that addresses the mass effect of jet quenching in heavy-ion physics. This paper presents a theoretical study of HQ jet yield suppression in Pb+Pb collisions at the Large Hadron Collider (LHC) and focuses on the energy loss of HQ jets produced by different mechanisms. The p+p baseline is provided by the generator simulation of high-energy reactions of particles (SHERPA), and the jet-medium interactions are described by the SHELL transport model, which considers the elastic and inelastic partonic energy loss in the quark-gluon plasma (QGP). In p+p collisions, our numerical results indicate that the HQ jets from gluon splitting (\begin{document}$ g \rightarrow Q $\end{document} ![]()
![]()
-jet) are the dominant contribution at high \begin{document}$ p_T $\end{document} ![]()
![]()
, displaying more dispersive structures than the HQ-initiated (\begin{document}$ Q \rightarrow Q $\end{document} ![]()
![]()
-jet). In nucleus-nucleus collisions, our calculations were consistent with the inclusive and b-jet \begin{document}$ R_{AA} $\end{document} ![]()
![]()
recently measured by the ATLAS collaboration, revealing a remarkable manifestation of the mass effect of jet energy loss. As a result of the dispersive substructure, the \begin{document}$ g \rightarrow Q $\end{document} ![]()
![]()
-jet loses more energy than the \begin{document}$ Q \rightarrow Q $\end{document} ![]()
![]()
-jet in the QGP. Due to the significant contribution of \begin{document}$ g \rightarrow c $\end{document} ![]()
![]()
-jet, the \begin{document}$ R_{AA} $\end{document} ![]()
![]()
of c-jet is comparable or even smaller than that of inclusive jet. To experimentally distinguish the \begin{document}$ g \rightarrow Q $\end{document} ![]()
![]()
-jet and \begin{document}$ Q \rightarrow Q $\end{document} ![]()
![]()
-jet, we propose event selection strategies based on their topological features and test their performances. By isolating the \begin{document}$ c \rightarrow c $\end{document} ![]()
![]()
-jet, \begin{document}$ b \rightarrow b $\end{document} ![]()
![]()
-jet, and the jets initiated by heavy quarks, we predicted that the order of their \begin{document}$ R_{AA} $\end{document} ![]()
![]()
are in line with the mass hierarchy of energy loss. Future measurements on the \begin{document}$ R_{AA} $\end{document} ![]()
![]()
of \begin{document}$ Q \rightarrow Q $\end{document} ![]()
![]()
-jet and \begin{document}$ g \rightarrow Q $\end{document} ![]()
![]()
-jet will provide a unique opportunity for testing the flavor/mass dependence of energy loss at the jet level.
The production of heavy-quark (HQ) jets is a new area that addresses the mass effect of jet quenching in heavy-ion physics. This paper presents a theoretical study of HQ jet yield suppression in Pb+Pb collisions at the Large Hadron Collider (LHC) and focuses on the energy loss of HQ jets produced by different mechanisms. The p+p baseline is provided by the generator simulation of high-energy reactions of particles (SHERPA), and the jet-medium interactions are described by the SHELL transport model, which considers the elastic and inelastic partonic energy loss in the quark-gluon plasma (QGP). In p+p collisions, our numerical results indicate that the HQ jets from gluon splitting (
2025, 49(6): 064102. doi: 10.1088/1674-1137/adc0f5
Abstract:
Neutrino-induced nuclear reactions play a crucial role in astrophysical nucleosynthesis. When a supernova explodes, the neutrino shockwave interacts with the outer material of the star to induce the neutrino-process (ν-process), which is essential for elucidating heavy element synthesis and the exotic abundance distribution of proton-rich nuclei. In this study, the cross sections of neutrino-nucleus reactions are deduced using the nuclear gross theory of beta decay (GTBD). The calculation results of\begin{document}$ ^{12} {\rm{C}}$\end{document} ![]()
![]()
\begin{document}$ (\nu_{e},e^{-})^{12} {\rm{N}} _{\rm{g.s.}} $\end{document} ![]()
![]()
, \begin{document}$ ^{16} {\rm{O}}$\end{document} ![]()
![]()
\begin{document}$ (\nu_{e},e^{-})^{16} {\rm{F}}$\end{document} ![]()
![]()
, \begin{document}$ ^{56} {\rm{Fe}}$\end{document} ![]()
![]()
\begin{document}$ (\nu_{e},e^{-})^{56} {\rm{C}}{\rm{o}}$\end{document} ![]()
![]()
, and \begin{document}$ ^{208} {\rm{Pb}}$\end{document} ![]()
![]()
\begin{document}$ (\nu_{e},e^{-})^{208} {\rm{Bi}}$\end{document} ![]()
![]()
reactions are consistent with those predicted using the QRPA, Hybrid, RPA, and pnQRPA models within an order of magnitude. These results are reasonable given our current knowledge of neutrino-nucleus reactions. Building on this foundation, we propose a semi-empirical parametrization formula that describes the spectrum-weighted cross section of supernova neutrinos as a function of neutrino effective temperature. This formula is instrumental in the development of a convenient database for neutrino-nucleus reaction cross sections. Such a database is anticipated to streamline the process of accessing cross section data, thereby enhancing the efficiency of model calculations based on nuclear astrophysical networks.
Neutrino-induced nuclear reactions play a crucial role in astrophysical nucleosynthesis. When a supernova explodes, the neutrino shockwave interacts with the outer material of the star to induce the neutrino-process (ν-process), which is essential for elucidating heavy element synthesis and the exotic abundance distribution of proton-rich nuclei. In this study, the cross sections of neutrino-nucleus reactions are deduced using the nuclear gross theory of beta decay (GTBD). The calculation results of
2025, 49(6): 064103. doi: 10.1088/1674-1137/adb567
Abstract:
In this study, we systematically investigate the α decay half-lives of 263 emitters in the\begin{document}$ 52\leq Z\leq 107 $\end{document} ![]()
![]()
region and clusters 14C, 20O, 23Fe, 24,25,26Ne, 28,30Mg, and 32,34Si in the presence of an extended form of the Sextic potential to describe the strong nuclear interaction between the daughter nucleus and cluster in the parent nucleus using the Wentzel-Kramers-Brillouin (WKB) method. We find nuclear potential parameters that explain the decay mechanism for each variety of cluster and show that this form of double-well potential provides an excellent description of the nuclear decay phenomenon. We highlight constraints between the potential parameters and experimental data. Moreover, we emphasize the importance of the coupling parameters of the nuclear potential in the nature of the preformed cluster. The obtained results are compared with experimental and literature data. Our results are in very good agreement with the experimental data.
In this study, we systematically investigate the α decay half-lives of 263 emitters in the
2025, 49(6): 064104. doi: 10.1088/1674-1137/adbdba
Abstract:
The configuration interaction relativistic Hartree-Fock (CI-RHF) model is developed in this work. Compared to the conventional configuration interaction shell model (CISM), the CI-RHF model can be applied to study the structural properties of a wide range of nuclei without readjusting any parameters, as the effective Hamiltonian for different model spaces can be deduced consistently from a universal density-dependent Lagrangian based on the Hartree-Fock single-particle basis. The convergence of intermediate-state excitations has been examined in evaluating the effective interactions, and the core-polarization effects are illustrated, taking\begin{document}$ ^{18} {\rm{O}}$\end{document} ![]()
![]()
as an example. Employing the CI-RHF model, both the bulk properties and low-lying spectra of even-even nuclei \begin{document}$^{18-28} {\rm{Ne}}$\end{document} ![]()
![]()
have been well-reproduced with the model space restricted to the \begin{document}$ sd $\end{document} ![]()
![]()
shell. Studies of the isotopic evolution concerning charge radii and low-lying spectra highlight the shell closure at \begin{document}$ N=14 $\end{document} ![]()
![]()
for neon isotopes. Furthermore, the cross-shell calculations extending from the \begin{document}$ sd $\end{document} ![]()
![]()
to \begin{document}$ pf $\end{document} ![]()
![]()
shell successfully reproduced the low-lying spectra of \begin{document}$ ^{30} {\rm{Ne}}$\end{document} ![]()
![]()
and \begin{document}$ ^{32} {\rm{Ne}}$\end{document} ![]()
![]()
. Notably, remarkably low excitation energies \begin{document}$ E(2^{+}_{1}) $\end{document} ![]()
![]()
of \begin{document}$ ^{30} {\rm{Ne}}$\end{document} ![]()
![]()
suggest the disappearance of the conventional magicity \begin{document}$ N=20 $\end{document} ![]()
![]()
.
The configuration interaction relativistic Hartree-Fock (CI-RHF) model is developed in this work. Compared to the conventional configuration interaction shell model (CISM), the CI-RHF model can be applied to study the structural properties of a wide range of nuclei without readjusting any parameters, as the effective Hamiltonian for different model spaces can be deduced consistently from a universal density-dependent Lagrangian based on the Hartree-Fock single-particle basis. The convergence of intermediate-state excitations has been examined in evaluating the effective interactions, and the core-polarization effects are illustrated, taking
2025, 49(6): 064105. doi: 10.1088/1674-1137/adb416
Abstract:
Shell closure structures are commonly observed phenomena associated with nuclear charge radii throughout the nuclide chart. Inspired by recent studies demonstrating that the abrupt change can be clearly observed in the charge radii of the scandium isotopic chain across the neutron number N=20, we further review the underlying mechanism of the enlarged charge radii for 42Sc based on the covariant density functional theory. The pairing correlations are tackled by solving the state-dependent Bardeen-Cooper-Schrieffer equations. Meanwhile, the neutron-proton correlation around the Fermi surface derived from the simultaneously unpaired proton and neutron is appropriately considered in describing the systematic evolution of nuclear charge radii. The calculated results suggest that the abrupt increase in charge radii across the N=20 shell closure seems to be improved along the scandium isotopic chain if the strong neutron-proton correlation is properly included.
Shell closure structures are commonly observed phenomena associated with nuclear charge radii throughout the nuclide chart. Inspired by recent studies demonstrating that the abrupt change can be clearly observed in the charge radii of the scandium isotopic chain across the neutron number N=20, we further review the underlying mechanism of the enlarged charge radii for 42Sc based on the covariant density functional theory. The pairing correlations are tackled by solving the state-dependent Bardeen-Cooper-Schrieffer equations. Meanwhile, the neutron-proton correlation around the Fermi surface derived from the simultaneously unpaired proton and neutron is appropriately considered in describing the systematic evolution of nuclear charge radii. The calculated results suggest that the abrupt increase in charge radii across the N=20 shell closure seems to be improved along the scandium isotopic chain if the strong neutron-proton correlation is properly included.
2025, 49(6): 064106. doi: 10.1088/1674-1137/adb8b8
Abstract:
Considering the simple Wong formula, simple Wong formula with deformed choice of nuclear potential, symmetric-asymmetric Gaussian barrier distribution (SAGBD) model, and coupled channel approach, this work investigates the fusion mechanism of 40Ca + 46,48,50Ti systems. For these reactions, the roles of internal structural degrees of freedom of collision partners and diffuseness parameter associated with Woods-Saxon potential in fusion dynamics are investigated. For the chosen systems, simple Wong formula-based calculations are found to be unable to describe actual fusion data at sub-barrier energies. The inclusion of quadrupole deformation with an additional radius parameter\begin{document}$\Delta R$\end{document} ![]()
![]()
in deformed choice of nuclear potential along with the simple Wong formula is capable of retracing experimental data. In the SAGBD model, the simple Wong formula is weighted by a Gaussian function. The SAGBD model with different choices of diffuseness has been explored, and fusion yields have been found to be relatively sensitive to the choice of diffuseness of Woods-Saxon potential. SAGBD outcomes with Winther and Akyüz-Winther diffuseness are unable to retrieve experimental data. To improve theoretical predictions, the diffuseness is optimized relative to Winther and Akyüz-Winther value, and theoretical outcomes with an optimized diffuseness parameter within SAGBD model address the fusion behaviour of 40Ca + 46,48,50Ti reactions well. Coupled channel analysis of given reactions, wherein the influences of low-lying vibrational states of participants are directly considered, readily reproduced the fusion data for all studied systems. The low-lying vibrational 2+ and 3– states are found to be sufficient to reproduce the fusion data for 40Ca + 46,48Ti reactions. However, for 40Ca + 50Ti reactions, in addition to low-lying 2+ and 3– vibrational states, the considerations of a pair neutron transfer channel is required to address sub-barrier fusion data.
Considering the simple Wong formula, simple Wong formula with deformed choice of nuclear potential, symmetric-asymmetric Gaussian barrier distribution (SAGBD) model, and coupled channel approach, this work investigates the fusion mechanism of 40Ca + 46,48,50Ti systems. For these reactions, the roles of internal structural degrees of freedom of collision partners and diffuseness parameter associated with Woods-Saxon potential in fusion dynamics are investigated. For the chosen systems, simple Wong formula-based calculations are found to be unable to describe actual fusion data at sub-barrier energies. The inclusion of quadrupole deformation with an additional radius parameter
2025, 49(6): 064107. doi: 10.1088/1674-1137/adbe3e
Abstract:
To optimize the reaction conditions for synthesizing the superheavy element\begin{document}$Z = 119$\end{document} ![]()
![]()
, we examined various combinations of projectiles and target nuclei used by different countries: Japan with \begin{document}$^{51}\text{V} + {}^{248}\text{Cm}$\end{document} ![]()
![]()
, Russia potentially with \begin{document}$^{50}\text{Ti} + {}^{249}\text{Bk}$\end{document} ![]()
![]()
, and China currently with \begin{document}$^{54}\text{Cr} + {}^{243}\text{Am}$\end{document} ![]()
![]()
. Systematic investigations were conducted by varying the incident energy from 210 MeV to 260 MeV. We analyzed the capture cross sections, fusion probabilities, survival probabilities, and evaporation residue cross sections (ERCS) for each reaction to identify the optimal incident energy for synthesizing \begin{document}$Z = 119$\end{document} ![]()
![]()
. Detailed plots were generated for these parameters as functions of the incident energy, thereby providing valuable insights for selecting the most effective incident energy for synthesizing \begin{document}$Z = 119$\end{document} ![]()
![]()
.
To optimize the reaction conditions for synthesizing the superheavy element
2025, 49(6): 064108. doi: 10.1088/1674-1137/adc3ff
Abstract:
The Skyrme energy density functional was used to systematically analyze the ratio of repulsive kinetic to attractive potential energy (\begin{document}$ T/U $\end{document} ![]()
![]()
) for even-even nuclei in their ground states. Notably, the nuclei with maximal value of \begin{document}$ T/U $\end{document} ![]()
![]()
are generally stable for a certain isobaric chain with \begin{document}$ Z\le 82 $\end{document} ![]()
![]()
. However, the known magic numbers can be more clearly observed from the \begin{document}$ T/U $\end{document} ![]()
![]()
ratio than from nuclear binding energy, particularly for the isobaric chains with semi-magic nuclei. Combining the predicted binding energies and the \begin{document}$ T/U $\end{document} ![]()
![]()
ratios from the Skyrme Hartree-Fock-Bogoliubov (HFB) code transformed harmoic oscilattor (HFBTHO) with the parameter set based on the Universal Nuclear Energy Density Funcitonal (UNEDF0), the possible magic numbers in super-heavy mass region were simultaneously studied. The neutron magic number \begin{document}$ N=184 $\end{document} ![]()
![]()
can be clearly observed from the calculated values of \begin{document}$ T/U $\end{document} ![]()
![]()
and the extracted microscopic energies of the nuclei.
The Skyrme energy density functional was used to systematically analyze the ratio of repulsive kinetic to attractive potential energy (
2025, 49(6): 064109. doi: 10.1088/1674-1137/adc2d9
Abstract:
A new liquid drop model with iso-scalar volume and surface energy terms is applied to reproduce experimentally known masses of nuclei with a number of protons and neutrons larger or equal to twenty. The ground-state microscopic energy corrections are considered. Although the model contains only six adjustable parameters in its macroscopic part, the quality of mass reproduction is high and comparable with other contemporary mass estimates. Additionally, the fission barrier heights of actinide nuclei evaluated using the topographical theorem of Myers and Świa̧tecki are close to the data.
A new liquid drop model with iso-scalar volume and surface energy terms is applied to reproduce experimentally known masses of nuclei with a number of protons and neutrons larger or equal to twenty. The ground-state microscopic energy corrections are considered. Although the model contains only six adjustable parameters in its macroscopic part, the quality of mass reproduction is high and comparable with other contemporary mass estimates. Additionally, the fission barrier heights of actinide nuclei evaluated using the topographical theorem of Myers and Świa̧tecki are close to the data.
2025, 49(6): 064110. doi: 10.1088/1674-1137/adbace
Abstract:
Several studies on fusion reaction dynamics focused on the impact of quadrupole\begin{document}$\beta_2^{\pm}$\end{document} ![]()
![]()
deformation. However, existing literature highlights the importance of the octupole \begin{document}$\beta_3^{\pm}$\end{document} ![]()
![]()
and hexadecapole \begin{document}$\beta_4^{\pm}$\end{document} ![]()
![]()
deformations associated with both the projectile and target nuclei. However, the collective influence of these deformations (\begin{document}$\beta_2$\end{document} ![]()
![]()
, \begin{document}$\beta_3$\end{document} ![]()
![]()
, and \begin{document}$\beta_4$\end{document} ![]()
![]()
) on the fusion reaction dynamics has not been examined explicitly. In this study, we investigated the collective influence of higher-order deformations up to \begin{document}$\beta_4$\end{document} ![]()
![]()
on the barrier characteristics, in particular \begin{document}$V_B$\end{document} ![]()
![]()
, \begin{document}$R_B$\end{document} ![]()
![]()
, and \begin{document}$\hbar\omega$\end{document} ![]()
![]()
, and their impact on the fusion cross-sections of heavy-ion induced reactions in the mass range \begin{document}$163\leq{ {A}}\leq182$\end{document} ![]()
![]()
. The reactions were examined at both compact and elongated configurations of the deformed nuclei. Heavy ion-induced reactions, which consist of target nuclei with higher-order deformations up to \begin{document}$\beta_4$\end{document} ![]()
![]()
, reveal a notable alteration in the barrier characteristics \begin{document}$V_B$\end{document} ![]()
![]()
and \begin{document}$R_B$\end{document} ![]()
![]()
, along with a significant change in orientation \begin{document}$\theta_i$\end{document} ![]()
![]()
for both compact and elongated configurations. In addition, the incorporation of deformations up to \begin{document}$\beta_4$\end{document} ![]()
![]()
and their corresponding orientations \begin{document}$\theta_i$\end{document} ![]()
![]()
contributes to enhanced capture cross-sections \begin{document}$\sigma_{cap}$\end{document} ![]()
![]()
as well as integrated cross-sections \begin{document}$\sigma_{int.}$\end{document} ![]()
![]()
, resulting in better agreement with experimental data for \begin{document}$^{16}{\rm{O}}$\end{document} ![]()
![]()
-induced reactions with \begin{document}$^{148}{\rm{Nd}}$\end{document} ![]()
![]()
, \begin{document}$^{149-150}{\rm{Sm}}$\end{document} ![]()
![]()
, and \begin{document}$^{32}{\rm{S}}$\end{document} ![]()
![]()
-induced reactions with \begin{document}$^{150}{\rm{Sm}}$\end{document} ![]()
![]()
. We conclude that the incorporation of deformations of all orders up to \begin{document}$\beta_4$\end{document} ![]()
![]()
at their optimized compact and elongated configurations is essential because it provides better outcomes compared to the optimized configurations of \begin{document}$\beta_2$\end{document} ![]()
![]()
and \begin{document}$\beta_3$\end{document} ![]()
![]()
deformed nuclei.
Several studies on fusion reaction dynamics focused on the impact of quadrupole
2025, 49(6): 064111. doi: 10.1088/1674-1137/adbd18
Abstract:
The nuclear potential is a cornerstone in the study of nuclear structures and reactions. Research on the real part of nuclear potential has been well described using various models; however, that on the imaginary part of nuclear potential remains insufficient. This study proposes a novel method to extract the imaginary nuclear potential from the high-precision excitation function of backward quasi-elastic scattering. The typical systems\begin{document}$ ^{16} $\end{document} ![]()
![]()
O\begin{document}$ +^{152,154} $\end{document} ![]()
![]()
Sm, \begin{document}$ ^{184,186} $\end{document} ![]()
![]()
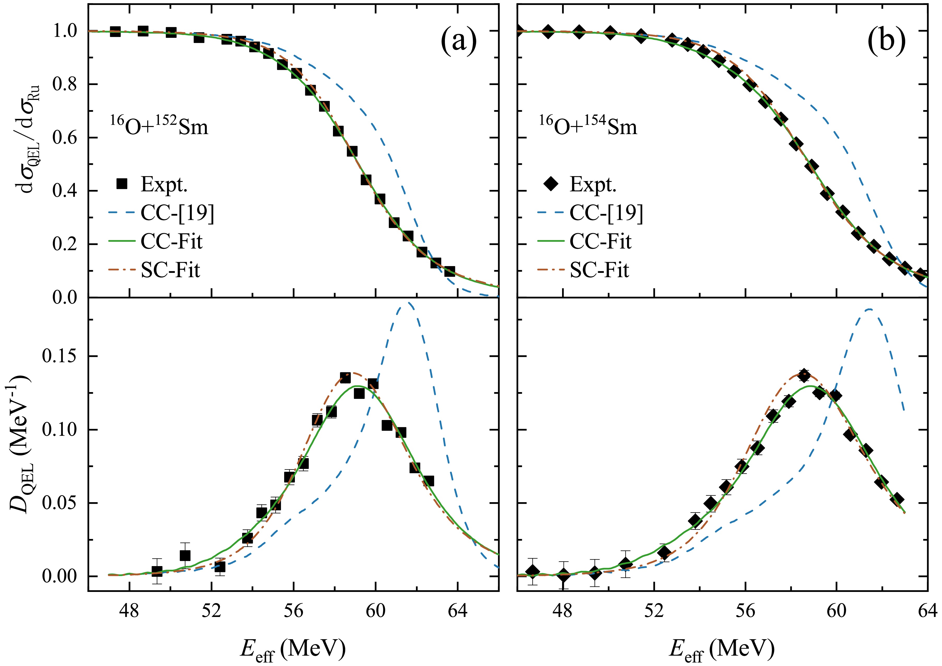
W with deformed target nuclei were analyzed. Nuclear imaginary potentials were obtained successfully by fitting the excitation functions within the single-channel and coupled-channel frameworks, respectively. A good reproduction at the energy range between sub- and above-barrier energy regions was achieved. Results show long-range imaginary-part potential at a wide energy region covering the Coulomb barrier, consistent with the strong absorption for well-deformed systems. This work is a preliminary attempt to bridge the gap between fusion and scattering and extract the deformation parameters in the whole energy range. The subsequent systematic analysis needs to be further improved.
The nuclear potential is a cornerstone in the study of nuclear structures and reactions. Research on the real part of nuclear potential has been well described using various models; however, that on the imaginary part of nuclear potential remains insufficient. This study proposes a novel method to extract the imaginary nuclear potential from the high-precision excitation function of backward quasi-elastic scattering. The typical systems
2025, 49(6): 064112. doi: 10.1088/1674-1137/adc7e0
Abstract:
This study presents an explanation of the nature of the island of inversion exhibited by the unstable nucleus 32Mg through the application of the axially deformed relativistic Hartree-Fock-Bogoliubov (D-RHFB) and configuration-interaction relativistic Hartree-Fock (CI-RHF) models, which correspond to the Hartree-Fock-Bogoliubov level and beyond, respectively. Using the same Lagrangian PKA1, the D-RHFB and CI-RHF models demonstrate an excellent agreement with experimental data for the ground-state deformation and the low-lying excitation energies of 32Mg. Furthermore, a new insight into the nature of the island of inversion is implemented from the breaking of the pseudo-spin symmetry (PSS) in addition to the cross-shell excitation, both of which are essential to obtaining a stable deformation and rotational collectivity for 32Mg. In particular, the exchange degrees of freedom, such as the ρ-tensor coupling in PKA1, are shown to be essential in determining the configuration interactions and binding of the nucleus.
This study presents an explanation of the nature of the island of inversion exhibited by the unstable nucleus 32Mg through the application of the axially deformed relativistic Hartree-Fock-Bogoliubov (D-RHFB) and configuration-interaction relativistic Hartree-Fock (CI-RHF) models, which correspond to the Hartree-Fock-Bogoliubov level and beyond, respectively. Using the same Lagrangian PKA1, the D-RHFB and CI-RHF models demonstrate an excellent agreement with experimental data for the ground-state deformation and the low-lying excitation energies of 32Mg. Furthermore, a new insight into the nature of the island of inversion is implemented from the breaking of the pseudo-spin symmetry (PSS) in addition to the cross-shell excitation, both of which are essential to obtaining a stable deformation and rotational collectivity for 32Mg. In particular, the exchange degrees of freedom, such as the ρ-tensor coupling in PKA1, are shown to be essential in determining the configuration interactions and binding of the nucleus.
2025, 49(6): 065101. doi: 10.1088/1674-1137/adbacd
Abstract:
In this paper, we study the thermodynamics of Schwarzschild-anti-de Sitter black holes within the framework of non-commutative geometry. By solving the Einstein equation, we derive the corrected Schwarzschild-AdS black hole with Lorentzian distribution and analyze the thermodynamics. Our results confirm that if the energy-momentum tensor outside the event horizon is related to the mass of the black hole, the conventional first law of thermodynamics will be violated. The study of criticality reveals that the black hole undergoes a small black hole-large black hole phase transition similar to that of the Van der Waals system, with a critical point and critical ratio slightly smaller than that of the Van der Waals fluid. As the non-commutative parameter increases, the phase transition process shortens, leading to a critical point, and ultimately to the disappearance of the phase transition. The violation of the conventional first law results in a discontinuity of the Gibbs free energy during the phase transition, indicating the occurrence of zeroth-order phase transition. Moreover, we investigate the Joule-Thomson expansion, obtaining the minimum inversion temperature and minimum inversion mass.
In this paper, we study the thermodynamics of Schwarzschild-anti-de Sitter black holes within the framework of non-commutative geometry. By solving the Einstein equation, we derive the corrected Schwarzschild-AdS black hole with Lorentzian distribution and analyze the thermodynamics. Our results confirm that if the energy-momentum tensor outside the event horizon is related to the mass of the black hole, the conventional first law of thermodynamics will be violated. The study of criticality reveals that the black hole undergoes a small black hole-large black hole phase transition similar to that of the Van der Waals system, with a critical point and critical ratio slightly smaller than that of the Van der Waals fluid. As the non-commutative parameter increases, the phase transition process shortens, leading to a critical point, and ultimately to the disappearance of the phase transition. The violation of the conventional first law results in a discontinuity of the Gibbs free energy during the phase transition, indicating the occurrence of zeroth-order phase transition. Moreover, we investigate the Joule-Thomson expansion, obtaining the minimum inversion temperature and minimum inversion mass.
2025, 49(6): 065102. doi: 10.1088/1674-1137/adb9c6
Abstract:
In this study, we investigate the properties of black holes within the framework of multi-fractional theories of gravity, focusing on the effects of q-derivatives and weighted derivatives. These modifications, which introduce scale-dependent spacetime geometries, alter black hole solutions in intriguing ways. Within these frameworks, we analyze two key observable phenomena - black hole shadows and particle deflection angle in the weak field limit - using both analytical techniques and observational data from the Event Horizon Telescope (EHT) for M87* and Sgr A*. The study using the q-derivative formalism reveals that the multi-scale length\begin{document}$\ell_*$\end{document} ![]()
![]()
influences the size of the black hole shadow in two ways and modifies the weak deflection angle. Constraints on \begin{document}$\ell_*$\end{document} ![]()
![]()
are derived from the EHT observations, showing significant deviations from standard Schwarzschild black hole predictions, which range from \begin{document}$10^{9}$\end{document} ![]()
![]()
to \begin{document}$10^{10}$\end{document} ![]()
![]()
orders of magnitude. Additionally, the weak deflection angle is computed using the non-asymptotic generalization of the Gauss-Bonnet theorem (GBT) to reveal the effects of finite-distance and multi-scale parameters. Using the Sun in the Solar System test, we observe that the constraints for \begin{document}$\ell_*$\end{document} ![]()
![]()
range from \begin{document}$10^{8}$\end{document} ![]()
![]()
to \begin{document}$10^{9}$\end{document} ![]()
![]()
orders of magnitude. Results from the weighted derivative formalism generate a dS/AdS-like behavior, where smaller deviations are found in the strong field regime than in the weak field regime. The results suggest that, while these effects are subtle, they provide a potential observational signature of quantum gravity effects. The findings presented here contribute to the broader effort of testing alternative theories of gravity through black hole observations, offering a new perspective on the quantum structure of spacetime at cosmological and astrophysical scales.
In this study, we investigate the properties of black holes within the framework of multi-fractional theories of gravity, focusing on the effects of q-derivatives and weighted derivatives. These modifications, which introduce scale-dependent spacetime geometries, alter black hole solutions in intriguing ways. Within these frameworks, we analyze two key observable phenomena - black hole shadows and particle deflection angle in the weak field limit - using both analytical techniques and observational data from the Event Horizon Telescope (EHT) for M87* and Sgr A*. The study using the q-derivative formalism reveals that the multi-scale length
2025, 49(6): 065103. doi: 10.1088/1674-1137/adbeeb
Abstract:
Affleck-Dine baryogenesis generated high baryon density in the early Universe. The baryon chemical potential enhanced the potential barrier and significantly reduced the decay rate of false vacuum, which decreased from infinity at the critical end point to zero at the critical nucleation point. When the decay rate reached zero, the false vacuum of high baryon density quark matter was unlikely to decay and could persist over cosmological time scales. Therefore, primordial quark nuggets (PQNs) could form and survive in the early Universe as the seeds of compact stars. This new mechanism for the formation of PQNs is different from Witten's stable droplet of quark matter.
Affleck-Dine baryogenesis generated high baryon density in the early Universe. The baryon chemical potential enhanced the potential barrier and significantly reduced the decay rate of false vacuum, which decreased from infinity at the critical end point to zero at the critical nucleation point. When the decay rate reached zero, the false vacuum of high baryon density quark matter was unlikely to decay and could persist over cosmological time scales. Therefore, primordial quark nuggets (PQNs) could form and survive in the early Universe as the seeds of compact stars. This new mechanism for the formation of PQNs is different from Witten's stable droplet of quark matter.
2025, 49(6): 065104. doi: 10.1088/1674-1137/adb9c7
Abstract:
Using the AdS/CFT correspondence, we investigate the holographic image of an AdS black hole in Einstein-power-Yang-Mills gravity. The AdS boundary hosts a Gaussian oscillation source, which induces a lensed response on the opposite side of the boundary during propagation through bulk spacetime. The optical system enables observers at the north pole to continuously capture holographic images that exhibit an axisymmetric bright ring known as the Einstein ring. As the observation position shifts, the bright ring gradually transforms into a luminous arc and eventually transitions into a light point. Additionally, we examine the impact of variations in relevant physical quantities on the ring and present the corresponding brightness curve. The results indicate that, as the temperature T and nonlinear Yang Mills charge parameter q increase, the ring radius increases, whereas an increase in chemical potential u leads to a decrease in ring radius. However, the peak brightness curve of the ring invariably decreases as the values of T, u, and q increase, albeit to varying degrees. Comparing the outcomes of geometric optics, we observe that the position of the ring in holography images is consistent with that of the photon ring.
Using the AdS/CFT correspondence, we investigate the holographic image of an AdS black hole in Einstein-power-Yang-Mills gravity. The AdS boundary hosts a Gaussian oscillation source, which induces a lensed response on the opposite side of the boundary during propagation through bulk spacetime. The optical system enables observers at the north pole to continuously capture holographic images that exhibit an axisymmetric bright ring known as the Einstein ring. As the observation position shifts, the bright ring gradually transforms into a luminous arc and eventually transitions into a light point. Additionally, we examine the impact of variations in relevant physical quantities on the ring and present the corresponding brightness curve. The results indicate that, as the temperature T and nonlinear Yang Mills charge parameter q increase, the ring radius increases, whereas an increase in chemical potential u leads to a decrease in ring radius. However, the peak brightness curve of the ring invariably decreases as the values of T, u, and q increase, albeit to varying degrees. Comparing the outcomes of geometric optics, we observe that the position of the ring in holography images is consistent with that of the photon ring.
2025, 49(6): 065105. doi: 10.1088/1674-1137/adbd1b
Abstract:
A traversable wormhole generally violates the averaged null energy condition, typically requiring exotic matter. Recently, it was discovered that a traversable wormhole can be realized with non-exotic matter in Einstein-Dirac-Maxwell theories in flat space. This study extends the discussion to AdS spacetime and finds traversable wormholes with spherical and planar topologies. Furthermore, based on the AdS/CFT correspondence, we compute the entanglement entropy of strips and disks on the two AdS boundaries of the wormhole. We find that the entanglement entropy undergoes a phase transition as the subsystem size increases.
A traversable wormhole generally violates the averaged null energy condition, typically requiring exotic matter. Recently, it was discovered that a traversable wormhole can be realized with non-exotic matter in Einstein-Dirac-Maxwell theories in flat space. This study extends the discussion to AdS spacetime and finds traversable wormholes with spherical and planar topologies. Furthermore, based on the AdS/CFT correspondence, we compute the entanglement entropy of strips and disks on the two AdS boundaries of the wormhole. We find that the entanglement entropy undergoes a phase transition as the subsystem size increases.
2025, 49(6): 065106. doi: 10.1088/1674-1137/adbacf
Abstract:
This study investigates the consequences of Lorentz-symmetry violation in the thermodynamics and gravitational lensing of charged black holes coupled to the Kalb-Ramond field. We first explore the impact of Lorentz-violating parameters on key thermodynamic properties, including the Hawking temperature, entropy, and specific heat, demonstrating significant deviations from their Lorentz-symmetric counterparts. Our analysis reveals that the Lorentz-violating parameter b induces modifications in phase transitions and stability conditions, offering novel insights into black-hole thermodynamics. Additionally, the influence of Lorentz-symmetry breaking on gravitational lensing is examined using modifications to the Rindler-Ishak method, showing that these effects enhance the bending of light near compact objects. Our findings, derived within the framework of the Standard-Model Extension and bumblebee gravity models, suggest that Lorentz-violating corrections may lead to observable astrophysical phenomena, providing potential tests for deviations from Einstein's theory of relativity.
This study investigates the consequences of Lorentz-symmetry violation in the thermodynamics and gravitational lensing of charged black holes coupled to the Kalb-Ramond field. We first explore the impact of Lorentz-violating parameters on key thermodynamic properties, including the Hawking temperature, entropy, and specific heat, demonstrating significant deviations from their Lorentz-symmetric counterparts. Our analysis reveals that the Lorentz-violating parameter b induces modifications in phase transitions and stability conditions, offering novel insights into black-hole thermodynamics. Additionally, the influence of Lorentz-symmetry breaking on gravitational lensing is examined using modifications to the Rindler-Ishak method, showing that these effects enhance the bending of light near compact objects. Our findings, derived within the framework of the Standard-Model Extension and bumblebee gravity models, suggest that Lorentz-violating corrections may lead to observable astrophysical phenomena, providing potential tests for deviations from Einstein's theory of relativity.
2025, 49(6): 065107. doi: 10.1088/1674-1137/adb9c5
Abstract:
The study of black hole (BH) shadows provides crucial insights into the nature of strong gravitational effects and the intricate structure of spacetime surrounding BHs. In this study, we investigate the shadow of a Kerr MOG BH in a plasma environment, examining the extent to which the presence of plasma alters the characteristics of the observed shadow compared with that in vacuum conditions. Our analysis reveals that the shadow characteristics of M87* and Sgr A* are more compatible with event horizon telescope (EHT) observational data in nonhomogeneous plasma spacetime than in homogeneous plasma spacetime. For a small metric deformation parameter\begin{document}$ \alpha $\end{document} ![]()
![]()
, the shadow aligns within \begin{document}$ 2\sigma $\end{document} ![]()
![]()
uncertainty for homogeneous plasma and within \begin{document}$ 1\sigma $\end{document} ![]()
![]()
for nonhomogeneous plasma. Next, we determine the energy emission rate for the Kerr MOG BH and analyze the influence of parameters α, \begin{document}$ k_o $\end{document} ![]()
![]()
, \begin{document}$ k_\theta $\end{document} ![]()
![]()
, and \begin{document}$ k_r $\end{document} ![]()
![]()
on particle emissions in the BH vicinity. We further analyze the deflection angle in the presence of homogeneous and nonhomogeneous plasma profiles. The findings indicate notable differences from the vacuum scenario, underscoring the importance of accounting for plasma effects in examining light propagation around compact objects.
The study of black hole (BH) shadows provides crucial insights into the nature of strong gravitational effects and the intricate structure of spacetime surrounding BHs. In this study, we investigate the shadow of a Kerr MOG BH in a plasma environment, examining the extent to which the presence of plasma alters the characteristics of the observed shadow compared with that in vacuum conditions. Our analysis reveals that the shadow characteristics of M87* and Sgr A* are more compatible with event horizon telescope (EHT) observational data in nonhomogeneous plasma spacetime than in homogeneous plasma spacetime. For a small metric deformation parameter
ISSN 1674-1137 CN 11-5641/O4
Original research articles, Ietters and reviews Covering theory and experiments in the fieids of
- Particle physics
- Nuclear physics
- Particle and nuclear astrophysics
- Cosmology
Author benefits
- A SCOAP3 participating journal - free Open Access publication for qualifying articles
- Average 24 days to first decision
- Fast-track publication for selected articles
- Subscriptions at over 3000 institutions worldwide
- Free English editing on all accepted articles
News
- CPC Announces 2025 Outstanding Reviewers
- Chinese Physics C Outstanding Reviewer Award 2023
- Impact factor of Chinese Physics C is 3.6 in 2022
- 2022 CPC Outstanding Reviewer Awards
- The 2023 Chinese New Year-Office closure
Cover Story
- Cover Story (Issue 1, 2026) A focused review of quintom cosmology: from quintom dark energy to quintom bounce
- Cover Story (Issue 11, 2025) The Earth-Magnet Assists DAMPE in Studying Cosmic Anti-Electrons
- Cover Story (Issue 9, 2025): Precise measurement of Ïc0 resonance parameters and branching fractions of Ïc0,c2âÏï¼Ïï¼/ K+K-
- Cover Story (Issue 8, 2025) A Novel Perspective on Spacetime Perturbations: Bridging Riemannian and Teleparallel Frameworks
- Cover Story (Issue 7, 2025) Evidence of the negative parity linear chain states in 16C















